DEF 14A: Definitive proxy statements
Published on April 30, 2025
Burkecover
UNITED STATES
SECURITIES AND EXCHANGE COMMISSION
WASHINGTON, D.C. 20549
SCHEDULE 14A INFORMATION
Proxy Statement Pursuant to Section 14(a) of the Securities
Exchange Act of 1934
Filed by the Registrant x
Filed by a Party other than the Registrant o
Check the appropriate box:
| o | Preliminary Proxy Statement | ||||
| o | Confidential, For Use of the Commission Only (as permitted by Rule 14a6(e)(2)) | ||||
| x | Definitive Proxy Statement | ||||
| o | Definitive Additional Materials | ||||
| o | Soliciting Material Pursuant to Rule 14a-12 | ||||
(Name of Registrant as Specified in its Charter)
(Name of Person(s) Filing Proxy Statement, if Other Than the Registrant)
| Payment of Filing Fee (Check all boxes that apply): | |||||
| x | No fee required. | ||||
| o | Fee paid previously with preliminary materials. | ||||
| o | Fee computed on table in exhibit required by Item 25(b) per Exchange Act Rules 14a-6(i)(1) and 0-11. | ||||
cover
letter

13631 Progress Blvd.
Suite 400
Alachua, FL 32615
Dear Shareholder:
You are cordially invited to attend our 2025 Annual Meeting of Shareholders (the “Meeting”) of Axogen, Inc. (the “Company” or “Axogen”), which will be conducted via live audio webcast on Wednesday, June 18, 2025 beginning at 8:00 a.m. Eastern time. The virtual format provides the opportunity for full and equal participation of all shareholders regardless of location. You can attend the Meeting via the Internet at www.virtualshareholdermeeting.com/AXGN2025. Through this webcast,shareholders and proxyholders will be deemed to be present in person for purposes of conducting a vote at the Meeting.
In accordance with the rules established by the Securities and Exchange Commission, we are providing you access to our proxy materials over the Internet. Accordingly, we plan to mail a Notice of Internet Availability of Proxy Materials (the “Notice”) to our shareholders on or about April 30, 2025. The Notice or proxy card (if you elect to receive your materials by mail) will describe how to access and review our proxy materials, including our Proxy Statement and Annual Report on Form 10-K for the year ended December 31, 2024 (the "2024 Annual Report") on the Internet. The Notice, as well as our proxy card, will also describe how you may submit your proxy electronically. If you received just a Notice by mail and would like to receive a printed copy of our proxy materials, you should follow the instructions for requesting such materials included in the Notice.
I sincerely hope that you will be able to attend the virtual Meeting. Whether or not you plan to attend the Meeting via virtual presence, your vote is important, and we urge you to vote your shares by following the instructions on the Notice, your proxy card or your voting instruction form, as applicable, as promptly as possible in order to ensure your representation at the Meeting.
| Sincerely, | |||||
![]() |
|||||
| Michael Dale | |||||
| April 30, 2025 | Director, Chief Executive Officer and President | ||||

13631 Progress Blvd.
Suite 400
Alachua, FL 32615
LETTER FROM THE CHAIRMAN OF THE BOARD OF DIRECTORS
Dear Fellow Shareholders,
It is my privilege to serve as Chairman of the Board of Axogen. Our commitment to you is to oversee the Company and guide it toward long-term success that reflects your interests. I am pleased to provide an update on Axogen’s continued progress and key initiatives. As part of our ongoing efforts to align our executive compensation and long-term incentive plans with shareholder interests and Axogen's future, we are seeking your support on two important management proposals at our upcoming annual meeting: our advisory vote on executive compensation (say-on-pay), and our proposed Axogen, Inc. Fourth Amended and Restated 2019 Long-Term Incentive Plan (the "A&R 2019 Plan").
As announced in August 2024, a significant step in our leadership evolution was the appointment of Mike Dale as our President and Chief Executive Officer. Over the past several months, Mike’s strategic vision and focus on execution have further solidified our direction, and we are confident in his leadership as we work to scale the business and realize Axogen’s full potential.
Building on this strengthened leadership, we have also made significant strides in bolstering our management team. In the last six months, we welcomed experienced leaders such as our new VPs of Healthcare Economics, Regulatory, and Operations. This builds upon the refreshing of other senior leadership roles with new talent over the past two years, ensuring we have the expertise and depth needed to execute our strategic objectives and support our mandate for growth. To continue this positive momentum and ensure we have the right leadership and expertise across all levels of the organization, it is imperative that we have the necessary tools to attract and retain high-caliber talent in a competitive market. This is a key driver behind our request for additional shares under the A&R 2019 Plan.
The past year has demonstrated tangible progress across our business. We delivered strong financial results in 2024, with full-year revenue reaching $187.3 million, a substantial 17.8% increase over 2023. We also saw improved profitability and a strengthened cash position. Operationally, a key achievement under Mike's leadership was the filing of our Biologic License Application ("BLA") for Avance® Nerve Graft in November 2024, with anticipated FDA approval in September 2025. Importantly, we have also seen a significant improvement in our total shareholder return since Mike’s appointment. Our share price on August 7, 2024 (the trading day prior to the announcement of Mike’s appointment) was $7.92, and as of market close on April 1, 2025, it had increased to $17.81, representing a substantial increase of approximately 125%. This positive momentum reflects the market's growing confidence in our strategy and execution.
The Compensation Committee remains steadfast in its commitment to aligning executive compensation with your interests and long-term value creation. A significant portion of executive compensation, including all equity granted to Mike in 2024, is performance-based, directly tied to key metrics like shareholder return and BLA approval. Furthermore, reflecting the valuable feedback we have received from you, half of the 2025 equity grants to the leadership team are now linked to rigorous 3-year revenue growth and relative total shareholder return. This three-year performance-based equity structure aligns with the strategic multi-year vision that management laid out at our Investor Day in March 2025, further incentivizing the team to achieve our long-term objectives.
As you consider your vote on the upcoming proposals, we would like to highlight:
•Strong and Growing Leadership Team: Under Mike's leadership, we have continued to strengthen our management team with key additions, ensuring we have the right talent to execute our strategic plan of scaling the business.*
•Financial Progress: Our 2024 results demonstrate strong revenue growth and a significant reduction in net loss. The Company is making progress towards becoming cash-flow positive and eventually profitable.*
•Key Milestones Achieved: The BLA filing for Avance is a major step forward, with anticipated approval in September 2025.*
•Directly Aligned Compensation: A significant portion of executive compensation for the CEO and named executive officers is directly linked to achieving key strategic and financial goals that drive long-term shareholder value.
•Commitment to Shareholder Engagement and Responsiveness to Feedback: The 2025 equity grants for the leadership team directly reflect the feedback we received from our shareholders, emphasizing long-term revenue growth and relative total shareholder return, consistent with our long-term strategic vision. And the 2024 equity grants to our CEO were 100% performance-based tied to total shareholder return and BLA approval.
•Effective Equity Stewardship: In a demonstration of responsible management, and to preserve shares within our equity plan, no equity was granted to the outgoing retiring CEO in 2024. This decision underscores our commitment to utilizing equity where it will most effectively drive future performance and align with shareholder value.
Securing and motivating top leadership is paramount to achieving our growth strategy and delivering long-term shareholder value. The proposed increase in shares under the A&R 2019 Plan, further detailed in Proposal 4, is a vital tool to effectively do so. Your support for this essential proposal will enable our continued progress.
Your Board remains optimistic about Axogen’s future and our ability to deliver meaningful value to patients, customers and shareholders alike. We encourage you to carefully review the proxy statement and vote in favor of the proposals outlined.
| Sincerely, | |||||
![]() |
|||||
Paul Thomas |
|||||
April 30, 2025 |
Chairman of the Board |
||||
*Forward-Looking Information
This letter contains forward-looking statements (which are denoted by asterisks) that involve risks and uncertainties, as well as assumptions that if they don't materialize or prove incorrect, could cause Axogen’s results to differ materially from those expressed or implied by such forward-looking statements. Please review the “Risk Factors” section of Axogen’s 2024 Annual Report on Form 10-K for a description of the risks, uncertainties and assumptions associated with Axogen’s business and financial results. Axogen assumes no obligation to update any forward-looking statements or information.
2025 Annual Meeting of Shareholders

13631 Progress Blvd.
Suite 400
Alachua, FL 32615
Notice of 2025 Annual Meeting of Shareholders
NOTICE IS HEREBY GIVEN that the 2025 Annual Meeting of Shareholders (the “Meeting”) of Axogen, Inc. (the “Company”, “Axogen”, “we” or “our”) will be held virtually only on Wednesday, June 18, 2025 at 8:00 a.m. Eastern time. Shareholders may join the live audio webcast at www.virtualshareholdermeeting.com/AXGN2025. At the Meeting, shareholders will act on the following matters:
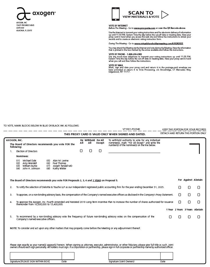
1. To elect eight members to our board of directors (the “Board of Directors”) to hold office for the ensuing year and until their successors are elected and qualified;
2. To ratify the selection of Deloitte & Touche LLP as our independent registered public accounting firm for the year ending December 31, 2025;
3. To approve, on a non-binding advisory basis, the compensation of the Company’s named executive officers as disclosed in the Company’s Proxy Statement;
4. To approve the Axogen, Inc. Fourth Amended and Restated 2019 Long-Term Incentive Plan (the "A&R 2019 Plan") to increase the number of shares authorized for issuance thereunder from 10,500,000 to 13,400,000;
5. To recommend, in a non-binding vote, the frequency of future non-binding shareholders' votes to approve the compensation of the Company’s named executive officers; and
6. To consider and act upon any other matters that may properly come before the Meeting or any adjournment or postponement thereof.
The foregoing items of business are more fully described in the Proxy Statement which is attached and made a part hereof.
I M P O R T A N T
We are holding the Meeting as a virtual meeting (via live audio webcast) format only. On behalf of the Board of Directors and management of the Company, we cordially invite you to attend the Annual Meeting by virtual presence by logging into our live webcast at: www.virtualshareholdermeeting.com/AXGN2025. Through this webcast, shareholders and proxyholders will be deemed to be present in person for purposes of conducting a vote at such meeting.
In accordance with rules established by the Securities and Exchange Commission, we are providing you access to our proxy materials over the Internet. Accordingly, we plan to mail a Notice of Internet Availability of Proxy Materials (the “Notice”) to our shareholders on or about April 30, 2025. The Notice or proxy card (if you receive your materials by mail) will describe how to access and review our proxy materials, including our Proxy Statement and Annual Report on Form 10-K for the year ended December 31, 2024 (the "2024 Annual Report"). The Notice, as well as our proxy card, will also describe how you may submit your proxy electronically. If you received just a Notice by mail and would like to receive a printed copy of our proxy materials, you should follow the instructions for requesting such materials included in the Notice.
Whether or not you expect to attend the virtual Meeting, please vote your shares by following the instructions on the Notice, your proxy card or your voting instruction form, as applicable, as promptly as possible in order to
ensure your representation at the Meeting. Even if you have voted by proxy, you may still vote online if you attend the Meeting via virtual presence.
Only holders of record of our common stock at the close of business on April 23, 2025 will be entitled to receive notice of and to vote at the Meeting. Our shareholders are not entitled to any appraisal or dissenters’ rights with respect to the matters to be acted upon at the Meeting.
You may vote your shares by telephone (1-800-690-6903) or Internet (www.proxyvote.com) no later than 11:59 p.m. Eastern time on Tuesday June 17, 2025 (as directed in the Notice or proxy card, as applicable) or vote by completing, signing and promptly returning the enclosed proxy card by mail. If you choose to receive and submit your proxy by mail, we have enclosed an envelope for your use, which is prepaid if mailed in the United States. You may also attend the Meeting via the Internet at www.virtualshareholdermeeting.com/AXGN2025 by using the 16-digit control number that appears on your Notice or proxy card, submit questions and vote online until voting is closed at www.virtualshareholdermeeting.com/AXGN2025.
Your vote is important. Whether or not you plan to attend the virtual Meeting, we urge you to vote your shares by following the instructions on the Notice, your proxy card or your voting instruction form, as applicable, as promptly as possible in order to ensure your representation at the Meeting.
| By Order of the Board of Directors, | |||||
![]() |
|||||
| Alachua, Florida | Marc A. Began |
||||
| April 30, 2025 | General Counsel and Secretary | ||||
PROXY STATEMENT
TABLE OF CONTENTS
EXECUTIVE OFFICERS |
|||||
EXECUTIVE COMPENSATION PHILOSOPHY AND OBJECTIVES |
|||||
1
Executive Stock Ownership Guidelines |
|||||
Inducement Equity Awards |
|||||
Outstanding Equity Awards as of December 31, 2024 |
|||||
2024 ANNUAL REPORT |
|||||
2
Axogen, Inc.
13631 Progress Blvd.
Suite 400
Alachua, FL 32615
PROXY STATEMENT
2025 Annual Meeting of Shareholders
TO BE HELD ON JUNE 18, 2025
The board of directors (the “Board of Directors”) of Axogen, Inc. (the “Company”, “Axogen”, “we” or “our”) is soliciting proxies for use at our 2025 Annual Meeting of Shareholders (the “Meeting”) which will be conducted via live audio webcast and accessible at www.virtualshareholdermeeting.com/AXGN2025 on June 18, 2025, at 8:00 a.m. Eastern time and at any adjournment or postponement thereof.
This year, we are using the Internet as the primary means of delivery of proxy materials, including this proxy statement (the “Proxy Statement”), to our shareholders. We are sending a Notice of Internet Availability of Proxy Materials (the “Notice”) to our shareholders of record with instructions on how to access the proxy materials online in the "Investors" section of our website at https://www.axogeninc.com. The Company expects to mail the Notice to shareholders on or about April 30, 2024.
Our Board of Directors has set Friday, April 23, 2025, as the record date for the Meeting. Each shareholder of record at the close of business on Friday, April 23, 2025, will be entitled to vote at the Meeting. As of the record date, 45,534,866 shares of our common stock were issued and outstanding and, therefore, eligible to vote at the Meeting. Holders of our common stock are entitled to one vote per share. Therefore, a total of 45,534,866 votes are entitled to be cast at the Meeting. There is no cumulative voting in the election of our directors.
Shareholders who sign and return a proxy may revoke it at any time before it is voted at the Meeting by giving written notice to Vote Processing, c/o Broadridge, 51 Mercedes Way, Edgewood, New York 11717, Re: Axogen, Inc., by submitting a duly executed proxy with a later date or by attending the Meeting via the Internet and withdrawing your proxy. If your shares are held in the name of a bank or brokerage firm, you must obtain a proxy, executed in your favor, from the bank or broker, to be able to vote at the Meeting.
Expenses in connection with this solicitation of proxies will be paid by us. Proxies are being solicited primarily by mail. We have retained the services of Sodali & Co., a professional proxy solicitation firm, to aid in the solicitation of proxies for an estimated fee of $20,000 plus expenses. The proxy solicitor may conduct this proxy solicitation by mail, telephone, facsimile, e-mail, other electronic channels of communication, or otherwise. In addition, our officers and directors, who will receive no extra compensation for their services, may solicit proxies by telephone or personally. We also will request that brokers or other nominees who hold shares of our common stock in their names for the benefit of others forward proxy materials to, and obtain voting instructions from, the beneficial owners of such stock at our expense.
Proxies that are completed, signed and returned to us in accordance with the instructions provided in the Notice or the instructions that accompanied your proxy materials, as applicable, prior to the Meeting will be voted as specified. If no direction is given, the proxy will be voted FOR the election of the nominees for director named in this Proxy Statement; FOR the ratification, on an advisory basis, of the appointment of Deloitte & Touche LLP (“Deloitte”) as our independent registered public accounting firm for the year ending December 31, 2025; FOR the approval, on an advisory basis, of the compensation of the Company’s named executive officers as disclosed in this Proxy Statement; FOR the approval of the Axogen, Inc. Amended and Restated 2019 Long-Term Incentive Plan (the "A&R 2019 Plan"), which increases the number of shares authorized for issuance thereunder by 2,900,000 shares and FOR “ONE YEAR” as the preferred frequency with which shareholders are provided an advisory vote to approve the compensation of the Company’s named executive officers as disclosed pursuant to Item 402 of Regulation S-K.
3
If a shareholder affirmatively abstains from voting as to any matter (or indicates a “withhold vote for” as to directors), then the shares held by such shareholder shall be deemed present at our Meeting for purposes of determining a quorum and for purposes of calculating the vote with respect to such matter but shall not be deemed to have been voted in favor of such matter. Votes withheld from one or more director nominees will have no effect on the election of any director from whom votes are withheld.
If on the record date your shares were held in an account at a brokerage firm, bank, dealer or similar organization, then you are the beneficial owner of shares held in “street name” and the Notice is being forwarded to you by that organization. The organization maintaining your account is considered the shareholder of record for purposes of voting at the Meeting. As a beneficial owner, you have the right to direct your broker or other agent on how to vote the shares in your account. You are also invited to attend the Meeting via the Internet. However, since you are not the shareholder of record, you may not vote your shares virtually at the Meeting unless you request and obtain a valid proxy from your broker or other agent. If you plan to attend the Meeting via the Internet, you will need to have a valid proxy from the organization maintaining your account to vote your shares at the Meeting.
If you hold your shares in street name, and do not provide instructions, your shares may constitute “broker non-votes” on certain proposals. Generally, broker non-votes occur on a non-routine proposal where a broker is not permitted to vote on that proposal without instructions from the beneficial owner. Broker non-votes are counted as present for purposes of determining whether there is a quorum but are not counted for purposes of determining whether a matter has been approved. If you properly submit a proxy card to the organization maintaining your account, but do not provide voting instructions, that organization will be able to vote your shares on Proposal 2, which is a non-binding advisory vote; however, that organization will not be permitted to vote your shares on Proposal 1, Proposal 3, Proposal 4 or Proposal 5. As a result, if you do not provide voting instructions to the organization maintaining your account, your shares will have no effect on the outcome of the election of directors, the approval of the advisory vote to approve the compensation of our named executive officers, the approval of the A&R 2019 Plan or the approval of the advisory vote on the frequency of approval of the compensation of the Company’s named executive officers. As a result, if you hold shares in a brokerage account and wish to vote those shares on these proposals, we strongly encourage you to submit your voting instructions and exercise your right to vote as a shareholder.
Directors are elected by a plurality vote of the votes cast by the shareholders entitled to vote at the Meeting. A plurality vote means that the directors who receive the most votes in an election, though not necessarily a majority, will be elected. However, our Corporate Governance Guidelines provide that directors who receive more “withhold” votes than “for” votes will be required to tender their resignation, which the Board of Directors will be required to consider. If the Board determines not to accept the resignation, the Board’s decision and reasons for rejecting the resignation will be reported on a Form 8-K. If you affirmatively abstain from voting, it will have no impact on the outcome of the vote for the proposal. Similarly, broker non-votes will have no impact on the outcome of the vote for the proposal.
The affirmative vote of a majority of the outstanding shares of our common stock entitled to vote and present in person via the Internet or by proxy at the Meeting will be required to approve the non-binding ratification of the appointment of Deloitte as our independent registered public accounting firm for the year ending December 31, 2025. If you affirmatively abstain from voting, it will have the same effect as a vote “AGAINST” this proposal. Because this proposal is a routine matter, broker non-votes will not occur with respect to this proposal.
The affirmative vote of a majority of the outstanding shares of our common stock entitled to vote and present in person via the Internet or by proxy at the Meeting will be required to approve the non-binding advisory approval of the compensation of our named executive officers. If you affirmatively abstain from voting, it will have the same effect as a vote “AGAINST” this proposal. Broker non-votes will have no impact on the outcome of the vote for the proposal.
The affirmative vote of a majority of the outstanding shares of our common stock entitled to vote and present in person via the Internet or by proxy at the Meeting will be required to approve the A&R 2019 Plan. If you
4
affirmatively abstain from voting, it will have the same effect as a vote “AGAINST” this proposal. Broker non-votes will have no impact on the outcome of the vote for the proposal.
For the non-binding advisory vote on the frequency of shareholder advisory votes on executive compensation, the frequency receiving the highest number of votes from the holders of shares either present in person or represented by proxy and entitled to vote will be considered the frequency preferred by the shareholders. Abstentions and broker non-votes will have no effect. Because this vote is non-binding, our Board of Directors may determine the frequency of future advisory votes on executive compensation in its discretion.
Our shareholders are not entitled to any appraisal or dissenters’ rights with respect to the matters to be acted upon at the Meeting.
Important Notice Regarding the Availability of Proxy Materials for the
Shareholder Meeting to Be Held on June 18, 2025:
Our Proxy Statement and Annual Report on Form 10-K for the year ended December 31, 2024 (the “2024 Annual Report”) are available in the "Investors" section of our website at https://www.axogeninc.com. Our 2024 Annual Report is also available in the “Investors” section of our website at https://www.axogeninc.com.
PROPOSAL 1 – ELECTION OF DIRECTORS
At the Meeting, shareholders will vote on the election of eight director nominees: Paul Thomas, Michael Dale, William Burke, John H. Johnson, Alan M. Levine, Joseph Tyndall, Kathy Weiler and Amy Wendell. Guido Neels volunteered not to stand for re-election at the Meeting. Following the Meeting, the size of the Board of Directors will be reduced from nine to eight directors. Our Board of Directors has nominated each continuing director to serve a one-year term commencing at the Meeting and until each director’s successor is duly elected and qualified. In the event that any nominee becomes unable or unwilling to serve as a director for any reason, the persons named in the enclosed proxy will vote for a substitute nominee in accordance with their best judgment. Our Board of Directors has no reason to believe that any nominee will be unable or unwilling to serve as a director if elected.
Proxies cannot be voted for a greater number of persons than the number of nominees named.
Biographical information for each director nominee is included below. Included at the end of each director’s biography is a description of the particular experience, qualifications, attributes or skills that led our Board of Directors to conclude that each of these director nominees should serve as a member of our Board of Directors.
| Name | Age | Position(s) | ||||||||||||
| Paul Thomas | 69 | Chairman | ||||||||||||
| Michael Dale | 65 | Director, Chief Executive Officer and President | ||||||||||||
| William Burke | 56 | Director | ||||||||||||
| John H. Johnson | 67 | Director | ||||||||||||
Alan M. Levine |
57 | Director | ||||||||||||
| Joseph Tyndall | 56 | Director | ||||||||||||
| Kathy Weiler | 55 | Director | ||||||||||||
| Amy Wendell | 64 | Director | ||||||||||||
Paul Thomas has served as a member of our Board of Directors since September 2020 and became Chairman of the Board in August 2024. Mr. Thomas has more than 30 years of experience in the medtech industry and currently serves as the Chief Executive Officer and Co-Founder of Prominex, Inc. From 2009 to 2017, Mr. Thomas served as the Chief Executive Officer of Roka Bioscience. Prior to that, Mr. Thomas served as Chairman and Chief Executive Officer of LifeCell Corporation from 1998 until it was acquired by KCI in 2008 in a transaction valued at
5
$1.8 billion. He also held various senior positions, including President of the Pharmaceutical Products Division, during his tenure of 15 years with Ohmeda, Inc. Mr. Thomas received his Master of Business Administration degree from Columbia University Graduate School of Business and completed his post graduate studies in chemistry at the University of Georgia Graduate School of Arts and Science. He received his Bachelor of Science degree in chemistry from St. Michael’s College. Mr. Thomas’ qualifications to serve on our Board of Directors include his extensive executive leadership and financial experience, particularly in connection with rapid growth technology businesses, and his experience as a director of publicly traded companies.
Michael Dale joined Axogen Corporation as Chief Executive Officer ("CEO") and President, as well as a Board member, in August 2024. A distinguished healthcare leader and an accomplished medical device executive, Mr. Dale has over 35 years of experience leading transformative, high-technology medical device companies in the cardiovascular, neuromodulation, diabetes, and electrophysiology markets. His past executive leadership roles span both public and private medical device companies, including Abbott Structural Heart, GI Dynamics, Helical Solutions, ATS Medical, Endocardial Solutions, Cyberonics, St. Jude Medical, and American Edwards Laboratories. Mr. Dale has been an active director and advisor, serving on the boards of Preceptis Medical, Enpath Medical, Rhythmia Medical, Neuronetics, Inc., NeoChord, the Advanced Medical Technology Association (AdvaMed), the St. Mary’s University Council of Regents for the School of Graduate and Professional Programs, and the University of Minnesota Carlson School of Management Medical Industry Leadership Institute. At present, he serves on the advisory board of Purdue University’s Weldon School of Biomedical Engineering, and California Polytechnic State University’s Center for Innovation & Entrepreneurship as Student Mentor. Mr. Dale holds a Bachelor of Science degree from California Polytechnic State University in San Luis Obispo, California.
William Burke has served as a member of our Board of Directors since July 2022. From August 2016 to June 2022, Mr. Burke was the Executive Vice President, Chief Financial Officer of Haemonetics Corp. and was responsible for the global finance organization including investor relations. From July 2014 to July 2016, Mr. Burke served as Chief Integration Officer and Vice President, Integration for Medtronic plc, a global healthcare products company, and was a member of its Executive Committee. In that role, Mr. Burke was responsible for ensuring the successful integration of Covidien plc into Medtronic, following Medtronic's acquisition of Covidien. Prior to joining Medtronic, Mr. Burke spent more than 20 years in finance and business development leadership roles at Covidien, including Chief Financial Officer for Covidien Europe based in Zurich, Vice President of Corporate Strategy and Portfolio Management and Vice President of Financial Planning and Analysis. Previously, Mr. Burke held key positions within Tyco Healthcare, including the Financial Controller of Valleylab, Managing Director of the Covidien Group in Switzerland and International Controller. He also recently served as a member of the board of directors of MiroMatrix. Mr. Burke began his career as an auditor with KPMG. Mr. Burke received a Bachelor of Science degree in business administration from Bryant College. Mr. Burke’s qualifications to serve on our Board of Directors include his extensive executive leadership and financial experience, his experience as a director of publicly traded companies and expertise in financial reporting oversight.
John H. Johnson has served as a member of our Board of Directors since July 2021. He currently serves as Executive Chairman of Applied Therapeutics. From July 2020 through October 2021, Mr. Johnson served as the Chief Executive Officer and from March 2015 to November 2019 served as Executive Chairman of Strongbridge Biopharma plc., a company focused on building a portfolio of vertical, therapeutically-aligned rare disease franchises. From 2018 through 2020, Mr. Johnson served as Chief Executive Officer of Melinta Therapeutics, a commercial stage company developing and commercializing novel antibiotics. From 2012 through 2014, Mr. Johnson served as Chairman and Chief Executive Officer of Dendreon Corporation. Mr. Johnson previously held various senior positions with Eli Lilly & Company, ImClone Systems, Inc., Johnson & Johnson, and Centocor Ortho Biotech. Mr. Johnson is currently on the board of directors of Xeris (Nasdaq: XERS) and Verastem (Nasdaq: VSTM). Mr. Johnson received his Bachelor of Science degree from the University of Pennsylvania East Stroudsburg. Mr. Johnson's qualifications to serve on our Board of Directors include his considerable leadership experience and specific knowledge of the healthcare industry.
Alan M. Levine has served as a member of our Board of Directors since May 2019. Since February 2018, Mr. Levine has been the Chairman, President, and Chief Executive Officer of Ballad Health, an integrated healthcare delivery system. From January 2014 to January 2018, he served as the President and Chief Executive Officer of
6
Mountain States Health Alliance, the largest health system in upper east Tennessee and southwest Virginia. From July 2010 to January 2014, Mr. Levine served as a Senior Advisor to the Board of Directors, President of the Florida Group and Corporate Senior Vice President at Health Management Associates, a hospital and healthcare facilities operator. From January 2008 to July 2010, Mr. Levine served as Senior Health Policy Advisor to Louisiana Governor Bobby Jindal, and as the Secretary of the Louisiana Department of Health and Hospitals on the Governor’s cabinet. From July 2006 to January 2008, Mr. Levine was the President and Chief Executive Officer of the North Broward Hospital District, one of the largest public health and hospital systems in the nation. From June 2004 to July 2006, he also served as the Secretary of the Florida Agency for Health Care Administration, the health planning and regulatory agency for the State of Florida with responsibility for the oversight of more than 30,000 healthcare facilities, and the $17 billion state Medicaid program. From January 2003 to June 2004, Mr. Levine served as the Deputy Chief of Staff and Senior Health Policy Advisor to Governor Jeb Bush. Mr. Levine holds a Master of Business Administration degree, a Master of Science degree in health science, and a Bachelor of Science degree in health education/community health from the University of Florida. Mr. Levine currently serves on the Board of Governors of the State University System of Florida, where he has served as Chair of the Audit and Compliance Committee, Chair of the Research and Academic Excellence Committee and Chair of the Select Committee on 2+2 Education Attainment. Mr. Levine also served as Chair of the State of Florida Higher Education Coordinating Council, a policy-setting body composed of all education entities from K-Post Secondary. Mr. Levine’s qualifications to serve on our Board of Directors include his broad healthcare management, policy and regulation and patient care delivery knowledge, executive level experience with integrated healthcare delivery systems and his knowledge as to budgeting and financial reporting.
Joseph Tyndall, MD has served as a member of our Board of Directors since December 2022. Since July 1, 2021, Dr. Tyndall has been a professor, Executive Vice President for Health Affairs and Dean at the Morehouse School of Medicine. From 2008 until his departure from the University of Florida in 2021, Dr. Tyndall served as a professor and chair of the Department of Emergency Medicine at the University of Florida College of Medicine. During his tenure at the University of Florida, Dr. Tyndall was appointed interim dean of the College of Medicine from August 2018 to January 2021 and was subsequently appointed to the position of associate vice president for strategic and academic affairs for University of Florida Health before his recruitment to Morehouse School of Medicine. Dr. Tyndall served on the board of directors of University of Florida Health Shands Hospital from 2010 through 2021 and was chair of the Board of Trustees for the University of Florida Health Proton Therapy Institute during his tenure as interim dean. Dr. Tyndall served on the board of directors of the Florida College of Emergency Physicians from 2011 through 2021, serving as the society’s president from 2018 to 2019. He is currently a member of the board of directors of Grady Health System in Atlanta, Georgia. Also, he is a trustee and immediate past president of the Society for Academic Emergency Medicine Foundation, which is emergency medicine’s national foundation supporting education and research in emergency care. Dr. Tyndall is a graduate of the University of Maryland School of Medicine and the emergency medicine residency program at the University of Maryland Medical System, where he served as Chief Resident. Dr. Tyndall received his Master of Science degree in health services management and health policy from Columbia University and his Bachelor of Science degree in chemistry from The George Washington University. He is an elected member of the Alpha Omega Alpha Honor Society and the Gold Humanism Honor Society. He is the current president of the Society for Academic Emergency Medicine Foundation and is serving a two-year term on the administrative board of the Council of Deans of the Association of American Medical College. Dr. Tyndall has published and lectured extensively nationally and internationally in emergency medicine and has active research interests in acute brain injury. He is an editor of the 10th edition of a leading textbook in emergency medicine, Rosen’s Emergency Medicine; Concepts and Clinical Practice. Dr. Tyndall’s qualifications to serve on our Board of Directors include his extensive experience with the field of emergency medicine, knowledge of the healthcare industry and medical systems, considerable leadership experience, and deep engagement with topics within health services research.
Kathy Weiler has served on our Board of Directors since December 2023. Ms. Weiler is the Chief Transformation Officer at Solventum, leading one of the largest medtech transformations in the industry. She is also focused on key strategic opportunities across the enterprise with specific focus on the Health Information System and Medical-Surgical Nursing businesses. Previously, Ms. Weiler was Amwell’s Executive Vice President, Chief Commercial and Growth Officer. In her role, she oversaw the company's growth strategy, driving strategic initiatives and leading business development, sales and account management, commercial enablement, marketing, and strategic
7
and channel partnership teams. Prior to Amwell, Ms. Weiler served as Chief Consumer Officer at Optum, where she led consumerism across the enterprise. Preceding that, Ms. Weiler was Chief Consumer Strategy Officer at UnitedHealth Group and the Chief Marketing and Experience Officer of Optum Health, leading marketing efforts for Optum Care and Optum's Population Health Solutions, Complex Care Management, Medical Benefits Management, Behavioral Health, Prevention and Financial Services businesses. Ms. Weiler served as Chief Marketing and Product Officer at Blue Cross and Blue Shield of Massachusetts, where she drove strategic growth and retention business objectives. Ms. Weiler spent her earlier career with multiple financial services organizations. She was Chief Marketing Officer of Fidelity Financial Advisor Solutions and held senior marketing leadership roles at Bank of New York Mellon/Pershing and The Hartford. Ms. Weiler holds a Bachelor of Arts degree from Bowdoin College and a Master of Arts degree in international economics and finance from Brandeis University. Ms. Weiler’s qualifications to serve on our Board of Directors include her broad healthcare industry knowledge and extensive healthcare marketing and commercialization experience.
Amy Wendell has served as a member of our Board of Directors since September 2016 and Lead Independent Director from May 2018 through August 2024. She was a senior advisor for the healthcare investment banking practice of Perella Weinberg Partners (“PWP”) from January 2016 through April 2019. Her scope of responsibilities involved providing guidance and advice with respect to mergers and acquisitions and divestitures for clients and assisting PWP in connection with firm-level transactions. From 2015 until October 2018, Ms. Wendell served as a senior advisor for McKinsey and Company’s (“McKinsey”) strategy and corporate finance practice and as a member of McKinsey’s transactions advisory board to help define trends in mergers and acquisitions, as well as help shape McKinsey’s knowledge agenda. From 1986 until January 2015, Ms. Wendell held various roles of increasing responsibility at Covidien plc (“Covidien”) (including its predecessors, Tyco Healthcare and Kendall Healthcare Products), in engineering, product management and business development. From December 2006 until Medtronic plc's acquisition of Covidien in January 2015, Ms. Wendell served as Covidien’s Senior Vice President of Strategy and Business Development, where she managed all business development, including acquisitions, equity investments, divestitures and licensing/distribution, and led Covidien’s strategy and portfolio management initiatives. Ms. Wendell is a member of the board of directors of Hologic, Inc. (Nasdaq: HOLX), a leading developer, manufacturer and supplier of premium diagnostic products, medical imaging systems and surgical products with a strong position in women’s health; Baxter International, Inc. (NYSE: BAX), a leading global medical products company and Solventum Corp. (Nasdaq: SOLV), the 2024 healthcare spin-off by 3M. Ms. Wendell holds a Master of Science degree in biomedical engineering from the University of Illinois and a Bachelor of Science degree in mechanical engineering from Lawrence Institute of Technology (n/k/a Lawrence Technological University). Ms. Wendell’s qualifications to serve on our Board of Directors include her broad healthcare management and governance experience, and her knowledge of healthcare policy.
THE BOARD OF DIRECTORS RECOMMENDS A VOTE “FOR” THE ELECTION OF THE EIGHT DIRECTOR NOMINEES, WHICH IS DESIGNATED AS PROPOSAL NO. 1.
CORPORATE GOVERNANCE
Director Independence
Our Board of Directors currently consists of nine directors: Paul Thomas (Chairman), Michael Dale, William Burke, John H. Johnson, Alan M. Levine, Guido Neels, Joseph Tyndall, Kathy Weiler and Amy Wendell. Following the Meeting, the board size will be reduced to eight directors with Mr. Neels’ voluntary decision to not stand for re-election at the Meeting.
In determining whether our directors and director nominees are independent, we use the definition of independence provided in Rule 5605(a)(2) of the Nasdaq Stock Market’s (“Nasdaq”) Marketplace Rules. Under this definition of independence, we determined that Messrs. Burke, Johnson, Levine, Neels, Thomas and Tyndall and Mses. Weiler and Wendell are independent. Mr. Dale is not independent because he serves as an executive officer of the Company. Each member of our Audit Committee, Compensation Committee and Governance, Nominating and Sustainability Committee also meets the heightened independence standards under the applicable Nasdaq independence rules.
8
Attendance at Meetings
Our Board of Directors met six times during 2024, either in person or by teleconference, and acted by written consent on five occasions. During 2024, each member of our Board of Directors attended at least 75% of the aggregate of all meetings of our Board of Directors and of all meetings of committees of our Board of Directors on which such member served that were held during the period in which such director served.
We expect our directors to attend the Annual Meeting of Shareholders. In 2024, all of our then current directors were in attendance telephonically at the 2024 Annual Meeting of Shareholders.
Board Leadership Structure
Our Board of Directors is responsible for overseeing the business, property and affairs of Axogen. Members of our Board of Directors are kept informed of our business through discussions with our CEO and other officers, by reviewing materials provided to them and by participating in meetings of our Board of Directors and its committees.
Mr. Dale, our CEO and President, also serves as a director on our Board, and Paul Thomas serves as our Chairman. Previously, the former CEO was also Chairman. Following the appointment of Mr. Dale as CEO, our Board believes that it was in the best interest of the shareholders to appoint Mr. Thomas as Chairman due to his executive experience as the former CEO of LifeCell Corporation. We believe Mr. Thomas's former operational experience is an asset to Mr. Dale during his transition. With Mr. Thomas as an independent Chairman, a Lead Independent Director is no longer needed on the Board.
Mr. Thomas, as Chairman, facilitates the functioning of the Board of Directors independently of the Company's management and provides independent leadership to the Board of Directors. The Chairman had the following responsibilities:
•providing leadership to ensure that the Board functions independently of management of the Company and other non-independent directors;
•providing leadership to foster the effectiveness of the Board;
•working with the directors to ensure that the appropriate committee structure is in place and assisting the Governance, Nominating and Sustainability Committee in making recommendations for appointments to such committees;
•recommending items for consideration on the agenda for each meeting of the Board;
•commenting on the quality, quantity and timeliness of information provided by management to the independent directors; and
•chairing Board meetings, including providing adequate time for discussion of issues, facilitating consensus, encouraging full participation and discussion by directors and confirming that clarity regarding decision-making is reached and accurately recorded; in addition, chairing each Board meeting at which only outside directors or independent directors are present; consulting and meeting with any or all of the independent directors, at the discretion of either party and with or without the attendance of the CEO, and representing such directors, where necessary, in discussions with management of the Company on corporate governance issues and other matters; and working with the CEO to ensure that the Board is provided with the resources, including external advisers and consultants to the Board as considered appropriate, to permit it to carry out its responsibilities and bringing to the attention of the CEO any issues that are preventing the Board from being able to carry out its responsibilities.
Risk Oversight by our Board of Directors
Our Board of Directors takes an active role in risk oversight related to Axogen and primarily administers its role during Board of Directors and committee meetings. During regular meetings of our Board of Directors, members of our Board of Directors discuss the operating results for each fiscal quarter. These meetings allow the members of our Board of Directors to analyze any significant financial, operational, competitive, economic, regulatory and legal risks of our business model, as well as how effectively we implement our goals.
9
During regular Audit Committee meetings, Audit Committee members discuss the financial results for the most recent fiscal quarter with our independent auditors and our Chief Financial Officer (“CFO”). Our Audit Committee also meets with, and provides guidance to, our independent auditors outside the presence of management and oversees and reviews with management the liquidity, capital needs and allocation of our capital, our funding needs and other finance matters. In addition, our Audit Committee reviews our healthcare compliance, information technology and disaster recovery capabilities, risk management programs and treatment of whistleblower complaints regarding internal accounting, accounting controls or audit matters. Our Audit Committee also oversees the management of risks from cybersecurity threats, including the policies, standards, processes and practices that the Company's management implements to address the risks from cybersecurity threats. These discussions and processes allow the members of our Audit Committee to analyze any significant risks that could materially impact the financial health of our business.
In furtherance of its risk oversight responsibilities, our Compensation Committee has oversight of the Company’s culture and human capital management, and has evaluated our overall compensation policies and practices for our employees to determine whether such policies and practices create incentives that could reasonably be expected to affect the risks faced by us and our management has concluded that the risks arising from our policies and practices are not reasonably likely to have a material adverse effect on the Company.
Our Governance, Nominating and Sustainability Committee is charged with helping the Board of Directors ensure that we are adopting good governance practices, which help minimize business risks and promote shareholder value by ensuring that our Board possesses the right skills for our business.
Additionally, given the nature of our business, our Quality, Compliance and Portfolio Management Committee has oversight over quality, and regulatory compliance matters, and innovative portfolio management. Our Quality, Compliance, and Portfolio Management Committee has primary oversight over our regulatory compliance with the U.S. Food and Drug Administration ("FDA") and other governing bodies.
Board Committees
The standing committees of Axogen’s Board of Directors and the respective members are listed below. The charters of each committee are posted on our website at http://ir.axogeninc.com/governance-docs. The information contained on our website, or on other websites linked to our website, is not part of this document. Members serve on these committees until their resignation or until otherwise determined by our Board of Directors.
Committee |
Members |
||||
Audit Committee |
Messrs. Burke (Chairman) and Levine and Ms. Wendell | ||||
Compensation Committee (1)
|
Ms. Wendell (Chairman) and Messrs. Johnson, Levine and Neels |
||||
Governance, Nominating and Sustainability Committee (1)
|
Messrs. Neels (Chairman) and Burke, Dr. Tyndall and Ms. Weiler |
||||
Quality, Compliance and Portfolio Management Committee |
Mr. Johnson (Chairman), Dr. Tyndall and Ms. Weiler |
||||
(1) Following the Meeting, the Compensation and Governance, Nominating and Sustainability Committees will be reduced to three members and Ms. Weiler will assume the role of Chairman of the Governance, Nominating and Sustainability Committee.
Audit Committee
The Audit Committee was established in accordance with section 3(a)(58)(A) of the Securities Exchange Act of 1934 as amended ("the Exchange Act"). In the opinion of the Board of Directors, each of the members of the Audit Committee has both business experience and an understanding of accounting principles generally accepted in the United States (“U.S. GAAP”) and financial statements enabling them to effectively discharge their responsibilities as members of the Audit Committee. The members of our Audit Committee meet the independence requirements under Nasdaq and U.S. Securities Exchange Commission ("SEC") rules. Moreover, the Board of Directors has determined that each of Messrs. Burke and Levine and Ms. Wendell is an “audit committee financial expert” as such
10
term is defined in Item 407(d)(5)(ii) of Regulation S-K promulgated by the SEC, as amended. The Audit Committee is primarily focused on the integrity of our financial statements, systems of internal accounting controls, the internal and external audit process and the process of monitoring compliance with laws and regulations, including cybersecurity matters.
The Audit Committee is responsible for, among other things:
•Overseeing the risks relating to the accounting and financial reporting process of the Company and the audits of the Company's financial statements;
•Meeting regularly with management to review and discuss the financial risks management processes, including compliance with Sarbanes-Oxley and related internal controls and procedures, disclosure controls and procedures and accounting and reporting compliance as well as other compliance matters;
•Overseeing the assessment and effectiveness of the Company's internal control environment and the internal audit function, including the annual internal audit plan;
•Providing oversight for the Company's compliance programs which include healthcare, legal, information technology, data privacy and disaster recovery capabilities;
•Providing oversight for the Company's cybersecurity policies, standards, processes and practices; and
•Reviewing the results of management's investigation into any noncompliance with healthcare, legal, technology and regulatory matters.
Our Audit Committee held four meetings and acted by written consent two times during 2024.
Compensation Committee
Our Compensation Committee determines and periodically evaluates the various levels and methods of compensation for our directors, officers and employees, and is responsible for establishing executive compensation and administering the A&R 2019 Plan, the Axogen, Inc. Amended and Restated 2017 Employee Stock Purchase Plan (the “2017 ESPP”) and the Axogen, Inc. Inducement Equity Incentive Plan (the "Inducement Plan").
The Compensation Committee is responsible for, among other things:
•periodic review of our compensation philosophy and the design of our compensation programs;
•establishing and overseeing our incentive and stock-based compensation plans;
•reviewing and approving the compensation of directors and executive officers;
•at least annually, establishing and reviewing our CEO’s management objectives, conducting the CEO’s performance evaluation and communicating the outcomes to our Board of Directors;
•reviewing and approving payouts to participants as proposed by our CEO under our compensation plans;
•reviewing and approving, for our CEO and our other executive officers, when and if appropriate, employment agreements, severance agreements, change in control provisions/agreements and any severance or similar termination payments proposed to be made to any of our current or former executive officers;
•in consultation with senior management, overseeing regulatory compliance with respect to compensation matters;
•preparing the annual report on executive compensation required to be included in our annual proxy statement; and
•reviewing and discussing with management human capital management matters and assisting the Board of Directors in its oversight of the Company's policies relating to culture and human capital management.
The Compensation Committee may delegate its powers under the A&R 2019 Plan to one or more directors (including a director who is also one of our officers) and may authorize one or more officers to grant awards under the A&R 2019 Plan, except that the Compensation Committee may not delegate its powers to grant awards to executive officers or directors who are subject to Section 16 of the Exchange Act. The Compensation Committee’s
11
ability to delegate its powers is also limited by the rules of the Nasdaq Stock Market on which Axogen’s shares of common stock are listed. On September 13, 2024, the Compensation Committee adopted a resolution delegating to each of the Company’s CEO, CFO, and General Counsel ("GC"), the authority to grant awards to, and exercise discretion with respect to, individuals who are not Section 16 officer under the Exchange Act (as defined in the A&R 2019 Plan) pursuant to the terms of the forms of agreements under the A&R 2019 Plan with no further action by the Compensation Committee.
The Compensation Committee, on February 19, 2024, adopted the Inducement Plan and reserved 100,000 shares of common stock for issuance as awards under the plan. Awards under the plan are intended to qualify as an employment inducement grant under Nasdaq Listing Rule 5635(c)(4).
Since May 2016, our Compensation Committee has engaged Aon's Talent Solutions practice, a division of Aon plc, ("Aon") as its compensation consultant, for the purpose of advising upon executive and director compensation. The Compensation Committee has reviewed the independence of Aon’s advisory role relative to the six independence factors for consultants adopted by the SEC to guide listed companies in determining the independence of their compensation consultants, legal counsel and other advisors. Following its review, the Compensation Committee concluded that Aon did not have any conflicts of interest and provided the Compensation Committee with objective and independent executive compensation advisory services.
Aon was engaged in 2024 to provide the Compensation Committee with an analysis of Axogen’s compensation for its executive officers, officers, and directors, focusing on all compensation components including base salary, bonus, equity, director retainers and fees and committee fees. Aon conducted a thorough review of Axogen’s most relevant comparative companies, and analyzed base salary, bonus, equity, retainers, and all other compensation components in relation to Axogen’s peer group.
Our Compensation Committee held six meetings and acted by written consent seven times during 2024.
Governance, Nominating and Sustainability Committee
The Governance, Nominating and Sustainability Committee is responsible for providing oversight in relation to the corporate governance of the Company and also identifies director nominees for election to fill vacancies on our Board of Directors. Nominees are approved by the Board of Directors on recommendation of the Governance, Nominating and Sustainability Committee. In evaluating nominees, the Governance, Nominating and Sustainability Committee particularly seeks candidates of high ethical character with significant business experience at the senior management level who have the time and energy to attend to board responsibilities. Candidates should also satisfy such other particular requirements that the Governance, Nominating and Sustainability Committee may consider important to our business at the time. When a vacancy occurs on the Board of Directors, the Governance, Nominating and Sustainability Committee will consider nominees from all sources, including shareholders, nominees recommended by other parties, and candidates known to the directors or our management. The best candidate from all evaluated will be recommended to the Board of Directors to consider for nomination. No material changes have been made to the procedures by which shareholders may recommend nominees to our Board of Directors.
The Governance, Nominating and Sustainability Committee is responsible for, among other things:
•reviewing and making recommendations to the Board of Directors, regarding the Company’s policy and performance in relation to sustainability-related matters, including:
◦the environment;
◦climate change;
◦human rights;
◦heritage and land access;
◦security and emergency management; and
◦community relations; and
12
•assisting in setting sustainability performance goals and assessing achievement of such goals if requested by the Compensation Committee.
Our Governance, Nominating and Sustainability Committee held four meetings and did not act by written consent during 2024.
Quality, Compliance and Portfolio Management Committee
The Quality, Compliance and Portfolio Management Committee assists the Board in fulfilling its oversight responsibilities with respect to quality, regulatory compliance matters and portfolio management.
The Quality, Compliance and Portfolio Management Committee oversees the following:
•risk management in the areas of product quality and safety, including but not limited to, reviewing the adequacy and effectiveness of the Company’s strategies for compliance with laws and regulations, the safety and quality of the Company’s products, and the impact of changes in global regulatory requirements;
•coordination with the Audit Committee on its oversight of quality and compliance issues and has primary oversight responsibility for areas of non-financial, regulatory compliance; and
•the Company’s innovation portfolio, including implementation of portfolio management, oversight of grants both to the Company and from the Company to third parties, review of the competitive position of the Company’s portfolio, and review of the Company’s response to any identified technological vulnerabilities involving its products and services.
Our Quality, Compliance and Portfolio Management Committee held four meetings and did not act by written consent during 2024.
Corporate Governance Guidelines
Our Board of Directors adopted and approved a set of Corporate Governance Guidelines. The guidelines set forth the practices our Board follows with respect to, among other things, the composition of the Board and Board committees, director responsibilities, director continuing education, and performance evaluation of the Board. The guidelines are posted on our website at http://ir.axogeninc.com/governance-docs.
Some of the governance practices included in the Corporate Governance Guidelines include the following:
Protections Against Overboarding
We endeavor to have our directors not be over committed and have sufficient time to fulfill their duties and responsibilities on our Board of Directors. Effectively, directors are required to limit the number of other public company boards on which they serve so that they are able to devote adequate time to their duties to the Company, including preparing for and attending meetings. Prior to accepting or resigning from any position on the board of directors of any organization, whether for-profit or not-for-profit, current directors are required to notify the Governance, Nominating and Sustainability Committee. The Governance, Nominating and Sustainability Committee may take into account the nature of, and time involved in a director’s service on other boards and/or committees in evaluating the suitability of a director’s service on the board of directors.
Resignation Offered at Age 75
Longer serving directors have valuable insight about our business, operations, history, policies and objectives. Our Board of Directors does not currently believe that a mandatory retirement age for directors is appropriate, and that continued service by a particular director may be in the best interests of the Company and our shareholders. However, as set forth in the Governance, Nominating and Sustainability Committee charter, when a director reaches the age of 75 years, such director should volunteer to not stand for re-election and, in the event that such director remains on the Board of Directors, such director should continue to volunteer to not stand for re-election in each and
13
every year following the attainment of the age of 75. Mr. Neels volunteered not to stand for re-election at the Meeting.
Director Approval
Our directors are elected by a plurality vote. Votes cast by the shareholders are entitled to vote at the Meeting. A plurality vote means that the directors who receive the most votes in an election, though not necessarily a majority, will be elected. However, pursuant to our Corporate Governance Guidelines, directors who receive more “withhold” votes than “for” votes will be required to tender their resignation, which the Board will be required to consider. The Board will consider the resignation and determine within sixty (60) days of the certification of the shareholder vote whether to accept such resignation. If the Board determines not to accept the resignation, the Board’s determination and reasons for not accepting the resignation will be reported on a Form 8-K.
Director Nominations
Director nominees are approved by our Board of Directors on recommendation of our Governance, Nominating and Sustainability Committee. In evaluating nominees, our Governance, Nominating and Sustainability Committee particularly seeks candidates of high ethical character with significant business experience at the senior management level who have the time and energy to attend to board responsibilities. Candidates should also satisfy such other particular requirements that our Governance, Nominating and Sustainability Committee may consider important to our business at the time. In accordance with our Governance, Nominating and Sustainability Committee charter and policies included therein, characteristics expected of all directors include independence, integrity, high personal and professional ethics, sound business judgment, and the ability and willingness to commit sufficient time to our Board of Directors. In evaluating the suitability of individual directors, our Board of Directors takes into account many factors, including: (i) general understanding of marketing, finance, and other disciplines relevant to the success of a small publicly traded medical device company in today’s business environment; (ii) understanding of the Company’s business and technology; (iii) educational and professional background; (iv) personal accomplishment; and (v) geographic diversity. Our Board of Directors evaluates each individual in the context of our Board of Directors as a whole, with the objective of recommending a group that can best perpetuate the success of the Company’s business and represent shareholder interests through the exercise of sound judgment, using its diversity of experience.
In addition, in accordance with our Governance, Nominating and Sustainability Committee charter and policies included therein, when a vacancy occurs on our Board of Directors, our Governance, Nominating and Sustainability Committee will consider nominees from all sources, including shareholders, nominees recommended by other parties, and candidates known to our directors or our management. The best candidate(s) from all evaluated will be recommended to our Board of Directors to consider for nomination.
Shareholders wishing to recommend a director nominee to our Governance, Nominating and Sustainability Committee may do so by sending to our Governance, Nominating and Sustainability Committee, on or before January 1 of each year, the following information: (i) name of the candidate and a brief biographical sketch and resume; (ii) contact information for the candidate and a document evidencing the candidate’s willingness to serve as a director if elected; and (iii) a signed statement as to the submitting shareholder’s current status as a shareholder and the number of shares currently held. Such recommendation should be addressed to Governance, Nominating and Sustainability Committee, c/o General Counsel, Axogen, Inc., 13631 Progress Blvd., Suite 400, Alachua, FL 32615. No candidates for director nominations were submitted to our Governance, Nominating and Sustainability Committee by any shareholder in connection with the Meeting.
Board Skills and Experience Matrix
Our Board of Directors has taken a thoughtful approach to board composition to ensure that our directors have backgrounds that collectively add significant value to the strategic decisions made by the Company and that enable them to provide oversight of management to ensure accountability to our shareholders. The Board of Directors and the Governance, Nominating and Sustainability Committee believe the skills, qualities, attributes, experience and diversity of backgrounds of our directors provide us with a diverse range of perspectives to effectively address our
14
evolving needs and represent the best interests of our shareholders. The Board of Directors consists of two females and seven males.
The following is a summary of relevant skills and qualifications of our existing directors:
| Skill | Paul Thomas | Michael Dale | William Burke | John Johnson | Alan Levine | Joseph Tyndall | Kathy Weiler | Amy Wendell | ||||||||||||||||||
| Clinician/Physician | x | x | ||||||||||||||||||||||||
| Digital Patient Activation | x | x | x | |||||||||||||||||||||||
| Finance/Risk Management | x | x | x | x | x | x | ||||||||||||||||||||
| Global Experience | x | x | x | x | x | |||||||||||||||||||||
| Healthcare Marketing | x | x | x | x | x | x | x | |||||||||||||||||||
HR/Health and Safety (1)
|
x | x | x | |||||||||||||||||||||||
| Innovation/Technology | x | x | x | x | x | |||||||||||||||||||||
| Operating/Manufacturing | x | x | x | |||||||||||||||||||||||
| Payer/Provider | x | x | x | x | ||||||||||||||||||||||
| Public Board Experience | x | x | x | x | x | |||||||||||||||||||||
| Public Policy/Government Relations | x | x | x | x | ||||||||||||||||||||||
| QA/Regulatory/Compliance | x | x | x | x | x | |||||||||||||||||||||
| Senior Leadership Experience | x | x | x | x | x | x | x | x | ||||||||||||||||||
| Strategy/M&A Transactional | x | x | x | x | x | x | x | |||||||||||||||||||
(1) The directors engage third party advisors.
|
||||||||||||||||||||||||||
Shareholder Communications with our Board of Directors
Shareholders may send written communications to the attention of our Board of Directors. Any shareholder who would like to communicate with our Board of Directors, or one or more of our directors, may send a letter addressed to: Board of Directors, c/o General Counsel, Axogen, Inc., 13631 Progress Blvd., Suite 400, Alachua, FL 32615. Our General Counsel has been instructed by our Board of Directors to promptly forward all communications received to our full Board of Directors, or the individual members of our Board of Directors specifically addressed in the communication.
Compensation Committee Interlocks and Insider Participation
None of our executive officers serves as a member of the board of directors or compensation committee, or other committee serving an equivalent function, of any other entity that has one or more of its executive officers serving as a member of our Board of Directors or Compensation Committee.
Non-Employee Director Equity Ownership Guidelines
The Board of Directors has adopted the non-employee director equity ownership guidelines upon the recommendation of the Compensation Committee of the Board (the "Equity Ownership Guidelines"). Under the Equity Ownership Guidelines, each non-employee director is required to hold an equity interest with respect to the Company's common stock with a value equal to at least three times their annual retainers, excluding any committee retainers or other fees they may receive. For the purpose of determining equity ownership levels, shares owned by the non-employee director or their immediate family members residing in the same household or through trusts and shares of the Company's common stock underlying vested stock options held by the non-employee director to the extent such options are "in-the-money" are included. Unvested shares and shares subject to unvested options or other awards do not count towards satisfaction of the guidelines.
Each non-employee director is required to achieve the applicable level of ownership within five years of the later of the date the Equity Ownership Guidelines were amended (February 2022) or the date the non-employee
15
director was initially designated as a non-employee director of the Company. If a non-employee director falls out of compliance, they have one year to increase their equity ownership and regain compliance.
Each of our non-employee directors as of December 31, 2024, meets the required level of ownership under the Equity Ownership Guidelines.
A current copy of our Non-Employee Director Equity Ownership Guidelines is posted on our website at http://ir.axogeninc.com/governance-docs.
Code of Business Conduct and Ethics
The Board of Directors adopted a Code of Business Conduct and Ethics and Whistleblower Policy that applies to our employees (including our principal executive officer, CFO and other members of our finance and administration department) and our directors. This Code of Business Conduct and Ethics satisfies the “Code of Ethics” requirements under the Sarbanes-Oxley Act of 2002 as well as the “Code of Conduct” requirements under the Market Place Rules of the Nasdaq Stock Market. The Code of Business Conduct and Ethics, among other things, addresses issues relating to conflicts of interests, including internal reporting violations and disclosures, and compliance with applicable laws, rules and regulations. The purpose of the Code of Business Conduct and Ethics is to promote, among other things, honest and ethical conduct; full, fair, accurate, timely, and understandable public disclosures; compliance with applicable laws and regulations; and to ensure to the greatest possible extent that our business is conducted in a legal and ethical manner. Anonymous reports are permitted under the Whistleblower Policy, and the procedures for doing so are set therein. Any waivers or approvals granted under this Code of Business Conduct and Ethics with respect to our executive officers and directors may be granted only by the Board of Directors.
The Code of Business Conduct and Ethics is posted on our website https://ir.axogeninc.com/governance-docs that is applicable to all employees and directors. We will provide copies of our Code of Business Conduct and Ethics without charge upon request. To obtain a copy, please visit our website or send your written request to Investor Relations, 13631 Progress Blvd., Suite 400, Alachua, FL 32615. With respect to any amendments or waivers of this Code of Business Conduct and Ethics (to the extent applicable to our CEO, CFO, controller or persons performing similar functions), we intend to either post such amendments or waivers on our website.
Clawback Policy
The Board of Directors adopted a compensation recoupment policy (the “Clawback Policy”) in 2023, in compliance with rules set by the SEC and Nasdaq. The Clawback Policy provides that in the event that the Company’s financial statements are restated, the Board of Directors (or any Committee to which authority is delegated by the Board of Directors) will act to recoup incentive compensation paid to the Company’s executive officers and certain other employees determined to have been paid in excess of or in error based on the restated results. The Clawback Policy can be found as an exhibit to the Company’s Annual Report on Form 10-K for the year ended December 31, 2023.
Insider Trading Policy
On December 16, 2024, the Board of Directors adopted a revised Insider Trading Policy (the “Insider Trading
Policy”) governing the purchase, sale and other dispositions of the Company’s securities by directors, officers,
employees and other persons that are reasonably designed to promote compliance with insider trading laws, rules and regulations of the SEC and the Nasdaq listing standards applicable to the Company. The Insider Trading Policy was filed as an exhibit to our 2024 Annual Report filed with the SEC on February 26, 2025.
16
CERTAIN RELATIONSHIPS AND RELATED TRANSACTIONS
Review and Approval of Related Person Transactions
In accordance with our Audit Committee Charter, our Audit Committee reviews and approves (with the concurrence of a majority of the disinterested members of our Board of Directors) any related-party and affiliated-party transactions. Our Code of Business Conduct and Ethics generally addresses such situations as to conflicts of interest and is the starting basis for disclosure and review. The Code of Business Conduct and Ethics provides that a conflict situation can arise when an employee or officer takes actions or has interests that may make it difficult to perform his or her Company work objectively and effectively. Conflicts of interest may also arise when an employee or officer, or a member of his or her family, receives improper personal benefits as a result of his or her position in the Company. Loans to, or guarantees of obligations of, employees, officers and their family members by the Company may create conflicts of interest.
In addition, the Code of Business Conduct and Ethics provides that all related person transactions that meet the minimum threshold for disclosure in a proxy statement under the relevant SEC rules must be reported to and approved by the Audit Committee. Company officers and directors are required to bring promptly to the attention of our CFO or General Counsel any transaction or series of transactions that may result in a conflict of interest between that person and the Company. The Company CFO on a continuous basis, and annually, reviews with Company accounting personnel any situations that appear to have a conflict. Following any disclosure or discovery, our CFO or GC will then review with the Chairman of our Audit Committee the relevant facts disclosed by the officer or director in question or the uncovered situation. After this review, the Chairman of the Audit Committee and the CFO or GC determines whether the matter should be brought to the Audit Committee or the full Board of Directors for approval. In considering any such transaction, the Audit Committee or the Board of Directors, as the case may be, will consider various relevant factors, including, among others, the reasoning for the Company to engage in the transaction, whether the terms of the transaction are at arm’s length and the overall fairness of the transaction to the Company. If a member of the Audit Committee or the Board of Directors is involved in the transaction, he or she will not participate in any of the discussions or decisions about the transaction. The transaction must be approved in advance whenever practicable, and if not practicable, must be ratified as promptly as practicable.
Related Person Transactions
Periodically, the Company may make contributions to the Global Nerve Foundation ("GNF"), a related party, due to certain executives of the Company being members of GNF's board of directors. Marc Began, the Company's Executive Vice President and General Counsel, and Erick DeVinney, the Company's Chief Innovation Officer, served on GNF's board of directors during the year ended December 31, 2024. GNF was incorporated in 2021 exclusively for charitable, educational, and scientific purposes and qualifies under Internal Revenue Code 501(c)(3) as an exempt private foundation. Under its charter, GNF engages in activities that focus on improving the awareness and care of patients with peripheral nerve injuries through grants, contributions and other appropriate means. GNF is a separate legal entity and is not a subsidiary of the Company. On July 20, 2024, the Company entered into a Qualified Founding Partner Agreement ("Agreement") which grants certain benefits to the Company related to GNF's programming and marketing. The Agreement terminates on December 31, 2031. The Company may terminate the Agreement early by giving notice of termination between January 2 and January 31 in any calendar year; however, if the Company terminates the Agreement early, it will be required to make the next two payments per the payment schedule in a total amount not to exceed $100,000. Per the terms of the Agreement, the Company contributed $100,000 to GNF during the year ended December 31, 2024.
SECURITY OWNERSHIP OF CERTAIN BENEFICIAL OWNERS AND MANAGEMENT
The following table sets forth certain information with respect to the beneficial ownership of our common stock as of April 1, 2025, by each person, or group of affiliated persons, who is known by us to beneficially own more than 5% of our common stock; each of our directors; each of our named executive officers and all of our directors and executive officers as a group. Beneficial ownership is determined in accordance with the rules of the SEC. Except as otherwise noted, each shareholder named in the table has sole voting and investment power for the shares shown as beneficially owned by them, and such shares are not subject to any pledge. Shares of common stock
17
underlying options held by a person that are currently exercisable, or exercisable within 60 days of April 1, 2025, and restricted stock units ("RSUs") and performance stock units ("PSUs") that may vest and settle within 60 days of April 1, 2025, are considered outstanding and to be beneficially owned by the person holding such option, RSU and/or PSU for purposes of computing such person’s percentage ownership but are not considered outstanding for the purpose of computing the percentage ownership of any such person. Percentage of ownership is based on 44,371,822 of common stock outstanding on April 1, 2025. Unless otherwise specified, the address of each beneficial owner is c/o Axogen, Inc., 13631 Progress Blvd., Suite 400 Alachua, FL 32615.
| Number of Shares | ||||||||||||||||||||
| Number of Shares | Underlying Options, | |||||||||||||||||||
| Beneficially Owned | RSUs and PSUs |
|||||||||||||||||||
| (including shares | Currently Exercisable or | |||||||||||||||||||
| reflected in the | Exercisable within 60 days | Percent of Shares | ||||||||||||||||||
| Name of Beneficial Owner | third column) | of April 1, 2025 |
Outstanding (%) | |||||||||||||||||
First Light Asset Management, LLC (1)
|
4,625,680 | — | 9.99 | % | ||||||||||||||||
BlackRock, Inc. (2)
|
3,342,773 | — | 7.22 | % | ||||||||||||||||
Soleus Capital Master Fund, L.P. (3)
|
3,005,943 | — | 6.49 | % | ||||||||||||||||
ArrowMark Colorado Holdings, LLC (4)
|
2,690,098 | — | 5.81 | % | ||||||||||||||||
Morgan Stanley (5)
|
2,330,406 | — | 5.03 | % | ||||||||||||||||
The Vanguard Group (6)
|
2,465,496 | — | 5.33 | % | ||||||||||||||||
William Burke (7)
|
87,936 | 60,032 | * | |||||||||||||||||
| John Johnson | 78,248 | 59,885 | * | |||||||||||||||||
Alan M. Levine |
115,688 | 85,525 | * | |||||||||||||||||
| Guido Neels | 166,535 | 86,372 | * | |||||||||||||||||
| Paul Thomas | 105,586 | 84,187 | * | |||||||||||||||||
| Joseph Tyndall | 63,645 | 49,216 | * | |||||||||||||||||
| Kathy Weiler | 21,825 | 21,825 | * | |||||||||||||||||
| Amy Wendell | 173,618 | 86,372 | * | |||||||||||||||||
| Michael Dale | — | — | * | |||||||||||||||||
| Marc Began | 63,285 | 45,000 | * | |||||||||||||||||
| Nir Naor | 63,868 | — | * | |||||||||||||||||
| Jens Kemp | 42,683 | 30,000 | * | |||||||||||||||||
| Erick DeVinney | 323,514 | 173,103 | * | |||||||||||||||||
All directors and executive officers as a group (13 persons)
|
1,306,431 | 781,517 | 2.78 | % | ||||||||||||||||
* Less than 1%.
(1)This information is based solely on a review of Schedule 13G/A filed on January 8, 2025, with the SEC by First Light Asset Management, LLC (“First Light”) and Mathew P. Arens ("Mr. Arens"). The Schedule 13 G/A states that First Light and Mr. Arens have shared voting power with respect to 4,625,680 shares and shared dispositive power with respect to 4,625,680 shares. First Light may be deemed to be the beneficial owner of these shares because it acts as an investment adviser to certain persons holding separately managed accounts with First Light and to certain private funds. Mr. Arens may also be deemed to be the beneficial owner of these shares because he controls First Light in his position as managing member and majority owner of First Light. The principal business address of First Light and Mr. Arens is 3300 Edinborough Way, Suite 201, Edina, Minnesota 55435.
(2)This information is based solely on a review of Schedule 13G/A filed on January 26, 2024, with the SEC by BlackRock, Inc. The Schedule 13G/A states that BlackRock, Inc. has sole voting power with respect to 3,300,684 shares and sole dispositive powers with respect to 3,342,773 shares. The principal business address of BlackRock, Inc. is 55 East 52nd Street, New York, NY 10055.
(3)This information is based solely on a review of Schedule 13G/A filed on November 14, 2024, with the SEC by Soleus Capital Master Fund, L.P. (“Master Fund”). The Schedule 13 G/A states that the Master Fund has shared voting power with
18
respect to 3,005,943 shares and shared dispositive power with respect to 3,005,943 shares. Soleus Capital, LLC is the sole general partner of Master Fund, Soleus Capital Group, LLC is the sole managing member of Soleus Capital, LLC, Soleus Capital Management is the investment manager for Master Fund, and Soleus GP, LLC is the sole general partner of Soleus Capital Management. Guy Levy is the sole managing member of each of Soleus Capital Group, LLC and of Soleus GP, LLC. Each of Soleus Capital Group, LLC; Soleus Capital, LLC; Soleus Capital Management; Soleus GP, LLC and Mr. Levy disclaims beneficial ownership of these securities held by Master Fund and this report shall not be deemed an admission that they are the beneficial owners of such securities for purposes of Section 13(d) of the Exchange Act, or for any other purpose, except to the extent of their respective pecuniary interests therein. The principal business address of Soleus Capital Master Fund, L.P. is 104 Field Point Road, 2nd Floor, Greenwich, CT 06830.
(4)This information is based solely on a review of Schedule 13G/A filed on September 10, 2024, with the SEC by ArrowMark Colorado Holdings, LLC ("ArrowMark"). The Schedule 13G/A states that ArrowMark has sole voting power with respect to 2,690,098 shares and sole dispositive powers with respect to 2,690,098 shares. The principal business address of ArrowMark is 100 Fillmore Street, Suite 325, Denver, Colorado 80206.
(5) This information is based solely on a review of Schedule 13G filed on February 3, 2025, with the SEC by Morgan Stanley. The Schedule 13G states that Morgan Stanley has shared voting power with respect to 2,310,019 shares and shared dispositive power with respect to 2,330,406 shares. The principal business address of Morgan Stanley is 1585 Broadway, New York, NY 10036.
(6) This information is based solely on a review of Schedule 13G filed on February 13, 2024, with the SEC by The Vanguard Group. The Schedule 13G states that The Vanguard Group has shared voting power with respect to 66,324 shares, sole dispositive power with respect to 2,382,302 shares, and shared dispositive power with respect to 83,194 shares. The principal business address of The Vanguard Group is 100 Vanguard Blvd., Malvern, PA 19355.
(7) William Burke's shares beneficially owned include an indirect holding of 10,000 shares of common stock owned by his wife.
Delinquent Section 16(a) Reports
Section 16(a) of the Exchange Act requires our executive officers and directors, and persons who beneficially own more than 10% of our common stock to file with the SEC initial reports of ownership and reports of changes in ownership of common stock and other equity securities of our company. Officers, directors and greater than ten percent stockholders are required by SEC regulations to furnish us with copies of all Section 16(a) forms they file. SEC regulations require us to identify in this report anyone who filed a required report late during our most recent fiscal year.
Based on our review of forms we received or written representations from reporting persons, we believe that all reports of securities ownership and changes in such ownership required to be filed during the year ended December 31, 2024 were timely filed, except for Dr. Tyndall's purchase of 2,525 shares of Axogen common stock, which was inadvertently not reported timely due to an administrative oversight and was reported on Form 5.
Equity Compensation Plan Information
The following table summarizes, with respect to the Company’s equity compensation plans, the number of shares of the Company’s common stock to be issued upon exercise of outstanding options, warrants and other rights to acquire shares of common stock, the weighted-average exercise price of these outstanding options, warrants and rights and the number of shares of common stock remaining available for future issuance under the Company’s equity compensation plans as of December 31, 2024.
19
| Plan Category |
Number of Shares to be Issued Upon Exercise of Outstanding Options, Warrants and Rights (1)
|
Weighted-Average Exercise Price of Outstanding Options, Warrants and Rights ($) |
Number of Shares Remaining Available for Future Issuance Under Equity Compensation Plans (Excluding Shares Reflected in the First Column)
|
|||||||||||||||||
Equity compensation plans approved by security holders (2)
|
8,073,867 | 11.92 | 2,949,495 | |||||||||||||||||
Equity compensation plans not approved by security holders (3)
|
1,173,700 | 8.16 | 61,300 | |||||||||||||||||
| Total | 9,247,567 | 12.39 | 3,010,795 | |||||||||||||||||
(1) Amounts include the number of shares to be issued at target for PSUs. Actual number of shares issued will vary from 0% - 200% dependent on the award agreement and achievement.
(2) On or before April 1, 2025, an additional 749,994 shares were granted or reserved, net of forfeitures, as equity compensation under the A&R 2019 Plan. 2,199,501 shares remain available for issuance as of April 1, 2025.
(3) As of December 31, 2024, 168,700 non-qualified stock options, 405,000 RSUs and 600,000 PSUs have been granted and are outstanding. 450,000 of the PSUs granted reflect the targeted number of PSUs expected to be earned based on meeting certain defined performance goals. The actual number of PSUs earned could range from 0% to 200% of such targeted number. The awards were granted as inducements material to new employees entering into employment with the Company in accordance with Nasdaq Listing Rule 5635(c)(4).
The Board of Directors, on March 4, 2024, adopted the Inducement Plan and reserved 100,000 shares of common stock for issuance as awards under the Inducement Plan. Awards under the Inducement Plan are intended to qualify as an employment inducement grant under Nasdaq Listing Rule 5635(c)(4); 51,300 shares remain available as of April 1, 2025.
The Board of Directors, on August 7, 2024, approved up to 1,050,000 shares of common stock for issuance upon the settlement of 1,050,000 PSUs that were granted to a new CEO to induce him to accept employment by the Company. This award is intended to qualify as an employment inducement grant under Nasdaq Listing Rule 5635(c)(4).
EXECUTIVE OFFICERS
For Mr. Dale’s biography, see “Proposal 1 – Election of Directors" above.
Nir Naor has served as our CFO since December 2023. From October 2022 to November 2023, Mr. Naor held advisory and short-term CFO roles at a number of growth companies. From December 2021 to October 2022, he served as the CFO of HMNC Brain Health while supporting their fund raising and initial public offering preparedness endeavors. From January 2021 to September 2021, Mr. Naor served as the CFO and supported the sale of Arbor Pharmaceuticals, a private equity-backed company. From October 2017 to January 2021, he served as CFO U.S./Americas of Mölnlycke Healthcare. From October 2012 to July 2017, he held various roles with UCB (ENXTBR: UCB) in both Europe and the United States ("U.S."), including founding UCB’s Portfolio Management and Resource Allocation function, and later becoming their U.S. CFO. Earlier in his career, Mr. Naor held several finance leadership positions with AstraZeneca, served as a financial consultant and investment banker, worked as an auditor with KPMG, and practiced commercial law. Mr. Naor currently serves in advisory roles for several emerging life sciences and technology companies and as a board member and audit committee chair of Brainstorm Cell Therapeutics (Nasdaq: BCLI). Mr. Naor holds a Master of Business Administration degree from IMD Business School in Switzerland, a Master’s degree in law from Hamburg University in Germany, and Bachelors degrees in law and in accounting from the Tel Aviv University in Israel. Mr. Naor is also a chartered financial analyst charterholder.
Marc Began has served as Executive Vice President, General Counsel and Chief Compliance Officer since March 2023. Mr. Began brings more than 25 years of experience representing life science companies as in-house and external counsel. From June 2018 until its acquisition in December 2022 by Johnson and Johnson, Inc. (NYSE: JNJ), Mr. Began served as Executive Vice President, General Counsel and Secretary of Abiomed, Inc. (Nasdaq: ABMD), a publicly traded med-tech company specializing in heart, lung and kidney recovery and was responsible
20
for leading its legal, compliance and business development functions. While at Abiomed, Mr. Began oversaw the acquisitions of new companies and new products. From August 2017 to June 2018, Mr. Began was Vice President of Legal and Intellectual Property at Boehringer Ingelheim, a privately held pharmaceutical and biologics company, where he was responsible for medical device, pharmaceutical and biologic legal and intellectual property issues. Before joining Boehringer Ingelheim, Mr. Began held various positions of increasing responsibility over a 15-year period at Novo Nordisk (NYSE: NVO), a publicly traded company specializing in metabolic and endocrinological diseases. Prior to becoming an in-house lawyer for Novo Nordisk, Mr. Began was in private practice at the law firms of Sullivan & Cromwell LLP and White & Case LLP in New York, where he handled a broad range of legal matters, including litigation, intellectual property, corporate transactions and regulatory and compliance for private and public companies. Mr. Began also serves as a board member of GNF. Mr. Began earned a Juris Doctor degree from Albany Law School at Union University and holds a Bachelor of Science degree in mechanical engineering from Rensselaer Polytechnic Institute.
Jens Kemp has served as Chief Marketing Office since February 2023. Mr. Kemp brings more than sixteen years of sales, business development and marketing experience from the medical device industry to the Company. From 2013 to 2023, Mr. Kemp served as Vice President of Marketing for Ambu Inc. where he led Ambu’s marketing efforts to create the single use endoscopy market across multiple clinical applications. Following Ambu’s acquisition of King Systems in 2012, Mr. Kemp developed and scaled the U.S. marketing function with new capabilities in health economics and market access, market development and digital marketing. From 2006 to 2009, Mr. Kemp was based in Copenhagen, Denmark where he served as Corporate Business Development Manager for Ambu A/S before relocating to the U.S. in 2009 where Mr. Kemp held the position of Vice President of Corporate Business Development until 2013. Prior to joining Ambu Mr. Kemp worked as a management consultant for three years with Pera Innovation working with companies across Europe. From 2001 to 2003, Mr. Kemp was co-founder of Mindgroup, where he was responsible for sales and marketing of artificial intelligence powered decision support systems. Mr. Kemp holds a Bachelor of Arts degree in business administration and a Master of Science degree in international marketing and management from the Copenhagen Business School.
Erick DeVinney joined Axogen in April of 2007. During his tenure he has held positions of progressive responsibility in clinical research, research and development, product development, medical education and medical affairs. Mr. DeVinney has more than seventeen years of experience driving innovation in peripheral nerve injury diagnosis and repair, including clinical and regulatory development strategies, portfolio development and scientific thought leadership. He has a diverse background, including academic research and the development of tissue technologies, medical devices, pharmaceuticals and biologics. Mr. DeVinney has been involved in research at the Virginia Commonwealth University Medical College of Virginia Hospitals, University of Utrecht, National Clinical Research, PRA International and Angiotech. He has been involved in the successful submission of numerous integrated environment development applications, new drug applications, biologics license applications ("BLA") and FDA 510(k) applications. Mr. DeVinney also serves as a board member for GNF. Mr. DeVinney has a Bachelor of Science degree in chemistry from Virginia Commonwealth University.
EXECUTIVE COMPENSATION
Compensation Discussion and Analysis
This Compensation Discussion and Analysis (“CD&A”) provides an overview of our executive compensation philosophy, the objectives of our executive compensation program and each compensation component that we provide. In addition, we explain how and why our Compensation Committee arrived at specific compensation policies and decisions involving our named executive officers ("NEOs") for the year ended December 31, 2024. This CD&A is intended to be read in conjunction with the tables which immediately follow, which include historical compensation data for our NEOs.
This CD&A contains forward-looking statements that are based on our current plans, considerations, expectations and determinations, including regarding future compensation programs and assumptions underlying such programs. The actual compensation programs that we adopt in the future may differ materially from currently planned programs as summarized in this discussion. Actual results or events could differ materially from those
21
described in any forward-looking statements as a result of various factors, including, without limitation, those risk
factors described under Part I, Item 1A, “Risk Factors,” of our 2024 Annual Report.
This CD&A contains the non-GAAP financial measures of net income or loss before interest, income taxes, depreciation and amortization ("EBITDA") and further excluding non-cash stock-based compensation expense ("Adjusted EBITDA") and the net increase (decrease) in cash and cash equivalents, restricted cash, and investments, less cash flow from the issuance and repayment of long-term debt ("Operational Cashflow") to supplement our condensed consolidated financial measures. These non-GAAP measures are not based on any comprehensive set of accounting rules or principles and should not be considered a substitute for, or superior to, financial measures calculated in accordance with U.S. GAAP and may be different from non-GAAP measures used by other companies. In addition, these non-GAAP measures should be read in conjunction with our financial statements prepared in accordance with U.S. GAAP. The reconciliations of the non-GAAP measures to the most directly comparable financial measures calculated and presented in accordance with U.S. GAAP should be carefully evaluated. The reconciliation of net income (loss) to EBITDA and Adjusted EBITDA for the years ended December 31, 2024 and 2023 can be found in our Form 8-K filed on February 25, 2025 with the SEC. The reconciliation of net income (loss) to EBITDA and Adjusted EBITDA for the years ended December 31, 2022 and 2021 can be found in our Form 8-K filed on March 14, 2023 with the SEC. The calculation of Operational Cashflow can be derived from our Consolidated Balance Sheets included in our Consolidated Financial Statements in our Annual Reports on Form 10-K for the years ended December 31, 2024, 2023, 2022, 2021 and 2020 to calculate the net increase (decrease) in cash and cash equivalents, restricted cash, and investments. The cash flows from the issuance and repayment of long-term debt can be derived from our Consolidated Statements of Cash Flows included in our Consolidated Financial Statements in our Annual Reports on Form 10-K for the years ended December 31, 2024, 2023, 2022 and 2021.
The following executive officers constituted our NEOs for the year ended December 31, 2024:
| Name | Age | Position(s) | ||||||||||||
Michael Dale (1)
|
65 | CEO and President |
||||||||||||
Nir Naor
|
50 | CFO |
||||||||||||
| Marc Began | 58 | Executive Vice President and GC |
||||||||||||
| Jens Kemp | 48 | Chief Marketing Officer | ||||||||||||
| Erick DeVinney | 49 | Chief Innovation Officer | ||||||||||||
Karen Zaderej (2)
|
63 | Former CEO and President |
||||||||||||
(1) Mr. Dale joined the Company as CEO and President on August 9, 2024.
(2) Ms. Zaderej departed from her position as CEO and President on August 8, 2024 and will depart from the Company as an employee on May 8, 2025.
Business Highlights
We are the leading company focused specifically on the science, development and commercialization of technologies for peripheral nerve regeneration and repair. Our focus is on delivering solutions that repair nerve function and improve the quality of life for patients with peripheral nerve injuries. We offer a range of innovative, clinically proven and cost-effective repair solutions for surgeons and healthcare providers.
Full year 2024 revenue increased 17.8% compared to 2023. Our growth in 2024 is attributed to our progress in executing on our market development strategy. In 2024, we saw broad-based growth across all the markets we serve which is comprised of (i) trauma, (ii) oral maxillofacial and head and neck, (iii) breast reconstruction neurotization and (iv) upper extremity compression. For each market, positive performance was driven by improved commercial execution of our growth strategy focused on driving adoption of our nerve repair algorithm. Revenue from the distribution of our nerve repair products, Avance® Nerve Graft, Axoguard Nerve Connector®, Axoguard Nerve
22
Protector®, Axoguard HA+ Nerve Protector™, Axoguard Nerve Cap® and Avive+ Soft Tissue Matrix™ in the U.S. is the main contributor to our total reported sales and have been the key component of our growth to date. This strategy has contributed to a 16.2% and 13.6% revenue compounded annual growth rate ("CAGR") over the last two and four years, respectively, as shown in Figure 1. The productivity of our sales force remains a priority. EBITDA, Adjusted EBITDA and Operational Cashflow were similarly positively impacted by our improved sales productivity and resource allocation as shown in Figure 2 and Figure 3, respectively.

Figure 1. Revenue CAGR over last two and four years.

Figure 2. EBITDA and Adjusted EBITDA in millions. Adjusted EBITDA is calculated as net income or loss excluding interest expense, income taxes, depreciation and amortization, investment income, non-cash stock-based compensation expense and for the years 2021 and 2022, litigation and related costs. The reconciliation of net income (loss) to EBITDA and Adjusted EBITDA for the years ended December 31, 2024 and 2023 can be found in our Form 8-K filed on February 25, 2025 with the SEC. The reconciliation of net income (loss) to EBITDA and Adjusted EBITDA for the years ended December 31, 2022 and 2021 can be found in our Form 8-K filed on March 14, 2023 with the SEC.
23

Figure 3. Operational Cash Flow is calculated as the net increase (decrease) in cash and cash equivalents, restricted cash, and investments, less cash flow from issuance and repayment of long-term debt. The calculation of Operational Cashflow can be derived from our Consolidated Balance Sheets included in our Consolidated Financial Statements in our Annual Reports on Form 10-K for the years ended December 31, 2024, 2023, 2022, 2021 and 2020 to calculate the net increase (decrease) in cash and cash equivalents, restricted cash, and investments. The cash flows from the issuance and repayment of long-term debt can be derived from our Consolidated Statements of Cash Flows included in our Consolidated Financial Statements in our Annual Reports on Form 10-K for the years ended December 31, 2024, 2023, 2022 and 2021.
Key Milestones
The FDA accepted the filing of the Company’s BLA for Avance Nerve Graft on November 1, 2024 and assigned a Prescription Drug User Fee Act goal date of September 5, 2025. The Company continues to work through the process with the FDA and anticipates approval in September 2025.
Management completed a strategic planning exercise outlining strategic priorities believing the Company will achieve a revenue CAGR of 15-20% over the 4-year planning period of 2025 through 2028.
Key Compensation Decisions and Outcomes in 2024
In 2024, the Compensation Committee and the Company continued to undertake a review of the appropriateness of key elements of the executive compensation program. As in prior years, the Compensation Committee made no adjustments to the pre-established performance metrics impacting either the annual incentive plan or the long-term incentive plan.
The following highlights the key compensation decisions made by the Compensation Committee in 2024:
•Our Compensation Committee recommended and our Board approved equity-based compensation for our new CEO, Michael Dale, which was 100% performance-based. Coincident with his hire date in August 2024, Mr. Dale was granted 450,000 PSUs that will pay out between 0% and 200% based on share price appreciation over a three-year period. Additionally, he received 150,000 PSUs that will pay out between 0% and 100% based on approval of the Company's BLA for Avance Nerve Graft. Mr. Dale did not receive any time-based equity in 2024.
24
•The Compensation Committee approved equity awards for 2024 comprised of:
◦PSUs that are subject to performance goals aligned with the Company’s share price appreciation over a three-year performance period from February 2024 to February 2027 that will pay out between 0% and 200% ("TSR PSUs"). TSR PSUs granted in February 2024 were limited to 100% of target absent the shareholders' approval of the Third Amendment to the 2019 Plan received at the 2024 Shareholders meeting on June 5, 2024;
◦PSUs that are subject to performance goals aligned with the Company’s BLA for Avance Nerve Graft with a performance period ending December 31, 2025 that will pay out between 0% and 100% ("BLA PSUs");
◦for our CFO, Nir Naor, appointed in December 2023, RSUs that vest over three years with one-third on the first anniversary of the grant date and one-sixth each six months thereafter; and
◦our former CEO, Ms. Zaderej, who departed from her role in August 2024 was not granted any
equity for 2024.
◦For outstanding PSU awards granted in 2022 and 2023 tied to the Company's revenue targets that will pay out between 0% and 150% ("Revenue PSUs"), the Compensation Committee evaluated performance against the Company's predetermined performance metrics and determined that:
▪the performance pursuant to the 2024 tranches of each of the three-year performance periods was evaluated in early 2025 and 113.6% of the target shares were earned;
▪the final determination of the awards granted in 2022 with the three-year performance period from 2022 through 2024 was evaluated in early 2025 and based on actual achievement 99.2% of the target shares were earned.
◦For outstanding BLA PSUs, in September 2024, the Compensation Committee determined the milestone tied to the submission of the BLA for Avance Nerve Graft was achieved. For the BLA PSU awards granted in 2017, 2018 and 2019, upon this determination, 5% of the target awards vested immediately and 5% will vest in September 2025. For the BLA PSU awards granted in February 2024, 10% of the target awards vested in February 2025. For the BLA PSU awards granted to our CEO, Mr. Dale, in August 2024, no awards vested or will vest upon the BLA submission milestone.
◦For a more complete summary of the outstanding PSU awards, see the section entitled "Achievement of PSU Grants".
•The Compensation Committee approved base salary increases for incumbent NEOs ranging between 0% and 15%, with a median increase of 4%.
•The Compensation Committee made no adjustments to annual incentive targets for incumbent NEOs.
•For the 2024 annual cash incentive, the Compensation Committee evaluated the Company’s performance against its predetermined performance metrics, including revenue targets, operating objectives and strategic objectives. For our NEOs, a total of 167.6% of targeted bonus amounts were earned in 2024. For a more complete summary of the cash incentive program, see the section entitled "2024 Annual Cash Incentives".
These compensation decisions are disclosed in greater detail throughout the CD&A and are reflected in the Summary Compensation Table on page 40 and Grants of Plan-Based Awards Table on page 42.
Qualified Retirement Provision
The Compensation Committee approved a provision to our equity awards granted under the A&R 2019 Plan after March of 2022 to those employees with a title of Vice President and above. This provision generally provides for continued vesting of equity awards after a specific event which is generally defined as the termination of service after attainment of age sixty with at least ten years of continuous service, provided that the executive has provided at least twelve months of advance notice of the retirement date and Vice Presidents have provided at least six months
25
of advance notice. As of December 31, 2024, the NEOs who have been granted award agreements which contain a qualified retirement provision are Michael Dale, Marc Began, Jens Kemp and Erick DeVinney. Additionally, as of December 31, 2024, our former CEO, Ms. Zaderej, former NEO Mr. Donovan, and a vice president met the service, age and notice requirements and are entitled to the qualified retirement provision benefits.
Investor Feedback
The Compensation Committee values and continues to consider shareholder input and feedback, including the results of say-on-pay votes, on our compensation structure. The Compensation Committee determined that the structure of our executive compensation policies continues to be appropriately aligned with the achievement of Company goals and objectives and the best interests of shareholders. At our 2024 Annual Meeting of Shareholders, we received approximately 70% of votes in support of our executive compensation, excluding broker non-votes. We believe that compensation program enhancements of the past several years, the changes implemented in 2025, as well as our commitment to improved transparency in our CD&A disclosure, have resulted in a compensation program that best serves our Company, our executives, and our shareholders.
Shareholder Engagement
Prior to awarding equity to our NEOs in 2025, the Compensation Committee recognized a need for further engagement to better understand the perspectives of our shareholders and to explain the changes we had made. The Company reached out to its top shareholders, who represented approximately 67% of our outstanding shares of common stock, to discuss our corporate governance and executive compensation policies and practices. As a result of this outreach, we received feedback from shareholders representing approximately 17% of our outstanding shares of common stock. Our Chairman of the Compensation Committee, GC and CFO led these meetings, and the feedback received was then shared and discussed with the Compensation Committee and the Board.
We welcomed the feedback we received during our engagement with our shareholders. The table below describes what we heard from our shareholders and how we implemented improvements to address our shareholders’ feedback.
What We Heard |
How We Responded |
||||||||||
We should better link executive compensation to the Company's performance. |
In 2024, the outgoing CEO was not granted any equity and the equity approved by our Compensation Committee for our NEOs as part of our annual equity grant process was 100% performance-based in the form of PSUs tied to three-year share price appreciation and tied to the achievement of certain BLA milestones, including BLA approval for Avance Nerve Graft. Additionally, 100% of the equity granted to our new CEO was in the form of performance awards tied to the same milestones. |
||||||||||
We should continue to focus on best practices in terms of corporate governance. |
In 2024, upon the appointment of Mr. Dale as CEO, we separated the role of Chairman and CEO. Mr. Thomas was appointed as Chairman in August of 2024. |
||||||||||
Performance-based equity compensation should be based on one or more three-year performance metrics that align with shareholder value and should vest, if at all, at the end of the three-year performance period. |
In 2025, the equity granted to our NEOs was 50% in the form of PSUs tied to 3-year revenue CAGR and relative total shareholder return ("TSR") versus a peer group with cliff vesting at the end of the three-year performance period. |
||||||||||
Pay Program Overview
We believe that the design and structure of our pay program, and in particular our incentive plans, support our business strategy and organizational objectives while successfully aligning executive focus and interest with that of shareholders. Our compensation programs are designed to attract, motivate and retain qualified and talented
26
executives, motivating them to achieve our business goals and rewarding them for superior short-term and long-term performance. All pay elements, and the safeguards and governance features of the program, have been carefully chosen and implemented to align with our pay philosophy and objectives.
In doing so, we have selected the following framework to achieve these objectives:
Element |
Objective |
Key Feature and Timing |
||||||
Base Salary |
Base salaries are set to be competitive within our industry and are important in attracting and retaining talented executives. |
Base salaries are fixed pay, set with consideration for responsibilities, market data and individual contribution. |
||||||
Annual Cash Incentives |
The annual cash incentive award plan is intended to motivate and reward our executives for the achievement of certain strategic goals of the Company. |
In 2024, our annual incentives were based on key corporate objectives, including revenue, year-end cash balance and certain other operational goals. |
||||||
Long-Term Equity Incentives |
Long-term equity awards incentivize executives to deliver long-term shareholder value, while also providing a retention vehicle for our top executive talent. | Equity awards are typically delivered as PSUs, RSUs and stock options. |
||||||
Compensation Governance
Our Compensation Committee is responsible for oversight of the Company’s compensation program and practices. A significant part of this responsibility is aligning the Company's compensation program with the Company’s business strategies and goals, as well as the interest of our shareholders, while also mitigating excessive risk taking. To that end, the Company has committed to numerous governance practices and safeguards to ensure the compensation program does not misalign those interests.
What We Do |
|||||
✔ Pay-for-performance philosophy and culture |
✔ Engage an independent compensation consultant |
||||
✔ Provide an appropriate mix of performance-based and time-vesting awards to executives |
✔ Appropriate stock ownership requirements for all executives and non-executive directors |
||||
✔ Strong emphasis on performance-based incentive awards |
✔ Annual say-on-pay vote |
||||
✔ Responsible use of shares under our long-term incentive program |
✔ Perform an annual risk assessment of our compensation program |
||||
✔ Clawback Policy |
✔ Align management and shareholder interests |
||||
✔ Multi-year performance period for PSU grants |
|||||
What We Don’t Do |
|||||
X No hedging or pledging of Company securities |
X No excessive perquisites |
||||
X No excise tax gross-ups |
X No backdating or repricing of stock option awards |
||||
X No non-qualified defined contribution or other deferred compensation plans |
X No guaranteed minimum bonuses or uncapped incentives under our annual cash incentive plan |
||||
X No single-trigger change-in-control payments |
X No changes to PSU targets subsequent to grant date |
||||
27
EXECUTIVE COMPENSATION PHILOSOPHY AND OBJECTIVES
Executive Compensation Philosophy
As our Company has continued to evolve with rapid growth and clinical success, it has been imperative that the Compensation Committee continually evaluate and transform the executive compensation program to appropriately structure pay packages in consideration of the company's size, investor expectations, and industry standards. Our Compensation Committee firmly believes that executive compensation should be linked to our overall performance with particular focus on driving long-term, sustainable revenue growth. As such, our executive compensation program is designed to attract highly qualified individuals, retain those individuals in a competitive marketplace and motivate performance in a manner that supports achievement of our corporate goals while ensuring that these programs do not encourage excessive risk-taking. We believe our executive compensation program, as presented in this CD&A, achieves these objectives.
Our compensation philosophy as adopted by our Compensation Committee is designed to pay for performance and achieve the following principal objectives:
•align our executive officers’ compensation with our business objectives and the interests of our shareholders;
•enable us to attract, motivate and retain the level of successful, qualified senior executive leadership talent necessary to achieve our long-term goals; and
•reward performance, company growth and advancement of our long-term strategic initiatives.
We carefully construct pay packages to appropriately balance fixed and variable elements to achieve the aforementioned objectives.
Consistent with our philosophy of aligning executive pay with the short-term and long-term performance of the Company and the interests of shareholders, the Company’s compensation programs are designed to provide the majority of executive compensation in the form of variable, at-risk, and incentive pay. Our 2024 pay mix is shown below in the 2024 Equity Grants table, which includes equity granted in February 2024 and for our new CEO, Mr. Dale, in August 2024. These grants are an essential component of our fiscal year 2024 compensation program and were considered when designing our pay mix.
Compensation-Setting Process
Role of Compensation Committee
Our Compensation Committee is responsible for, among other things, overseeing our executive compensation philosophy and our executive compensation program, determining and approving the compensation for our executive officers, negotiating executive employment contracts, and helping to establish appropriate compensation for directors and other key employees. Our Compensation Committee regularly reports to our Board of Directors on its deliberations, but is ultimately responsible for compensation decisions, as described in the Compensation Committee’s Charter.
Our Compensation Committee reviews, on at least an annual basis, our executive compensation program, including our incentive compensation plans, to determine whether they are appropriate, properly coordinated, and achieve their intended purposes, and recommends to our Board of Directors any modifications or new plans or programs. It also reviews the compensation of our executive officers and makes decisions about the various components that comprise their compensation packages.
Role of Consultants
Since May 2016, our Compensation Committee has engaged Aon to provide the Compensation Committee with a thorough analysis of our executive compensation, focusing on all compensation components. In 2024, Aon assisted the Compensation Committee with, among other things:
28
•Executive and director market pay analysis;
•Reviewing and modifying the compensation peer group;
•Development of 2024 executive and director pay programs; and
•Reviewing our Compensation, Discussion & Analysis disclosure.
The Compensation Committee annually evaluates the independent compensation consultant’s independence and performance under the applicable SEC and Nasdaq listing standards. The Compensation Committee believes that working with an independent compensation consultant furthers the Company’s objectives to recruit and retain qualified executives, align their interests with those of shareholders and ensure that their compensation packages will appropriately motivate and reward ongoing achievement of business goals. The Compensation Committee conducted a specific review of its relationship with Aon in 2024 and determined that Aon’s work for the Compensation Committee did not raise any conflicts of interest.
Role of Management
The Company’s CEO, CFO, Vice President of Human Resources ("HR") and GC are involved in the design and implementation of our executive compensation and are typically present at Compensation Committee meetings, except that the CEO, CFO, HR and GC are not present during any voting or deliberations on their salary and equity compensation. In 2024, the CEO, CFO, HR and GC reviewed the analysis and recommendations of Aon with the Compensation Committee and made recommendations regarding proposed salary, equity awards and bonus amounts for our officers (other than themselves). The Compensation Committee exercises its discretion in accepting, rejecting and/or modifying any such executive compensation recommendations and approves all compensation and equity awards.
Use of Competitive Data
To assess the competitiveness of our executive compensation program and compensation levels, our
Compensation Committee, with the assistance of Aon, examines the competitive compensation data for senior
executives of our peer companies.
The Compensation Committee uses the peer group to reference recent market data and understand the
marketplace. However, the Compensation Committee also recognizes the importance of flexibility and considers
other factors as well, such as individual performance, experience, internal equity, history and scope of responsibility,
current market conditions and the specific needs of the business at critical points in time.
Consideration of Compensation Risk
Our pay-for-performance philosophy and compensation governance practices provide an appropriate framework to our executives to achieve our strategic goals without encouraging them to take excessive risks in their business decisions.
On an annual basis, the Compensation Committee conducts a thorough risk assessment of the Company’s compensation programs and practices to analyze whether they encourage employees to take excessive or inappropriate risks. To help with this assessment, Aon provides a detailed review of the Company’s compensation program and associated risks. The assessment focuses on the following areas of the Company’s practices and policies:
•Total direct compensation and benchmarking (level of pay and approach to setting pay)
•Annual incentive plan risk
•Equity plan risk
•Change-in-control policies
•Investor risk and other policies
29
After completing this review, the Compensation Committee concluded the Company’s compensation programs are, on balance, consistent with market practice and do not present excessive or inappropriate risks to the Company.
2024 Peer Group
For our 2024 Peer Group, the Compensation Committee conducted its regular review of companies similar to us with respect to sector and market capitalization, as well as revenue and headcount, to provide a broad perspective on competitive pay levels and practices.
•Sector – Health care equipment and health care supplies companies; along with biotechnology companies to broaden our market perspective.
•Market Capitalization – 1/3x to 4x Axogen’s market capitalization. Axogen's market capitalization as of September 31, 2023, during the 2024 peer group selection process, was $215 million. The 1/3x to 4x range is $71 million to $860 million, respectively.
•Revenue – 1/3x to 4x Axogen’s projected revenue. Revenue for 2024 was expected to be between $177 million and $181 million, during the 2024 peer group selection process. The 1/3x to 4x range is between $59 million and $724 million, respectively.
•Headcount – 1/3x to 4x Axogen’s projected headcount.
On September 13, 2023, the Compensation Committee, with the assistance of Aon, evaluated the appropriateness of the continued inclusion of each company in our 2024 peer group. Using the criteria listed above, our Compensation Committee removed two companies from the 2023 peer group: Cardiovascular Systems and SeaSpine, and added the following two companies: Cerus and OrthoPediatrics for a total of eighteen companies that comprise the Company's 2024 Peer Group:
| Alphatec | Cutera | Silk Road Medical | ||||||
AngioDynamics |
Glaukos |
STAAR Surgical Company |
||||||
| Artivion | iRhythm Technologies |
Tactile Systems Technology |
||||||
AtriCure |
OrthoPediatrics | Treace Medical Concepts | ||||||
Bioventus |
Paragon 28 | Vericel | ||||||
| Cerus | SI-BONE |
Zynex | ||||||
EXECUTIVE COMPENSATION PROGRAM COMPONENTS
The key elements of our executive compensation packages are base salary, annual cash incentives, and long-term equity-based awards. Our Compensation Committee believes that a combination of these elements offers the best approach to achieving our compensation goals, including attracting and retaining talented executives and motivating our executives and other officers to expend maximum effort to achieve our strategic business goals, including the creation of long-term, sustainable growth of shareholder value.
The Company’s CEO is involved in the design and implementation of our executive compensation and is typically present at Compensation Committee meetings, except that the CEO is not present during any voting or deliberations on his or her compensation. In 2024, our former CEO reviewed the analysis and recommendations of Aon with the Compensation Committee and made recommendations regarding proposed salary, equity awards and bonus for our officers (other than herself). The Compensation Committee exercises its discretion in accepting, rejecting and/or modifying any such executive compensation recommendations and approves all compensation and equity awards.
The following describes each component of our executive compensation program, the rationale for each component and how compensation amounts and awards were determined for 2024 compensation.
30
Base Salaries
Base salary represents the fixed portion of our executive officers’ compensation, which we view as an important element to attract, retain and motivate highly talented executives by rewarding the individual value that each executive officer brings to us through experience and past and expected future contributions to our success.
The Compensation Committee annually reviews the base salaries of our executive team with input from our CEO, CFO and HR (other than with respect to their own base salary). In addition to this input, for each executive officer, the Compensation Committee considers:
•The individual’s role and responsibilities;
•Individual contribution and performance over the past year;
•Overall experience and expertise;
•Prior base salary;
•Corporate performance; and
•Salaries for similar positions within our industry.
Base salaries were adjusted as follows for our NEOs in 2024:
| Executive | 2023 Base Salary ($) | 2024 Base Salary ($) | % Change | ||||||||
Michael Dale (1)
|
— | 765,000 | N/M | ||||||||
| Nir Naor | 475,000 | 475,140 | — | % | |||||||
| Marc Began | 410,000 | 423,919 | 3.4 | % | |||||||
| Jens Kemp | 360,000 | 374,419 | 4.0 | % | |||||||
Erick DeVinney (2)
|
348,000 | 400,318 | 15.0 | % | |||||||
Karen Zaderej (3)
|
700,000 | 728,000 | 4.0 | % | |||||||
(1) Mr. Dale joined the Company on August 9, 2024 as President and CEO.
(2) Mr. DeVinney received a 10.6% increase in base pay for his promotion from Vice President of Peripheral Nerve Science to Chief Innovation Officer effective January 1, 2024, in addition to his merit adjustment for 2024.
(3) Ms. Zaderej departed from her position as President and CEO on August 8, 2024 and will depart from the Company as an employee on May 8, 2025.
2024 Annual Cash Incentives
We provide our executive officers with the opportunity to annually earn cash incentives to encourage the achievement of corporate and individual objectives and to reward those individuals who significantly impact our corporate results.
On February 19, 2024, our Compensation Committee approved, and our Board ratified, our performance-based bonus award plan for 2024 (the “2024 Annual Cash Incentive”). Under this plan, each executive officer was eligible to receive an annual cash bonus based on the extent to which Axogen achieved certain key corporate objectives during the 2024 fiscal year relating to revenue, year-end cash balance and significant operational goals. In addition to significant corporate objectives, the 2024 Annual Cash Incentive included a BLA supplement goal based on the extent to which Axogen achieved certain milestones supporting strategic BLA innovation initiatives. The parameters and certain details associated with the operational goals are provided in the footnotes to the table below. However, due to their strategic significance, we are not disclosing the exact details of the operational goals, as such detailed disclosure would cause future competitive harm to the Company and may inform our competitors of the trends within our business to our detriment.
31
Total bonus payouts were capped at 200% of target for the achievement of the corporate objectives. If the minimum total revenue threshold or minimum cash target were not achieved, the total bonus payout was capped at 80%, inclusive of corporate objective and supplemental bonus goals.
The Compensation Committee approved these performance goals for the 2024 Annual Cash Incentive because, in its view, they were closely linked to the successful execution of our annual operating plan and because achieving the target level of success in the corporate objectives would require a focused and consistent effort by our executive officers throughout the 2024 fiscal year.
Individual bonuses paid, if any, are calculated by multiplying the executive’s annual base salary by the calculated earned percentage of target bonus amount. The earned percentage of target bonus amount is calculated using the target bonus percentage and percentage achievement of the corporate goals, which may be measured by reference to pre-established goals with respect to the metrics, weighting and the ultimate achievement, as summarized below.
| Metrics | Minimum Threshold | Minimum % of Target Bonus | Target Threshold | Target % of Bonus | Maximum Threshold | Maximum % of Target Bonus | Performance Achieved | Earned % of Target Bonus | ||||||||||||||||||
| Revenues | $174M; 9.4% growth | 20% | $180M; 13.2% growth | 40% | $198M; 124.5% growth | (1) |
$187.3M; 17.8% growth |
56.5% | ||||||||||||||||||
Year-end cash balance |
$30M | 20% | $34M | 40% | $42M | (1) |
$39.5M | 67.0% | ||||||||||||||||||
| Protection category revenue growth | $4.1M | 5% | $5.6M | 10% | $8.7M | (1) |
$9.9M | 24.1% | ||||||||||||||||||
| Product and Quality Systems Management Goal Achievement | (2) |
5% | (2) |
10% | (2) |
20% | (2) |
20.0% | ||||||||||||||||||
| BLA supplemental | (3) |
—% | (3) |
—% | (3) |
20% | (3) |
—% | ||||||||||||||||||
| Total | 50% | 100% | 200% | 167.6% | ||||||||||||||||||||||
(1) Maximum % of target bonus for this metric was not capped but the total bonus payout was capped.
(2) Our product and quality management system is a key priority and is regularly reviewed by the FDA and other regulatory bodies through a series of audits of our various operating sites. These agencies can provide a series of comments to the Company as a result of their audits that range from minor observations of potential improvements to more serious observations of non-compliance. Our product and quality system management goal was established with a target payout of 10% and a potential payout range of 0% to 20%, based upon the nature and extent of all audit observations. The Company earned the maximum payout of 20% in 2024 based upon the outcomes of all regulatory audits.
(3) Supplemental goal with milestones supporting strategic BLA innovation initiatives. The net payout earned for this goal was 0%.
32
For our NEOs, a total of 167.6% of targeted bonus amounts were earned in 2024. Annual cash incentives earned were as follows:
| Executive | Base Salary for Purposes of Bonus ($) | Target Bonus % | Target Bonus 2024 ($) | 2024 Actual Bonus Paid ($) | ||||||||||
Michael Dale (1)
|
303,163 | 100% | 303,163 | 509,493 | ||||||||||
| Nir Naor | 475,140 | 60% | 285,084 | 477,801 | ||||||||||
| Marc Began | 423,919 | 60% | 254,351 | 426,293 | ||||||||||
| Jens Kemp | 374,419 | 60% | 224,651 | 376,496 | ||||||||||
| Erick DeVinney | 400,318 | 50% | 200,159 | 335,467 | ||||||||||
Karen Zaderej (2)
|
439,585 | 100% | 439,585 | 735,420 | ||||||||||
(1) Mr. Dale joined the Company on August 9, 2024 as President and CEO.
(2) Ms. Zaderej departed from her position as President and CEO on August 8, 2024 and will depart from the Company as an employee on May 8, 2025. Ms. Zaderej's base salary for purposes of bonus included her 2024 base pay up to the date she departed as President and CEO. During Ms. Zaderej's term as senior advisor, from August 9, 2024 through May 8, 2025, her salary is not eligible for annual cash incentives.
Equity Compensation
We use equity awards to motivate and reward our executive officers, to encourage long-term corporate performance based on the value of our common stock and to align the interests of our executive officers with those of our shareholders. We firmly believe that a large percentage of an executive’s compensation package should be at-risk and linked to performance.
Annually, we evaluate performance in the first quarter of each year to allow for completion of the calendar year and give us the ability to review full-year performance of the previous year.
We typically utilize the following mix of equity awards as the long-term incentive component of their compensation packages:
•Performance share units
◦PSUs are granted subject to achievement of certain performance milestones, which are generally measured over a three-years performance period or upon the achievement of milestones, and vest subject to specific terms as documented in the PSU agreement and approved by the Compensation Committee.
•Restricted share units
◦Vesting occurs over four years from the date of grant, typically with 50% vesting after 24 months and an additional 25% vesting on the third and fourth anniversaries of the grant date.
•Stock options
◦All shares underlying the options will be fully vested four years from the option grant date, with 50% of the aggregate shares vesting 24 months from the option grant date and an additional 12.5% of aggregate shares vest every six months thereafter.
2024 Equity Grants
Our Compensation Committee strives to balance various long-term incentive vehicles to provide an appropriate balance of performance-based and time-vesting awards. In February 2024, the Compensation Committee approved, and the Board of Directors ratified, our annual equity award grants to our executive officers as part of their 2024 pay packages. Consistent with historical practice, the award to our CEO was greater than 50% performance-based to assure strong alignment with long-term operational goals and stock performance. In 2024, the awards to Messrs.
33
Dale, Began, and Kemp were 100% performance-based, the awards to Mr. DeVinney were 76% performance-based, and the awards to Mr. Naor were 100% time-vesting. Our former CEO, Ms. Zaderej, received no equity awards in 2024. See the section entitled "Key Compensation Decisions and Outcomes in 2024" of the CD&A for additional details.
The 2024 equity grants to our NEOs consisted of:
| Executive |
No. of TSR PSUs (1)
|
No. of BLA PSUs (2)
|
No. of RSUs | No. of Stock Options | ||||||||||
Michael Dale (3)
|
450,000 | 150,000 | — | — | ||||||||||
Nir Naor (4)
|
— | — | 300,000 | — | ||||||||||
| Marc Began | 68,600 | 25,000 | — | — | ||||||||||
| Jens Kemp | 68,600 | 25,000 | — | — | ||||||||||
Erick DeVinney (5)
|
68,600 | 25,000 | 50,000 | — | ||||||||||
Karen Zaderej (6)
|
— | — | — | — | ||||||||||
(1) The number of TSR PSUs are presented at target, actual achievement will pay out between 0% and 200% of target and have a performance period from February 2024 through February 2027.
(2) The number of BLA PSUs are presented at target, actual achievement will pay out between 0% and 100% of target and have a performance period through December 2025.
(3) Mr. Dale joined the Company on August 9, 2024 as President and CEO. All equity awards granted to Mr. Dale are intended to qualify as an employment inducement grant under Nasdaq Listing Rule 5635(c)(4).
(4) Mr. Naor was granted inducement RSUs in 2024 as part of his employment agreement executed in December 2023. Shares representing one-third of the RSUs will vest on the one-year anniversary of the grant date and shares representing one-sixth of the RSUs will vest on each six-month anniversary thereafter.
(5) Mr. DeVinney was awarded RSUs in 2024 as part of his promotion from Vice President of Peripheral Nerve Science to Chief Innovation Officer effective January 1, 2024, in additional to the annual grant comprised of the TSR PSUs and BLA PSUs. RSUs will vest over four-years with 50% vesting 24 months from the option grant date and an additional 12.5% vesting every six months thereafter.
(6) Ms. Zaderej departed from her position as President and CEO on August 8, 2024 and will depart from the Company as an employee on May 8, 2025. Ms. Zaderej received no equity awards in 2024.
Achievement of PSU Grants
PSUs Tied to Company Share Price (TSR PSUs)
During 2024, the Company issued TSR PSU awards to certain employees, including Messrs. Dale, Began, Kemp and DeVinney from our NEO group, tied to the Company's share price targets that will pay out between 0% to 200%. TSR PSUs granted in February 2024 to Messrs. Began, Kemp and DeVinney were initially limited to 100% of target absent the shareholders' approval of the Third Amendment to the A&R 2019 Plan received at the 2024 Shareholders meeting on June 5, 2024. Shareholder approval was granted at the 2024 Shareholders meeting on June 5, 2024 and the target payout was increased to 200%. The payout earned will be determined by the Compensation Committee upon achievement of specific average share prices over a 30-day trading period immediately preceding the end of the performance period of February 22, 2024 through February 22, 2027.
PSUs Tied to the Company's BLA for Avance Nerve Graft (BLA PSUs)
During 2024, the Compensation Committee approved BLA PSU awards to certain employees, including Messrs. Dale, Began, Kemp and DeVinney from our NEO group, related to their work on the BLA for Avance Nerve Graft. In December 2017, December 2018 and December 2019, the Compensation Committee approved BLA PSU awards to certain employees, including Mr. DeVinney from our NEO group, related to their work on the BLA for Avance Nerve Graft. The number of shares available for grant is linked to certain milestones related to the BLA for Avance Nerve Graft submission to and approval by the FDA. BLA PSUs issued in 2024, 2019 and 2017 have
34
performance periods through December 31, 2025. BLA PSUs issued in 2018 have performance periods through January 1, 2025. The performance measure is based upon achieving each of the specific milestones and the awards issued in 2024 have a requisite service period through the date of the milestone achievement but not sooner than one year after the grant date. The awards issued in 2017, 2018 and 2019 vest 50% upon achievement of each of the milestones and 50% one year later.
In September 2024, the Compensation Committee determined that the milestone tied to the submission of the BLA for Avance Nerve Graft was achieved and 10% of the target shares were earned. For the BLA PSU awards granted in 2017, 2018 and 2019, 5% of the target awards (or 50% of the earned awards) vested immediately and 5% will vest in September 2025. For the BLA PSU awards granted in February 2024, 10% of the target awards (or 100% of the earned awards) vested in February 2025. No awards vested or will vest related to the BLA for Avance Nerve Graft submission milestone for BLA PSUs awarded in August 2024 to our CEO, Mr. Dale.
PSUs Tied to Revenue Growth (Revenue PSUs)
In March 2022, the Compensation Committee approved Revenue PSU awards to certain employees, including Ms. Zaderej and Mr. DeVinney from our NEO group. The target number of Revenue PSUs are divided into three tranches, with one-third eligible to vest based on performance with respect to each of calendar years 2022, 2023 and 2024, subject to the CAGR payout factor. The payout ranges from 0% to 150% of target upon achievement of specific annual revenue growth targets of between 10% and 25% during the three-year performance period from 2022 through 2024, excluding the impact of Avive revenue in 2021 on the 2022 annual revenue growth target, with a 100% of target payout set at 15% annual revenue growth. In early 2025, the Compensation Committee determined that 99.2% of the target shares were earned based on actual achievement. The actual number of Revenue PSUs that vest during the performance period is equal to the target number of Revenue PSUs multiplied by the greater of (i) the average of the calendar year payout factors for each of the three calendar years during the performance period and (ii) the three-year CAGR for the performance period.
In February 2023, the Compensation Committee approved Revenue PSU awards to certain employees, including Ms. Zaderej and Messrs. Began, Kemp, and DeVinney from our NEO group. The target number of Revenue PSUs will be divided into three tranches, with one-third eligible to vest based on performance with respect to each of calendar years 2023, 2024 and 2025, subject to the CAGR payout factor. The payout ranges from 0% to 150% of target upon achievement of specific annual revenue growth targets of between 10% and 25% during the three-year performance period from 2023 through 2025, with a 100% of target payout set at 15% annual revenue growth. The award will be earned and vest upon the final determination of the annual revenue growth in 2025 and the CAGR across the three-year period. The actual number of Revenue PSUs that vest during the performance period is determined at the end of the performance period and will equal the target number of Revenue PSUs multiplied by the greater of (i) the average of the calendar year payout factors for each of the three calendar years during the performance period and (ii) the three-year CAGR for the performance period.
The achievements as determined by the Compensation Committee for the Revenue PSUs are as follows:
Revenues (in millions) ($) |
Annual Revenue Growth (%) |
2022 - 2024 Revenue PSU Awards Achievement (%) (1)
|
2023 -2025 Revenue PSU Awards Achievement (%) |
|||||||||||
| 2022 | 138.6 | 12.4 | % | 74.1 | % | NA | ||||||||
| 2023 | 159.1 | 14.8 | % | 97.9 | % | 97.9 | % | |||||||
| 2024 | 187.3 | 17.7 | % | 113.6 | % | 113.6 | % | |||||||
| 2025 | (2) | (2) | NA | (2) | ||||||||||
Average Achievement |
95.2 | % | (2) | |||||||||||
Revenue CAGR |
99.2 | % | (2) | |||||||||||
Payout Achievement |
99.2 | % | (2) | |||||||||||
(1) Calculation for the 2022 - 2024 Revenue PSU awards excludes the impact from sales of Avive in 2021.
(2) Amounts to be determined by the Compensation Committee after completion of the 2023-2025 performance period in early 2026.
35
ADDITIONAL COMPENSATION PRACTICES AND POLICIES
Executive Stock Ownership Guidelines
The Board of Directors has adopted stock ownership guidelines for our executive officers. Under these guidelines, the CEO and each other individual serving as an executive officer must hold a specified dollar value of Axogen’s common stock and the value of unvested RSUs.
| Position | Requirement | ||||
CEO |
3x base salary |
||||
Executive Officers other than the CEO |
1x base salary |
||||
All other Section 16(b) Reporting Officers |
1x base salary |
||||
For the purposes of determining stock ownership levels, the following forms of equity interests are included: shares owned by the executive officer directly or held in trust for the benefit of the executive officer or his or her immediate family members residing in the same household or through trusts and the value of unvested RSUs. The applicable guidelines must be met within the earliest of five years from: (i) joining the Company, (ii) promotion to an officer level (iii) establishment of the guidelines or (iv) five years from February 2022 when our Board of Directors amended the guidelines.
Each of our executive officers as of December 31, 2024 met the required level of ownership under the Stock Ownership Guidelines, except for Mr. Dale, who joined the Company in 2024. Mr. Dale is expected to meet the required level of ownership within the five-year period following his joining the Company. Ms. Zaderej departed her position as President and CEO in August 2024 and will depart from the Company as an employee in May 2025, and, therefore, is no long subject to the executive ownership guidelines.
Inducement Equity Awards
Inducement Plan
In March 2024, the Board of Directors adopted an Inducement Plan and reserved 100,000 shares of common stock for issuance as awards under the plan. Awards under the plan are intended to qualify as an employment inducement grant under Nasdaq Listing Rule 5635(c)(4). 51,300 shares remain available for grant as of April 1, 2025 under this plan.
Inducement Awards to NEOs
Inducement awards granted to our NEOs are intended to qualify as employment inducement grants under Nasdaq Listing Rule 5635(c)(4). Inducement awards to our NEOs consisted of the following:
•1,050,000 shares of common stock for issuance upon the settlement of 1,050,000 PSUs were granted to Mr. Dale, our CEO, to induce him to accept employment with the Company.
•135,000 shares of common stock for issuance upon the settlement of 45,000 RSUs and 90,000 stock options were granted to Mr. Began on March 1, 2023 to induce him to accept employment with the Company.
•90,000 shares of common stock for issuance upon the settlement of 30,000 RSUs and 60,000 stock options were granted to Mr. Kemp on March 1, 2023 to induce him to accept employment by the Company.
36
Anti-Hedging and Pledging Policies
All of our executive officers and members of our Board of Directors are prohibited from entering into hedging or pledging transactions in respect of our common stock or other securities issued by Axogen.
Compensation Recovery Policy
In compliance with SEC and Nasdaq rules, we adopted a policy on September 26, 2023 regarding retroactive adjustments to any cash or equity-based incentive compensation paid to our executive officers and certain other employees where the payments were predicated upon the achievement of financial results that were subsequently the subject of a financial restatement.
Retirement and Other Benefits
Our executive officers are eligible to participate in our tax-qualified Section 401(k) retirement savings plan on the same basis as our other employees. Employees are eligible to participate in the 401(k) plan immediately upon commencing employment, and enrollment is available any time during employment. Participating employees may make annual contributions to their accounts up to a maximum amount as limited by law. The Axogen 401(k) Plan requires the Company to make 100% matching contributions on up to 3% of the employee’s annual salary and 50% matching contributions on up to the next 2% of the employee’s annual salary as long as the employee participates in the 401(k) plan. Both employee contributions and our contributions are fully vested at all times. In 2024, our matching contribution was 3% for the first 3% of compensation contributed and 1% for the next 2% of compensation contributed of each executive officer’s annual base salary. We contributed, on an aggregate basis, approximately $74,800 in matching funds for our NEOs in 2024.
Additional benefits received by our executive officers include medical, dental, vision, short-term disability, long term disability, life and accidental death and dismemberment insurance. These benefits are provided on substantially the same basis as to all our full-time employees.
Historically, we have not provided perquisites or other personal benefits to our executive officers. We do reimburse remote NEOs in the same manner as other remote employees for their travel to and from our facilities per the Company's travel and expense policy. We do not view perquisites or other personal benefits as a component of our executive compensation program. Our future practices with respect to perquisites or other personal benefits will be approved and subject to periodic review by our Compensation Committee.
The Compensation Committee approved a provision to our equity awards granted after March 2022 to certain employees with a title of Vice President and above. This provision generally provides for continued vesting of equity awards after a specified event which is generally defined as the termination of service after attainment of age sixty with at least ten years of continuous service, provided that the employee has provided at least twelve months of advance notice of the retirement date or six months of advance notice for Vice Presidents. As of December 31, 2024, there are NEOs who have been granted award agreements which contain a qualified retirement provision; Michael Dale, Marc Began, Jens Kemp, and Erick DeVinney. Additionally, as of December 31, 2024, our former CEO Ms. Zaderej, former NEO Mr. Donovan and one Vice President met the service, age and notice requirements to be entitled to the qualified retirement provision benefits.
Post-Employment Compensation Arrangements
The employment agreements provide each of our executive officers with certain protection in the event of his or her termination of employment under specified circumstances, including termination of employment following a change-in-control of our Company (i.e. double-trigger payment). We believe that these protections serve our executive retention objectives by helping our NEOs maintain continued focus and dedication to their responsibilities to maximize shareholder value, including in the event that there is a potential transaction that could involve a change-in-control of our Company. The terms of these agreements were determined after review by our Compensation Committee of our retention goals for each executive officer and an analysis of competitive market data.
37
For a summary of the material terms and conditions of these severance and change-in-control arrangements, see the section entitled “Executive Compensation — Potential Payments Upon Termination or Change-in-Control.”
Tax and Accounting Considerations
Taxation of “Parachute” Payments and Deferred Compensation
Sections 280G and 4999 of the Internal Revenue Code provide that executive officers and directors who hold significant equity interests and certain other service providers may be subject to an excise tax if they receive payments or benefits in connection with a change-in-control of our Company that exceed certain prescribed limits, and that we (or a successor) may forfeit a deduction on the amounts subject to this additional tax. Section 409A of the Internal Revenue Code imposes significant additional taxes in the event that an employee, including an executive officer, director, or service provider receives “nonqualified deferred compensation” that does not satisfy the conditions of Section 409A.
We did not provide any executive officer with a “gross-up” or other reimbursement payment for any tax liability that he or she might owe as a result of the application of Sections 280G, 4999 or 409A of the Internal Revenue Code during 2024. We have not agreed and are not otherwise obligated to provide any executive officer with a “gross-up” or other reimbursement under these sections.
Accounting for Stock-Based Compensation
We follow the Financial Accounting Standards Board Accounting Standards Codification Topic 718 ("ASC 718") for our stock-based compensation awards. ASC 718 requires companies to calculate the grant date fair value of their stock-based awards using a variety of assumptions. This calculation is performed for accounting purposes and reported in the compensation tables that accompany this CD&A, even though recipients may never realize any value from their awards. ASC 718 also requires companies to recognize the compensation cost of their stock-based awards in their statements of operations over the period that the recipient of the award is required to render service in exchange for the award.
38
COMPENSATION COMMITTEE REPORT
The Compensation Committee has reviewed and discussed with management the CD&A required by SEC regulations. Based on its review and discussions, the Compensation Committee recommended to the Board that the CD&A be included in this Proxy Statement.
Submitted by:
The Compensation Committee of the Board of Directors
Amy Wendell (Chairman)
Alan M. Levine
John Johnson
Guido Neels
39
Summary Compensation Table
The following table sets forth the compensation for the years 2024, 2023 and 2022 for our NEOs.
| Name and Principal Position | Year | Salary ($) |
Stock Awards ($)(1)
|
Option Awards ($)(1)
|
Non-Equity Incentive Plan Compensation ($)(2)
|
All Other Compensation ($)(9)
|
Total ($) | |||||||||||||||||||||||||||||||
Michael Dale (3)
|
2024 | 303,163 | 8,025,000 | — | 509,493 | 10,266 | 8,847,922 | |||||||||||||||||||||||||||||||
| CEO and President | 2023 | — | — | — | — | — | — | |||||||||||||||||||||||||||||||
| 2022 | — | — | — | — | — | — | ||||||||||||||||||||||||||||||||
Nir Naor (4)
|
2024 | 475,140 | 2,073,000 | — | 477,801 | 22,941 | 3,048,882 | |||||||||||||||||||||||||||||||
| CFO | 2023 | 36,438 | — | — | 23,853 | — | 60,291 | |||||||||||||||||||||||||||||||
| 2022 | — | — | — | — | — | — | ||||||||||||||||||||||||||||||||
Marc Began (5)
|
2024 | 423,919 | 973,992 | — | 426,293 | 23,370 | 1,847,574 | |||||||||||||||||||||||||||||||
EVP, GC |
2023 | — | — | — | — | — | — | |||||||||||||||||||||||||||||||
| 2022 | — | — | — | — | — | — | ||||||||||||||||||||||||||||||||
Jens Kemp (5)
|
2024 | 374,419 | 973,992 | — | 376,496 | 21,064 | 1,745,971 | |||||||||||||||||||||||||||||||
| Chief Marketing | 2023 | — | — | — | — | — | — | |||||||||||||||||||||||||||||||
| Officer | 2022 | — | — | — | — | — | — | |||||||||||||||||||||||||||||||
Erick DeVinney (6)
|
2024 | 400,318 | 1,508,492 | — | 335,467 | 22,290 | 2,266,567 | |||||||||||||||||||||||||||||||
| Chief Innovation | 2023 | 348,000 | 631,001 | 316,800 | 189,834 | 20,062 | 1,505,697 | |||||||||||||||||||||||||||||||
| Officer | 2022 | — | — | — | — | — | — | |||||||||||||||||||||||||||||||
Karen Zaderej (7)(8)
|
2024 | 439,585 | — | — | 735,420 | 1,300,622 | 2,475,627 | |||||||||||||||||||||||||||||||
| Former CEO and | 2023 | 700,000 | 3,159,140 | 886,050 | 763,700 | 25,791 | 5,534,681 | |||||||||||||||||||||||||||||||
| President | 2022 | 673,992 | 2,125,120 | 1,420,989 | 161,998 | 16,193 | 4,398,292 | |||||||||||||||||||||||||||||||
(1)Stock award and option award amounts are calculated based on the aggregate grant date fair value computed in accordance with ASC 718. For information regarding assumptions underlying the valuation of such, see Note 11 of the Consolidated Financial Statements in our 2024 Annual Report filed on February 26, 2025.
(2)Bonuses were earned in the respective year and paid in March of the following year after final Compensation Committee approval.
(3)Mr. Dale was appointed President and CEO on August 9, 2024; therefore, no compensation information has been provided for 2023 and 2022.
(4)Mr. Naor was appointed CFO on December 4, 2023; therefore, no compensation information has been provided for 2022.
(5)Mr. Began and Mr. Kemp qualified as NEOs for 2024, however, they did not qualify as a NEO for 2023 and 2022; therefore, no compensation information has been provided for 2023 and 2022.
(6)Mr. DeVinney qualified as a NEO for 2024 and 2023, however, he did not qualify as a NEO for 2022; therefore, no compensation information has been provided for 2022.
(7) Ms. Zaderej departed from her position as President and CEO on August 8, 2024, and will depart from the Company as an employee on May 8, 2025.
(8) Stock options issued on March 16, 2022 to Ms. Zaderej were premium priced with an exercise price 25% greater than the closing market price on the date of grant.
40
(9) All other compensation, as summarized in the following table for 2024:
Name |
401(k) Company Match ($) |
Life Insurance Premiums ($) |
Severance ($) | Senior Advisory Wages ($) |
Total
($)
|
||||||||||||
| Michael Dale | 6,179 | 4,087 | — | — | 10,266 | ||||||||||||
| Nir Naor | 13,420 | 9,521 | — | — | 22,941 | ||||||||||||
| Marc Began | 13,800 | 9,570 | — | — | 23,370 | ||||||||||||
| Jens Kemp | 13,800 | 7,264 | — | — | 21,064 | ||||||||||||
| Erick DeVinney | 13,800 | 8,490 | — | — | 22,290 | ||||||||||||
Karen Zaderej (1)(2)
|
13,800 | 12,590 | 374,232 | 900,000 | 1,300,622 | ||||||||||||
(1) Severance includes the following: severance of $296,800, accrued vacation of $42,000 and continuation of health benefits prescribed by the Consolidated Omnibus Budget Reconciliation Act ("COBRA") payments for 18 months of $35,432.
(2) Senior advisory wages include wages from August 9, 2024 through May 8, 2025 per the terms of the Separation Agreement; $112,500 per month for the first six months and $75,000 per month for the three subsequent months.
41
Grants of Plan-Based Awards Table
The following table provides information regarding plan-based awards granted to our NEOs in 2024.
| Name | Grant Date | Estimated Future Payouts Under Non-Equity Incentive Plan Awards | Estimated Future Payouts Under Equity Incentive Plan Awards | All Other Awards: Number of Units |
Market Value on Grant Date ($/Sh) |
Grant Date Fair Value of Awards ($) |
|||||||||||||||||||||||||||||
| Threshold ($) | Target ($) | Maximum ($) | Threshold (#) | Target (#) | Maximum (#) | ||||||||||||||||||||||||||||||
Michael Dale (1)(2)
|
|||||||||||||||||||||||||||||||||||
| PSUs | 8/9/2024 | — | — | — | — | 150,000 | 150,000 | — | 11.02 | 1,653,000 | |||||||||||||||||||||||||
| PSUs | 8/9/2024 | — | — | — | — | 450,000 | 900,000 | — | 11.02 | 6,372,000 | |||||||||||||||||||||||||
| Non-Equity Incentive Plan Awards | — | 303,163 | 606,326 | — | — | — | — | — | — | ||||||||||||||||||||||||||
Nir Naor (2)(3)
|
|||||||||||||||||||||||||||||||||||
| RSUs | 1/1/2024 | — | — | — | — | — | — | 300,000 | 6.91 | 2,073,000 | |||||||||||||||||||||||||
| Non-Equity Incentive Plan Awards | — | 285,084 | 570,168 | — | — | — | — | — | — | ||||||||||||||||||||||||||
| Marc Began | |||||||||||||||||||||||||||||||||||
PSUs (4)
|
2/22/2024 | — | — | — | — | 68,600 | 68,600 | — | 10.23 | 508,326 | |||||||||||||||||||||||||
| PSUs | 2/22/2024 | — | — | — | — | 25,000 | 25,000 | — | 10.23 | 255,750 | |||||||||||||||||||||||||
PSUs (4)
|
6/5/2024 | — | — | — | — | — | 68,600 | — | 7.00 | 209,916 | |||||||||||||||||||||||||
| Non-Equity Incentive Plan Awards | — | 254,351 | 508,703 | — | — | — | — | — | — | ||||||||||||||||||||||||||
| Jens Kemp | |||||||||||||||||||||||||||||||||||
PSUs (4)
|
2/22/2024 | — | — | — | — | 68,600 | 68,600 | — | 10.23 | 508,326 | |||||||||||||||||||||||||
| PSUs | 2/22/2024 | — | — | — | — | 25,000 | 25,000 | — | 10.23 | 255,750 | |||||||||||||||||||||||||
PSUs (4)
|
6/5/2024 | — | — | — | — | — | 68,600 | — | 7.00 | 209,916 | |||||||||||||||||||||||||
| Non-Equity Incentive Plan Awards | — | 224,651 | 449,303 | — | — | — | — | — | — | ||||||||||||||||||||||||||
| Erick DeVinney | |||||||||||||||||||||||||||||||||||
PSUs (4)
|
2/22/2024 | — | — | — | — | 68,600 | 68,600 | — | 10.23 | 508,326 | |||||||||||||||||||||||||
| PSUs | 2/22/2024 | — | — | — | — | 25,000 | 25,000 | — | 10.23 | 255,750 | |||||||||||||||||||||||||
PSUs (4)
|
6/5/2024 | — | — | — | — | — | 68,600 | — | 7.00 | 209,916 | |||||||||||||||||||||||||
| RSUs | 3/1/2024 | — | — | — | — | — | — | 50,000 | 10.69 | 534,500 | |||||||||||||||||||||||||
| Non-Equity Incentive Plan Awards | — | 200,159 | 400,318 | — | — | — | — | — | — | ||||||||||||||||||||||||||
Karen Zaderej (5)
|
|||||||||||||||||||||||||||||||||||
| Non-Equity Incentive Plan Awards | — | 439,585 | 879,169 | — | — | — | — | — | — | ||||||||||||||||||||||||||
(1) Mr. Dale was appointed President and CEO on August 9, 2024.
(2) All PSUs and RSUs awarded to Mr. Dale and Mr. Naor are intended to qualify as inducement shares in accordance with Nasdaq Listing 5636(c)(4).
(3) RSUs awarded to Mr. Naor vest over three years with one-third upon the first anniversary of the grant date and one-sixth every six months thereafter.
(4) Award has a payout range of 0% to 200%, limited to 100% of target as of the February 22, 2024 grant date until shareholder approval of the A&R 2019 Plan was received on June 5, 2025. The award dated February 22, 2024 represents a 0% to 100% payout and the June 5, 2024 award represents the over 100% to 200% payout.
(5) Ms. Zaderej departed from her position as President and CEO on August 8, 2024 and will depart from the Company as an employee on May 8, 2025.
42
Outstanding Equity Awards as of December 31, 2024
The following table summarizes the equity awards granted to our NEOs that remain outstanding as of December 31, 2024.
| Option Awards | Stock Awards | ||||||||||||||||||||||||||||
| Equity Incentive Plan Awards: | |||||||||||||||||||||||||||||
| Name Grant Date |
Number of Securities Underlying Unexercised Options Exercisable(1)
|
Number of Securities Underlying Unexercised Options Unexercisable( 1)
|
Option Exercise Price ($) | Option Expiration Date |
Number of Shares or Units of Stock That Have Not Vested (2)
|
Market Value of Shares or Units of Stock That Have Not Vested ($) (3)
|
Number of Unearned Shares, Units or Other Rights That Have Not Vested (2)
|
Payout Value of Unearned Shares, Units or Other Rights That Have Not Vested ($) (3)
|
|||||||||||||||||||||
| Michael Dale | |||||||||||||||||||||||||||||
8/9/2024(4)
|
— | — | — | NA | — | — | 150,000 | 2,472,000 | |||||||||||||||||||||
8/9/2024(4)
|
— | — | — | NA | — | — | 450,000 | 7,416,000 | |||||||||||||||||||||
| Nir Naor | |||||||||||||||||||||||||||||
1/1/2024(4)
|
— | — | — | NA | 300,000 | 4,944,000 | — | — | |||||||||||||||||||||
| Marc Began | |||||||||||||||||||||||||||||
3/1/2023(4)
|
— | 90,000 | 8.16 | 3/01/2033 | 45,000 | 741,600 | — | — | |||||||||||||||||||||
| 3/16/2023 | — | — | — | NA | — | — | 30,000 | 494,400 | |||||||||||||||||||||
2/22/2024(5)
|
— | — | — | NA | — | — | 68,600 | 1,130,528 | |||||||||||||||||||||
| 2/22/2024 | — | — | — | NA | — | — | 25,000 | 412,000 | |||||||||||||||||||||
6/5/2024(5)
|
— | — | — | NA | — | — | 68,600 | — | |||||||||||||||||||||
Jens Kemp (4)
|
|||||||||||||||||||||||||||||
3/1/2023(4)
|
— | 60,000 | 8.16 | 3/01/2033 | 30,000 | 494,400 | — | — | |||||||||||||||||||||
| 3/16/2023 | — | — | — | NA | — | — | 45,000 | 741,600 | |||||||||||||||||||||
2/22/2024(5)
|
— | — | — | NA | — | — | 68,600 | 1,130,528 | |||||||||||||||||||||
| 2/22/2024 | — | — | — | NA | — | — | 25,000 | 412,000 | |||||||||||||||||||||
6/5/2024(5)
|
— | — | — | NA | — | — | 68,600 | — | |||||||||||||||||||||
| Erick DeVinney | |||||||||||||||||||||||||||||
| 12/29/2016 | 50,000 | — | 8.95 | 12/29/2026 | — | — | — | — | |||||||||||||||||||||
| 12/18/2017 | 13,900 | — | 27.00 | 12/18/2027 | — | — | 47,500 | 782,800 | |||||||||||||||||||||
| 12/27/2018 | 11,900 | — | 19.17 | 12/27/2028 | — | — | — | — | |||||||||||||||||||||
| 3/16/2020 | 24,000 | — | 8.61 | 3/16/2030 | — | — | — | — | |||||||||||||||||||||
| 3/16/2021 | 20,562 | 2,938 | 20.91 | 3/16/2031 | 2,950 | 48,616 | — | — | |||||||||||||||||||||
| 3/16/2022 | 14,836 | 8,902 | 8.20 | 3/16/2032 | 12,725 | 209,708 | 24,799 | 408,688 | |||||||||||||||||||||
| 3/16/2023 | — | 64,000 | 8.27 | 3/16/2033 | 46,300 | 763,024 | 30,000 | 494,400 | |||||||||||||||||||||
2/22/2024(5)
|
— | — | — | NA | — | — | 68,600 | 1,130,528 | |||||||||||||||||||||
| 2/22/2024 | — | — | — | NA | — | — | 25,000 | 412,000 | |||||||||||||||||||||
| 3/01/2024 | — | — | — | NA | 50,000 | 824,000 | — | — | |||||||||||||||||||||
6/5/2024(5)
|
— | — | — | NA | — | — | 68,600 | — | |||||||||||||||||||||
Karen Zaderej (6)(7)
|
|||||||||||||||||||||||||||||
| 12/29/2016 | 157,125 | — | 8.95 | 12/29/2026 | — | — | — | — | |||||||||||||||||||||
| 12/18/2017 | 75,000 | — | 27.00 | 12/28/2027 | — | — | — | — | |||||||||||||||||||||
| 12/27/2018 | 59,700 | — | 19.17 | 12/27/2028 | — | — | — | — | |||||||||||||||||||||
| 3/16/2020 | 80,200 | — | 8.61 | 3/16/2030 | — | — | — | — | |||||||||||||||||||||
| 3/16/2021 | 57,450 | — | 20.91 | 3/16/2031 | — | — | — | — | |||||||||||||||||||||
| 3/16/2022 | 158,592 | 158,593 | 10.25 | 3/16/2032 | 84,847 | 1,398,279 | 88,750 | 1,462,600 | |||||||||||||||||||||
| 3/16/2023 | — | 179,000 | 8.27 | 3/16/2033 | 112,000 | 1,845,760 | 270,000 | 4,449,600 | |||||||||||||||||||||
(1)Stock options are fully vested four years from the option grant date based upon a vesting schedule whereby 50% of the aggregate shares vest on the second anniversary of the option grant date with an additional 12.5% of aggregate shares
43
vesting every six months thereafter. Prior to 2017, the options granted were based upon a vesting schedule whereby 25% of the aggregate shares vested on the first anniversary of the option grant date with an additional 12.5% of aggregate shares vesting every six months thereafter.
(2)Unvested shares and units are comprised of (i) PSUs granted in 2017, 2022, 2023 and 2024 and (ii) RSUs granted in March 2021, March 2022, March 2023, January 2024 and March 2024. The vesting terms for each type of award are described below:
a.PSUs - Each PSU represents the Company’s commitment to issue shares of common stock at a future date, subject to certain eligibility, performance, vesting and other conditions set forth in the respective plan and award agreement. All shares are subject to satisfaction of certain performance criteria. Upon determination by the Compensation Committee that the performance criteria was achieved, shares are immediately vested, provided that the particular officer has been continuously employed through each vesting date as to the particular number of shares vesting or has meet the conditions for a qualified retirement. In the event of a “Change-in-Control” (as defined in the respective award agreement), the vesting of all or a portion of the PSUs shall accelerate.
b.RSUs - Each RSU represents the Company’s commitment to issue one share of common stock at a future date, subject to certain eligibility, vesting and other conditions set forth in the respective plan and award agreement. All shares of Axogen common stock underlying the RSUs will be fully vested on the fourth anniversary of the grant date, based upon a vesting schedule whereby 50% of the aggregate shares vest on the second anniversary of the grant date and an additional 25% of the aggregate shares vest each 12 months thereafter. In the event of a “Change-in-Control” (as defined in the award agreement), the vesting of all of the RSUs shall accelerate and the RSUs become fully vested.
(3)The market value of unvested shares and units is based on the closing price of our common stock on the last day of 2024, which was $16.48 and with respect to PSUs, assumes target performance.
(4)Shares are intended to qualify as inducement shares in accordance with Nasdaq Listing 5636(c)(4).
(5)Award has a payout range of 0% to 200%, limited to 100% of target as of the February 22, 2024 grant date until shareholder approval of the third A&R 2019 Plan on June 5, 2025. The award dated February 22, 2024 represents a 0% to 100% payout and the June 5, 2024 award represents the over 100% to 200% payout.
(6)Stock options issued on March 16, 2022 to Ms. Zaderej were premium-priced with an exercise price 25% greater than the closing market price on the date of grant.
(7)As of December 31, 2024, there were no stock awards outstanding for Ms. Zaderej with grant dates prior to 2022 as all unvested stock awards were forfeited due to her departure from her position as CEO of the Company in August 2024. Ms. Zaderej met the conditions for a qualified retirement under each respective stock award, RSU and PSU agreement and the awards will continue to vest. Ms. Zaderej has until the earlier of the expiration of the option or 90 days after the last day of the senior advisory period to exercise the vested stock options with grant dates prior to 2022 and has until the earlier of the expiration of the option or 3 years after her last day as CEO to exercise the vested stock options granted in 2022 and 2023.
Option Exercises and Vested Stock
The following table provides information regarding the exercise of stock options by our NEOs and vesting of stock awards held by our NEOs during 2024.
| Option Awards | Stock Awards | |||||||||||||||||||||||||
| Number of Shares Acquired on Exercise (#) |
Value Realized on Exercise ($) (1)
|
Shares Acquired on Vesting (#) |
Value Realized on Vesting ($) (1)
|
|||||||||||||||||||||||
| Michael Dale | — | — | — | — | ||||||||||||||||||||||
| Nir Naor | — | — | — | — | ||||||||||||||||||||||
| Marc Began | — | — | — | — | ||||||||||||||||||||||
| Jens Kemp | — | — | — | — | ||||||||||||||||||||||
| Erick DeVinney | — | — | 21,175 | 178,459 | ||||||||||||||||||||||
| Karen Zaderej | — | — | 110,322 | 850,583 | ||||||||||||||||||||||
(1)Based upon the closing price as reported by Nasdaq of our Common Stock at the exercise date or vesting date, as applicable.
44
Potential Payments Upon Termination or Change-in-Control
In this section, we describe payments that may be made to our NEOs upon several events of termination, including termination in connection with a change-in-control.
Employment Agreements
Axogen Corporation, a wholly-owned subsidiary of the Company, is a party to employment agreements with each of (i) Michael Dale, effective August 9, 2024; (ii) Nir Naor, effective December 4, 2023; (iii) Marc Began, effective February 27, 2023, as amended February 27, 2024; (iv) Jens Kemp, effective February 13, 2023, as amended and restated on February 27, 2024; (v) Erick DeVinney, effective April 25, 2009 as further amended and restated November 1, 2020, as superseded on February 27, 2024, and as amended February 27, 2024 and (vi) Karen Zaderej, effective October 15, 2007, as amended September 29, 2011 and as further amended and restated on November 1, 2020. Ms. Zaderej departed from her position as President and CEO of the Company on August 8, 2024. Ms. Zaderej is providing transition services under her Transition and Separation Agreement effective January 4, 2024.
Under Mr. Naor’s employment agreement, Mr. Naor is employed by Axogen Corporation on an “at-will" basis. The employment agreement also provides that Mr. Naor’s initial term is through March 31, 2025 (the “Initial Term”). Following the Initial Term, Mr. Naor has continued on an "at-will" basis.
Under their respective employment agreements, Messrs. Dale, Began, Kemp and DeVinney are employed by Axogen Corporation on an “at will” basis.
Pursuant to their employment agreements in effect as of December 31, 2024, in the event Messrs. Dale, Began, Kemp or DeVinney are terminated without substantial cause upon or within 365 days following a change-in-control (or 90 days preceding a change-in-control), or for good reason following a change-in-control, each is entitled to: (i) a separation payment of twenty-four months of base salary paid in a lump sum within 60 days; (ii) an amount equal to 200% of their target bonus for the year in which the termination occurs; (iii) payment of premiums for themselves and covered dependents’ COBRA for the first twenty-four months of the COBRA continuation period; and (iv) only applicable for Mr. Dale, accelerated vesting of all time-based equity awards.
Pursuant to their respective employment agreements in effect as of December 31, 2024, in the event Messrs. Dale, Began, Kemp or DeVinney are terminated in the absence of a change-in-control, each will receive, among other things, (i) a separation payment of fifteen months base salary paid in a lump sum within 60 days; (ii) an amount equal to 125% of their target bonus for the year in which the termination occurs; and (iii) payment of premiums for themselves and covered dependents’ COBRA for the first fifteen months of the COBRA continuation period or until such time as they obtain new employment that provides reasonable and comparable healthcare coverage (including without limitation, coverage of dependents), whichever period is shorter.
For purposes of each of Messrs. Dale, Began, Kemp and DeVinney's employment agreements in effect as of December 31, 2024, “change-in-control” means the occurrence of any of the following events:
•if any person who holds less than 20% of the combined voting power of the securities of Axogen, becomes the beneficial owner, directly or indirectly, of securities of Axogen, representing 50% or more of the combined voting power of the securities of Axogen then outstanding;
•during any period of 24 consecutive months, if individuals who at the beginning of such period constitute all members of the Board of Directors cease, for any reason, to constitute at least a majority of our Board of Directors, unless the election of each director who was not a director at the beginning of the period was either nominated for election by, or was approved by a vote of, at least two-thirds of the directors then still in office who were directors at the beginning of the period;
•if Axogen Corporation or Axogen consolidates or merges with another company and Axogen Corporation or Axogen is not the continuing or surviving corporation; provided, however, that any consolidation or merger whereby Axogen continues as the majority holder of Axogen Corporation securities or a merger or consolidation of Axogen Corporation and Axogen will not constitute a change-in-control;
45
•if shares of Axogen Corporation’s or Axogen’s common stock are converted into cash, securities, or other property (other than by a merger set forth above) in which the holders of Axogen Corporation’s or Axogen’s common stock immediately prior to the merger have the same proportionate ownership of common stock of the surviving corporation as immediately after the merger;
•if Axogen Corporation or Axogen sells, leases, exchanges, or otherwise transfers all or substantially all of its assets (in one transaction or in a series of related transactions); or
•if the holders of Axogen’s common stock approve a plan or proposal for the liquidation or dissolution of Axogen Corporation or Axogen.
The employment agreements in effect as of December 31, 2024 of Messrs. Dale, Began, Kemp and DeVinney do not provide for any gross-up payments for any tax liability that he might owe as a result of the application of Sections 280G of the Internal Revenue Code.
For purposes of Messrs. Dale, Began, Kemp and DeVinney's employment agreements in effect as of December 31, 2024, “substantial cause” means:
•Commission of any act of fraud, theft, or embezzlement;
•material breach of the employment agreement, provided that Axogen Corporation shall have first delivered to the executive officer written notice of the alleged breach, specifying the exact nature of the breach in detail, and provided, further, that the executive officer shall have failed to cure or substantially mitigate such breach within ten days after receiving such written notice;
•material failure to adhere to Axogen Corporation’s corporate codes, policies or procedures which have been adopted in good faith for a valid business purpose as in effect from time to time;
•the failure to meet reasonable performance standards as determined by Axogen Corporation; or
•commission or conviction of any felony, or of any misdemeanor involving moral turpitude, or entry of a plea of guilty or nolo contendere to any felony or misdemeanor.
For purposes of Messrs. Dale, Began, Kemp and DeVinney's employment agreements in effect as of December 31, 2024, “good reason” means the occurrence of any one or more of the following:
•The assignment of any duties inconsistent in any respect with such executive officer’s position (including status, offices, titles, and reporting requirements), authorities, duties, or other responsibilities as in effect immediately prior to a change-in-control or any other action by Axogen that results in a material diminishment in such position, authority, duties, or responsibilities, other than an insubstantial and inadvertent action which is remedied by Axogen after receipt of notice thereof given by the executive officer;
•a material reduction by Axogen Corporation in the person’s base salary absent substantial cause; or
•the executive is required to perform a substantial portion of their duties at a facility that is more than fifty miles from the facility for which the executive performed a substantial portion of his or her duties immediately prior to the change-in-control.
Transition and Separation Agreement - Karen Zaderej
The Company and Karen Zaderej entered into a Transition and Separation Agreement in January 2024 in connection with her anticipated retirement from her CEO position by no later than January 2025 (the “Zaderej Separation Agreement”). The Zaderej Separation Agreement provides for the following:
•if Ms. Zaderej is terminated without substantial cause prior to March 31, 2024, her term will be treated as extending through March 31, 2024 for purposes of her 2023 annual bonus and vesting of her equity awards;
•if Ms. Zaderej is terminated without substantial cause prior to January 4, 2025, she will receive a lump sum payment of her base salary and accrued paid time off through January 4, 2025;
•Ms. Zaderej will be entitled to her 2023 bonus and a prorated 2024 bonus;
46
•a payment of premiums for her COBRA for whichever period is shorter of the (i) first eighteen months of the COBRA continuation period, (ii) until such time as she obtains new employment that provides healthcare coverage, or (iii) until she is no longer eligible for coverage through COBRA; and
•for nine months following termination of her service as the CEO, Ms. Zaderej will provide consulting services to the Company and will be compensated $112,500 per month for the first six months and $75,000 per month for the final three months.
Ms. Zaderej departed from her role as CEO on August 8, 2024 and for nine months following, Ms. Zaderej will provide senior advisor services as an employee to the Company through May 8, 2025. As of December 31, 2024, under the terms of the Zaderej Separation Agreement, Ms. Zaderej is not entitled to potential payment upon termination or change-in-control under her employment agreement as amended and restated on November 1, 2020 and is entitled to the following:
•her prorated 2024 bonus to be paid in March 2025;
•if Ms. Zaderej is terminated without substantial cause prior to May 8, 2025, she will receive a lump sum payment equal to her senior advisor wages through May 8, 2025;
•a payment of premiums for her COBRA for whichever period is shorter of (i) the first eighteen months of the COBRA continuation period, (ii) until such time as she obtains new employment that provides healthcare coverage, or (iii) until she is no longer eligible for coverage through COBRA; and
•qualified retirement benefits pursuant to equity award agreements under which qualified retirement is contemplated.
The benefits under the separation agreement are intended to fall within the separation pay exception to Internal Revenue Code Section 409A.
2024 Potential Payments Upon Termination or Change-in-Control
In connection with a termination of employment, including if there is a termination in connection with a change-in-control of the Company, our NEOs would be eligible to receive certain payments, benefits and treatment of the various forms of equity that such NEO holds (provided, in some cases, that certain conditions are met).
The amounts that the NEOs would receive are set forth below based on the termination scenarios discussed above.
In accordance with SEC rules, we have used certain assumptions in determining the amounts shown. We have assumed that the termination of employment or change-in-control occurred on December 31, 2024, and that the value of a share of common stock on that day was $16.48, the closing price on Nasdaq on December 31, 2024, the last trading day of 2024.
Contractual provisions relating to cash severance are set forth above under “Employment Agreements.” With respect to the treatment of outstanding equity awards upon a termination or change-in-control, the treatment is as follows: (i) for terminations not in connection with a change-in-control, unvested stock options, RSUs and PSUs do not accelerate and are forfeited, (ii) upon a change-in-control, unless assumed, continued or substituted (and in the case of stock options issued under our 2010 stock incentive plan, in the event that within twelve months following the change-in-control, the employee is terminated without substantial cause or leaves the Company for good reason), stock options shall automatically accelerate and, become fully exercisable and (iii) upon a change-in-control (unless it was issued under our A&R 2019 Plan and was assumed, continued or substituted), RSUs become fully-vested and nonforfeitable upon the change-in-control; and PSUs (unless it was issued under our A&R 2019 Plan and was assumed, continued or substituted), prior to the end of the applicable performance period, become fully vested upon a change-in-control based on the greater of: (i) target performance or (ii) the expected performance as determined by the Compensation Committee. Amounts shown in the tables below for PSUs are based on target performance. All PSUs earned but not vested will vest immediately prior to the consummation of the change-in-control. Amounts shown under stock options, RSUs and PSUs reflect the value based upon the December 31, 2024, stock price of $16.48 for the option, RSU or PSU as to which vesting will be accelerated upon the occurrence of the change-in-control or termination event.
47
| Michael Dale | ||||||||||||||||||||||||||
| Qualified | Qualified | Upon | ||||||||||||||||||||||||
| Termination | Termination | Change-in- |
||||||||||||||||||||||||
| Prior to | After | Control | Upon |
|||||||||||||||||||||||
Change-in- |
Change-in- |
Without | Qualified |
|||||||||||||||||||||||
| Payment Type | Control ($) | Control ($) | Termination ($) | Retirement ($) |
||||||||||||||||||||||
| Severance | 1,348,785 | 2,158,056 | — | — | ||||||||||||||||||||||
| Health and Welfare Benefits | 38,428 | 51,237 | — | — | ||||||||||||||||||||||
Stock Options (1)
|
— | — | — | — | ||||||||||||||||||||||
RSUs (1)
|
— | — | — | — | ||||||||||||||||||||||
PSUs (2)
|
— | 9,888,000 | 9,888,000 | — | ||||||||||||||||||||||
| Total | 1,387,213 | 12,097,293 | 9,888,000 | — | ||||||||||||||||||||||
(1) All outstanding time-based equity awards vest upon a termination in connection with a change-in-control as per his employment agreement.
(2) Pursuant to the form of the award agreement, PSUs fully vest upon a change-in-control.
| Nir Naor | ||||||||||||||||||||||||||
| Qualified | Qualified | Upon | ||||||||||||||||||||||||
| Termination | Termination | Change-in- |
||||||||||||||||||||||||
| Prior to | After | Control | Upon |
|||||||||||||||||||||||
Change-in- |
Change-in- |
Without | Qualified |
|||||||||||||||||||||||
| Payment Type | Control ($) | Control ($) | Termination ($) | Retirement ($) | ||||||||||||||||||||||
| Severance | 408,109 | 408,109 | — | — | ||||||||||||||||||||||
| Health and Welfare Benefits | 7,014 | 7,014 | — | — | ||||||||||||||||||||||
RSUs (1)(2)
|
1,648,000 | 4,944,000 | — | — | ||||||||||||||||||||||
| Total | 2,063,123 | 5,359,123 | — | — | ||||||||||||||||||||||
(1) Pursuant to the employment agreement terms, any RSUs that would have vested prior to March 31, 2025 would vest upon a qualified termination prior to a change-in-control.
(2) Pursuant to the form of the award agreement, certain awards are subject to double-trigger vesting.
| Marc Began | ||||||||||||||||||||||||||
| Qualified | Qualified | Upon | ||||||||||||||||||||||||
| Termination | Termination | Change-in- |
||||||||||||||||||||||||
| Prior to | After | Control | Upon |
|||||||||||||||||||||||
Change-in- |
Change-in- |
Without | Qualified |
|||||||||||||||||||||||
| Payment Type | Control ($) | Control ($) | Termination ($) | Retirement ($) |
||||||||||||||||||||||
| Severance | 866,752 | 1,386,803 | — | — | ||||||||||||||||||||||
| Health and Welfare Benefits | 35,071 | 56,113 | — | — | ||||||||||||||||||||||
Stock Options (1)
|
— | 748,800 | — | — | ||||||||||||||||||||||
RSUs (1)
|
— | 741,600 | — | — | ||||||||||||||||||||||
PSUs (2)
|
— | 3,167,456 | 3,167,456 | — | ||||||||||||||||||||||
| Total | 901,823 | 6,100,772 | 3,167,456 | — | ||||||||||||||||||||||
(1) Pursuant to the form of the award agreement, certain awards are subject to double-trigger vesting.
(2) Pursuant to the form of the award agreement, PSUs fully vest upon a change-in-control.
48
| Jens Kemp | ||||||||||||||||||||||||||
| Qualified | Qualified | Upon | ||||||||||||||||||||||||
| Termination | Termination | Change-in- |
||||||||||||||||||||||||
| Prior to | After | Control | Upon |
|||||||||||||||||||||||
Change-in- |
Change-in- |
Without | Qualified |
|||||||||||||||||||||||
| Payment Type | Control ($) | Control ($) | Termination ($) | Retirement ($) | ||||||||||||||||||||||
| Severance | 774,820 | 1,239,712 | — | — | ||||||||||||||||||||||
| Health and Welfare Benefits | 34,003 | 54,405 | — | — | ||||||||||||||||||||||
Stock Options (1)
|
— | 499,200 | — | — | ||||||||||||||||||||||
RSUs (1)
|
— | 494,400 | — | — | ||||||||||||||||||||||
PSUs (2)
|
— | 3,414,656 | 3,414,656 | — | ||||||||||||||||||||||
| Total | 808,823 | 5,702,373 | 3,414,656 | — | ||||||||||||||||||||||
(1) Pursuant to the form of the award agreement, certain awards are subject to double-trigger vesting.
(2) Pursuant to the form of the award agreement, PSUs fully vest upon a change-in-control.
| Erick DeVinney | ||||||||||||||||||||||||||
| Qualified | Qualified | Upon | ||||||||||||||||||||||||
| Termination | Termination | Change-in- |
||||||||||||||||||||||||
| Prior to | After | Control | Upon |
|||||||||||||||||||||||
Change-in- |
Change-in- |
Without | Qualified |
|||||||||||||||||||||||
| Payment Type | Control ($) | Control ($) | Termination ($) | Retirement ($) | ||||||||||||||||||||||
Severance |
768,458 | 1,229,533 | — | — | ||||||||||||||||||||||
| Health and Welfare Benefits | 40,316 | 64,506 | — | — | ||||||||||||||||||||||
Stock Options (1)
|
— | 599,149 | — | — | ||||||||||||||||||||||
RSUs (1)
|
— | 1,845,348 | — | — | ||||||||||||||||||||||
PSUs (2)
|
— | 4,403,456 | 4,403,456 | — | ||||||||||||||||||||||
| Total | 808,774 | 8,141,992 | 4,403,456 | — | ||||||||||||||||||||||
(1) Pursuant to the form of the award agreement, certain awards are subject to double-trigger vesting.
(2) Pursuant to the form of the award agreement, PSUs fully vest upon a change-in-control.
Karen Zaderej |
||||||||||||||||||||||||||
| Qualified | Qualified | Upon | ||||||||||||||||||||||||
| Termination | Termination | Change-in- |
||||||||||||||||||||||||
| Prior to | After | Control | Upon |
|||||||||||||||||||||||
Change-in- |
Change-in- |
Without | Qualified |
|||||||||||||||||||||||
| Payment Type | Control ($) | Control ($) | Termination ($) |
Retirement (1) ($)
|
||||||||||||||||||||||
Severance (2)
|
809,746 | 809,746 | — | — | ||||||||||||||||||||||
| Health and Welfare Benefits | 35,432 | 35,432 | — | — | ||||||||||||||||||||||
Stock Options (3)
|
— | 2,457,624 | — | 2,457,624 | ||||||||||||||||||||||
RSUs (3)
|
— | 3,244,039 | — | 3,244,039 | ||||||||||||||||||||||
PSUs (4)
|
— | 5,924,016 | 5,924,016 | 5,924,016 | ||||||||||||||||||||||
| Total | 845,178 | 12,470,857 | 5,924,016 | 11,625,679 | ||||||||||||||||||||||
(1) Upon a qualified retirement, stock options granted in 2022 and 2023 continue to vest for up to three years, RSUs continue to vest and PSUs will be earned based on actual performance.
(2) Consists of $370,161 in employee advisor fees and $439,585 of 2024 bonus.
(3) All outstanding time-based equity awards vest upon a termination in connection with a change-in-control as per her employment agreement.
(4) Pursuant to the form of the award agreement, PSUs fully vest upon a change-in-control.
49
CEO Pay Ratio Disclosure
As required by the Dodd-Frank Wall Street Reform and Consumer Protection Act ("the “Dodd-Frank Act”) and Regulation S-K promulgated under the Exchange Act, we are providing the following information about the relationship of the annual total compensation of our CEO and the annual total compensation of our employees for fiscal year 2024 (our “CEO pay ratio”). Our CEO pay ratio information is a reasonably good faith estimate calculated in a manner consistent with Item 402(u) of Regulation S-K. Due to our executive transition in 2024, for purposes of the pay ratio calculation, we annualized the compensation of Mr. Dale, our current CEO. Mr. Dale's annualized 2024 compensation is based on the following:
Salary: an annualized salary of $765,000, which is based on his CEO-level salary rate.
Annual Incentive: an annual award of $1,282,140, which is calculated based on Mr. Dale's target bonus times the bonus payout (167.6%) he would have received had he been at the Company the entire year.
Long-Term Incentive: the full value of his long-term incentive awards granted in 2024.
All Other Compensation: as reported in the Summary Compensation Table.
For fiscal year 2024, the annual total compensation for the median employee of the Company (other than our CEO) was $96,901 and the annual total compensation of our CEO for purposes of the pay ratio was $10,082,406. Based on this information, for fiscal year 2024, the ratio of the annual total compensation of our CEO to the annual total compensation of the median employee was 104:1.
We identified our median employee from among our employees as of December 31, 2024. We did not use the same median employee used in our disclosure for the year ended December 31, 2023 due to a change in the make-up of our employees as a whole. We felt it to be a more accurate representation and better metric for purposes of this disclosure to use a new median employee, identified based on estimated annual base pay, incentive compensation and grant date fair value of equity granted to our employees as of December 31, 2024. We then calculated the elements of the identified median employee’s compensation for 2024 in accordance with the requirements of Item 402(c)(2)(x) of Regulation S-K, resulting in annual total compensation in the amount of $96,901. We did not make any cost-of-living adjustments in identifying the median employee. Compensation amounts were determined from our human resources and payroll systems of record.
PAY VERSUS PERFORMANCE
As required by Section 953(a) of the Dodd-Frank Act and Item 402(v) of Regulation S-K, the following disclosure (the “Pay Versus Performance Disclosure”) describes the relationship between executive compensation and the Company’s performance with respect to select financial measures. The Compensation Committee did not consider the Pay Versus Performance Disclosure below in making its pay decisions for any of the years shown. For a complete description regarding the Company’s compensation program, please see “Compensation Discussion and Analysis.”
50
Summary Compensation Total (in thousands) |
Compensation Actually Paid (in thousands) |
Value of Initial Fixed $100 Investment Based on: (4)
|
Revenue Growth (%) (5)
|
|||||||||||||||||||||||||||||
| Year |
PEO 1 ($) (1)
|
PEO 2 ($) (1)
|
Average of Non-PEO NEOs ($) (1)
|
PEO 1 ($) (1)(2)(3)
|
PEO 2 ($) (1)(2)(3)
|
Average of Non-PEO NEOs ($) (1)(2)(3)
|
TSR ($) | Peer Group TSR ($) | Net Loss (in thousands) ($) | |||||||||||||||||||||||
| 2024 | ( |
% | ||||||||||||||||||||||||||||||
| 2023 | — | — | ( |
% | ||||||||||||||||||||||||||||
| 2022 | — | — | ( |
% | ||||||||||||||||||||||||||||
| 2021 | — | — | ( |
% | ||||||||||||||||||||||||||||
| 2020 | — | — | ( |
% | ||||||||||||||||||||||||||||
(1) Karen Zaderej ("PEO 1") was the Company's Principal Executive Officer ("PEO") for each of the years presented until August 8, 2024. Michael Dale ("PEO 2") assumed the role as the current PEO on August 8, 2024. The Non-PEO NEOs for each of the years presented are as follows:
| 2020 | 2021 | 2022 | 2023 | 2024 | ||||||||||
| Peter Mariani | Peter Mariani | Peter Mariani | Nir Naor | Nir Naor | ||||||||||
| Bradley Ottinger | Maria Martinez | Bradly Ottinger | Erick DeVinney | Erick DeVinney | ||||||||||
| Angelo Scopelianos | Angelo Scopelianos | Angelo Scopelianos | Angelo Scopelianos | Marc Began | ||||||||||
| Eric Sandberg | Eric Sandberg | Michael Donovan | Michael Donovan | Jens Kemp | ||||||||||
| Eric Sandberg | Peter Mariani | |||||||||||||
(2) The amounts shown for Compensation Actually Paid have been calculated in accordance with Item 402(v) of Regulation S-K and do not reflect compensation actually earned, realized, or received by the Company’s PEOs and NEOs. These amounts reflect the Summary Compensation Table Total with certain adjustments as described in Note (3) below.
(3) Compensation Actually Paid reflects the exclusions and inclusions of certain amounts for the PEOs and the Non-PEO NEOs as set forth below. Equity values are calculated in accordance with ASC 718. Amounts in the Exclusion of Stock Awards and Option Awards column are the totals from the Stock Awards and Option Awards columns set forth in the Summary Compensation Table.
| Year | NEOs | Summary Compensation Total (in thousands) ($) |
Exclusion of Stock Awards and Option Awards (in thousands) ($) |
Inclusion of Equity Values (in thousands) ($) (a)
|
Compensation Actually Paid (in thousands) ($) | ||||||||||||
| 2024 | PEO 1 | ||||||||||||||||
| PEO 2 | ( |
||||||||||||||||
| Average of Non-PEO NEOs | ( |
||||||||||||||||
| 2023 | PEO 1 | ( |
|||||||||||||||
| Average of Non-PEO NEOs | ( |
( |
|||||||||||||||
| 2022 | PEO 1 | ( |
|||||||||||||||
| Average of Non-PEO NEOs | ( |
||||||||||||||||
| 2021 | PEO 1 | ( |
( |
||||||||||||||
| Average of Non-PEO NEOs | ( |
( |
|||||||||||||||
| 2020 | PEO 1 | ( |
|||||||||||||||
| Average of Non-PEO NEOs | ( |
||||||||||||||||
51
(a) The amounts in the Inclusion of Equity Values column are derived from the amounts set forth in the following table:
Year-End Fair Value of Equity Awards Granted During the Year that Remained Unvested as of Last Day of the Year ($) |
Change in Fair Value from Last Day of Prior Year to Last Day of Year of Unvested Awards ($) | Change in Fair Value from Last Day of Prior Year to Vesting Date of Unvested Equity Awards that Vested During the Year ($) | Fair Value at Last Day of Prior Year of Equity Awards Forfeited During the Year of Non-PEO NEOs ($) | Total ($) | ||||||||||||||||
| Year | NEOs | (in thousands) |
||||||||||||||||||
| 2024 | PEO 1 | ( |
||||||||||||||||||
| PEO 2 | ||||||||||||||||||||
| Average of Non-PEO NEOs | ||||||||||||||||||||
| 2023 | PEO 1 | ( |
( |
|||||||||||||||||
| Average of Non-PEO NEOs | ( |
( |
( |
( |
||||||||||||||||
| 2022 | PEO 1 | ( |
||||||||||||||||||
| Average of Non-PEO NEOs | ( |
( |
||||||||||||||||||
| 2021 | PEO 1 | ( |
( |
( |
||||||||||||||||
| Average of Non-PEO NEOs | ( |
( |
( |
|||||||||||||||||
| 2020 | PEO 1 | ( |
( |
|||||||||||||||||
| Average of Non-PEO NEOs | ( |
( |
||||||||||||||||||
(4) The Peer Group TSR set forth in this table uses the Nasdaq Biotechnology Index, which we use in the stock performance graph required by Item 201(e) of Regulation S-K included in our 2024 Annual Report. The comparison assumes $100 was invested for the period starting December 31, 2019 through December 31, 2024 in the Company and in the Nasdaq Biotechnology Index. Historical stock performance is not necessarily indicative of future performance.
(5) Revenue Growth was determined to be the most important financial performance measure in 2024, 2023 and 2020 used to link Company performance to Compensation Actually Paid to our PEOs and Non-PEO NEOs. We may determine a different financial performance measure to be the most important financial performance measure in future years. Adjusted Revenue Growth was determined to be the most important financial performance measure in 2022 and 2021. We define Adjusted Revenue Growth as the annual growth of our total revenues excluding revenues from our Avive product, the market availability of which we voluntarily suspended in June 2021.
52
Description of Relationship Between Compensation Actually Paid, Company TSR and Peer Group TSR
The following chart sets forth the relationship between Compensation Actually Paid to our PEOs, the average of Compensation Actually Paid to our Non-PEO NEOs and the Company’s cumulative TSR over the five most recently completed fiscal years. The chart also compares the Company's TSR to that of the Peer Group over the same period.

53
Description of Relationship Between Compensation Actually Paid and Net Loss
The following chart sets forth the relationship between Compensation Actually Paid to our PEOs, the average of Compensation Actually Paid to our Non-PEO NEOs and our Net Loss during the five most recently completed fiscal years.

54
Description of Relationship Between Compensation Actually Paid and Revenue Growth
The following chart sets forth the relationship between Compensation Actually Paid to our PEOs, the average of Compensation Actually Paid to our Non-PEO NEOs and our Revenue Growth during the five most recently completed fiscal years.

Tabular List of Most Important Financial Performance Measures
The following table presents the financial performance measures that the Company considers having been the most important in linking Compensation Actually Paid to our PEOs and Non-PEO NEOs for 2024 to Company performance. The list below is not ranked.
| 2024 Most Important Performance Measures | ||
55
DIRECTOR COMPENSATION
Our Compensation Committee reviews and makes recommendations to our Board of Directors regarding compensation to be paid to our non-employee directors.
Each non-employee director receives a quarterly cash retainer and additional cash retainers for the committees they serve on, which is paid in advance each quarter. The following table provides the quarterly cash retainer amounts by board member position during the years 2024 and 2025:
2024 (1) ($)
|
2025 ($) |
|||||||
Board Member |
12,500 | 12,500 | ||||||
Chairman (2)
|
— | — | ||||||
Lead Independent Director (3)
|
10,000 | — | ||||||
Audit Committee Chairman |
5,000 | 5,000 | ||||||
Audit Committee Member |
2,500 | 2,500 | ||||||
Compensation Committee Chairman |
3,750 | 3,750 | ||||||
Compensation Committee Member |
1,875 | 1,875 | ||||||
Governance, Nominating and Sustainability Committee Chairman |
2,500 | 2,500 | ||||||
Governance, Nominating and Sustainability Committee Member |
1,250 | 1,250 | ||||||
Quality, Compliance and Portfolio Committee Chairman |
2,500 | 2,500 | ||||||
Quality, Compliance and Portfolio Committee Member |
1,250 | 1,250 | ||||||
(1) No changes to quarterly cash retainer amounts were made from 2023 to 2024.
(2) Until August 8, 2024, the former CEO was also Chairman. Following the appointment of Mr. Dale as CEO, our Board believed it was in the best interest of the shareholders to appoint Mr. Thomas as Chairman due to his experience as the former CEO of LifeCell Corporation. We believe Mr. Thomas's former operational experience will be an asset to Mr. Dale during his transition.
(3) Following the appointment of Mr. Thomas as Chairman and his independence from the Company, the Board no longer needed a Lead Independent Director.
Each non-employee director on the day after election or re-election to the Board of Directors receives an equity award(s). The following table provides the equity awards to directors during the years 2023, 2024 and 2025:
2023 ($) |
2024 ($) |
2025 ($) |
|||||||||
Reelected Board Member (1)
|
150,000 | 150,000 | 150,000 | ||||||||
Newly Elected Board Member (2)
|
250,000 | 250,000 | 250,000 | ||||||||
Chairman (3)
|
— | 50,000 | 50,000 | ||||||||
(1) During 2023 and 2024, on the day after election or re-election, all non-employee directors received an annual equity grant valued at $150,000, issued at an exercise price equal to the fair market value of our shares of common stock on the date of the grant, which equity was issued as to one half of the value as a non-qualified stock option grant and the remaining half of the value as RSUs, which options and RSUs vest one year from the anniversary date of the grant. Such stock options are for a term of ten years.
Beginning in 2025, each calendar year on the day after election or re-election, all non-employee directors will receive an annual equity grant valued at $150,000, to be issued at an exercise price equal to the fair market value of our shares of common stock on the date of the grant, as RSUs, which will vest one year from the anniversary date of the grant.
56
(2) Newly elected directors receive a non-qualified stock option grant to purchase shares of the Company’s common stock with an equity value of approximately $275,000 to be issued at an exercise price equal to the fair market value of our shares of common stock on the date of grant, which option shall vest in three equal annual installments.
(3) Each calendar year on the day after election or re-election, the non-employee Chairman of the Board will receive an annual equity grant valued at $50,000, to be issued at an exercise price equal to the fair market value of our shares of common stock on the date of the grant, which equity shall be issued as RSUs, which will vest one year from the anniversary date of the grant.
We also reimburse our directors for travel related expenses.
The following table sets forth information concerning the compensation of our non-employee directors during the year ended December 31, 2024. Mr. Dale is an executive officer who does not receive additional compensation for his service as a director, and, therefore, is not included in the table below.
| Fees Earned | Stock | All Other | ||||||||||||||||||||||||||||||
| or Paid in | Awards | Option | Compensation | |||||||||||||||||||||||||||||
| Name | Cash ($) |
($) (1)
|
Awards ($) (1)
|
($) (2)
|
Total ($) | |||||||||||||||||||||||||||
| Paul Thomas | 62,065 | 116,084 | 74,999 | — | 253,148 | |||||||||||||||||||||||||||
| William Burke | 71,997 | 75,000 | 74,999 | — | 221,996 | |||||||||||||||||||||||||||
| John H. Johnson | 67,500 | 75,000 | 74,999 | — | 217,499 | |||||||||||||||||||||||||||
Alan M. Levine |
67,500 | 75,000 | 74,999 | — | 217,499 | |||||||||||||||||||||||||||
| Guido Neels | 67,500 | 75,000 | 74,999 | — | 217,499 | |||||||||||||||||||||||||||
| Joseph Tyndall | 56,997 | 75,000 | 74,999 | — | 206,996 | |||||||||||||||||||||||||||
| Kathy Weiler | 60,014 | 75,000 | 74,999 | — | 210,013 | |||||||||||||||||||||||||||
| Amy Wendell | 109,008 | 75,000 | 74,999 | — | 259,007 | |||||||||||||||||||||||||||
Greg Freitag (3)
|
27,500 | — | — | — | 27,500 | |||||||||||||||||||||||||||
(1) The amounts in this column are calculated based on the aggregate grant date fair value computed in accordance with ASC 718 as of December 31, 2024. For information regarding assumptions underlying the valuation of equity awards, see Note 11 of the Consolidated Financial Statements in our 2024 Annual Report, filed on February 26, 2025.
(2) All other compensation includes amounts paid to the director for non-director services.
(3) Mr. Freitag did not stand for re-election and departed the Board of Directors at the 2024 Annual Shareholder meeting on June 5, 2024.
57
REPORT OF THE AUDIT COMMITTEE
The Audit Committee of our Board of Directors is currently composed of the following directors: William Burke, Alan M. Levine and Amy Wendell, all of whom qualify as an “audit committee financial expert” under the definition promulgated by the SEC. Mr. Burke currently serves as the Chairman of the Audit Committee. The Audit Committee operates under a written charter adopted by our Board of Directors. The Audit Committee recommends to our Board of Directors, and submits for shareholder ratification, on the non-binding advisory basis, the appointment of our independent registered public accounting firm.
Management is responsible for the Company’s internal controls and the financial reporting process. Deloitte & Touche LLP is responsible for conducting an audit of our consolidated financial statements and internal controls in accordance with the standards established by the Public Company Accounting Oversight Board (“PCAOB”) and expressing an opinion on the consolidated financial statements and internal controls in accordance with generally accepted accounting principles ("GAAP"). The Audit Committee’s responsibility is to monitor and oversee these processes.
The Audit Committee reports as follows:
1. Management represented to the Audit Committee that the Company’s audited consolidated financial statements were prepared in accordance with GAAP, and the Audit Committee has reviewed and discussed the Company’s audited consolidated financial statements with management and the independent auditors.
2. The Audit Committee has discussed with the independent auditors the matters required to be discussed by the applicable requirements of the PCAOB and the SEC.
3. The Audit Committee has received written disclosure and a letter from the independent accountant required by applicable requirements of the PCAOB regarding the independent accountant’s communications with the Audit Committee regarding the independent accountant’s independence and the Audit Committee concerning independence. The Audit Committee also considered whether non-audit services provided by the independent accountant during the last fiscal year were compatible with maintaining the independent accountant’s independence.
Based upon the review and discussion referred to in paragraphs 1 through 3 above, the Audit Committee recommended to our Board of Directors that the Company’s audited consolidated financial statements be included in the Company’s Annual Report on Form 10-K for the year ended December 31, 2024, filed with the SEC.
| Members of the Audit Committee of the Board of Directors: | |||||
| William Burke, Chairman | |||||
Alan M. Levine |
|||||
| Amy Wendell | |||||
58
PROPOSAL 2 – RATIFICATION OF APPOINTMENT OF INDEPENDENT REGISTERED PUBLIC ACCOUNTING FIRM
Our Board of Directors, based upon the recommendation of our Audit Committee, has appointed Deloitte & Touche LLP as our independent registered public accounting firm to conduct the audit of our financial statements and internal controls for the current year ending December 31, 2024. Deloitte & Touche LLP has no relationship with us other than that arising from their employment as our independent registered public accounting firm.
Independent Registered Public Accounting Firm
Fees
Deloitte & Touche LLP provided audit services to us and has served as our independent registered public accounting firm since March 2018. Fees for professional services provided by our independent auditors in each of the last two fiscal years, in each of the following categories are provided in the table below. Our Audit Committee has approved, pursuant to its pre-approval policies described below, all of the services listed below.
| Deloitte & Touche LLP | ||||||||||||||
| 2024 | 2023 | |||||||||||||
Audit Fees (1)
|
$ | 784,568 | $ | 743,487 | ||||||||||
Audit-Related Fees (2)
|
50,000 | 30,000 | ||||||||||||
| Total Fees | $ | 834,568 | $ | 773,487 | ||||||||||
(1) Audit Fees consists of fees billed for professional services rendered and expenses incurred relating to the audit of our financial statements and internal control over financial reporting and the review of our interim financial statements.
(2) Audit-Related Fees consist of fees billed for the work performed in connection with our registration statements.
Our Audit Committee reviews and pre-approves the performance of all audit and non-audit accounting services to be performed by our independent registered accounting firm, other than with respect to de minimis exceptions permitted under applicable rules and regulations. All audit and audit-related services provided by Deloitte & Touche LLP during 2024 and 2023 were pre-approved by our Audit Committee.
Information Regarding Independent Registered Public Accounting Firm
The shareholders are being asked to ratify the appointment of Deloitte & Touche LLP as the Company’s independent registered public accounting firm for the year ending December 31, 2025. This Proposal 2 is a non-binding proposal, and although ratification is not required by law or our Amended and Restated Bylaws, we are submitting the appointment of Deloitte & Touche LLP to serve as our independent registered public accounting firm for the year ending December 31, 2025, for ratification as a matter of good corporate governance. In the event of a negative vote on such ratification, the Audit Committee may reconsider its selection. Even if this appointment is ratified, the Audit Committee, in its discretion, may direct the appointment of a different independent registered public accounting firm at any time during the year if the Audit Committee determines that such a change would be in the best interests of the Company and its shareholders.
Representatives of Deloitte & Touche LLP will be present at the Meeting, will have an opportunity to make a statement if they desire to do so and will be available to respond to appropriate questions from shareholders.
THE BOARD OF DIRECTORS RECOMMENDS THAT YOU VOTE “FOR” THE RATIFICATION OF DELOITTE & TOUCHE LLP AS OUR INDEPENDENT REGISTERED PUBLIC ACCOUNTING FIRM FOR THE YEAR ENDING DECEMBER 31, 2025, WHICH IS DESIGNATED AS PROPOSAL NO. 2.
59
PROPOSAL 3 – NON-BINDING ADVISORY VOTE ON NAMED EXECUTIVE OFFICER COMPENSATION
We are providing our shareholders with an opportunity to vote to approve, on an advisory, non-binding basis, the compensation of our NEOs as disclosed in this Proxy Statement. This proposal, which is often referred to as a “say-on-pay” proposal, is required pursuant to Section 14A of the Exchange Act and by the Dodd-Frank Act. We are currently conducting say-on-pay votes every year and expect to hold the next say-on-pay vote in connection with our 2026 Annual Meeting of Shareholders, subject to the outcome of the vote on Proposal 5. Our shareholders supported the annual frequency of our say-on-pay vote as their preference based on the results of the advisory say-on-pay frequency vote held at our 2019 Annual Meeting.
Our executive compensation program is designed to attract, motivate, and retain our executive officers, who are critical to our success. As described in the tabular and narrative disclosures regarding executive compensation set forth in this Proxy Statement, our executive compensation program contains elements of cash and equity-based compensation. In response to the results of last year's "say-on-pay" proposal, we conducted shareholder engagement and outreach to ensure that our program is aligned with the interests of our shareholders; the results of our shareholder engagement is described in the Shareholder Engagement section of this Proxy Statement. We believe our program is designed to align the interests of our NEOs with those of our shareholders and to reward our NEOs for the achievement of our near-term and longer-term financial and strategic goals.
Our Board of Directors is asking our shareholders to approve a non-binding advisory vote on the following resolution:
RESOLVED, that the compensation paid to our named executive officers, as disclosed in our Proxy Statement for the 2025 Annual Meeting pursuant to the rules of the SEC, including the compensation tables and any other related disclosure, is hereby APPROVED.
THE BOARD OF DIRECTORS RECOMMENDS A VOTE "FOR" THE ADVISORY VOTE TO APPROVE THE COMPENSATION OF THE COMPANY’S NAMED EXECUTIVE OFFICERS, WHICH IS DESIGNATED AS PROPOSAL NO. 3.
60
PROPOSAL 4 - APPROVAL OF THE AXOGEN, INC. FOURTH AMENDED AND RESTATED 2019 LONG-TERM INCENTIVE PLAN
The Axogen, Inc. Amended and Restated 2019 Long-Term Incentive Plan (the "A&R 2019 Plan") was adopted by our Board of Directors on May 20, 2019 and approved by the Axogen shareholders on August 14, 2019. An amendment and restatement of the Axogen Inc. 2019 Long-Term Incentive Plan was adopted by our Board of Directors on March 8, 2021 and approved by the Axogen shareholders on May 10, 2021, a second amendment and restatement of the Axogen Inc. 2019 Long-Term Incentive Plan was adopted by the Board of Directors on March 30, 2022 and approved by our shareholders on May 25, 2022, and a third amendment and restatement of the Axogen Inc. 2019 Long-Term Incentive Plan was adopted by the Board of Directors on March 27, 2024 and approved by our shareholders on June 5, 2024 (the "2019 Plan").
On April 14, 2025, our Board of Directors unanimously approved a fourth amendment and restatement of the 2019 Plan (the “A&R 2019 Plan”) to increase the maximum number of shares of common stock that may be issued under the 2019 Plan from 10,500,000 to 13,400,000. Based upon recent historical data, the 2,900,000 increase would represent approximately one year of grants under the A&R 2019 Plan. There are no other material differences between the 2019 Plan and the A&R 2019 Plan. Our Board of Directors approved the increase in the number of shares reserved and available for issuance under the 2019 Plan, subject to shareholder approval and, accordingly, our Board of Directors directed that the A&R 2019 Plan be submitted to our shareholders for approval at the Meeting.
Current Plan Status
The 2019 Plan currently authorizes 10,500,000 shares as the maximum aggregate number of shares that may be issued to employees, non-employee directors and consultants of Axogen and its subsidiaries who are participating in the 2019 Plan. If the shareholders do not approve the A&R 2019 Plan at the Meeting, the proposed share increase to 13,400,000 in the maximum aggregate number of shares of common stock that may be issued under the 2019 Plan will not occur.
Factors Regarding our Equity Usage and Needs under the A&R 2019 Plan
•Equity is Essential to Talent Acquisition and Retention: A significant focus of our strategic priorities is investing in our people and strengthening our employee value proposition to help us drive better outcomes for our customers, which will in turn help us create value for shareholders. Equity-based compensation is a critical component of our ability to both attract and retain talent in a very competitive industry. Our employees have been critical to our success in delivering continued revenue growth. Axogen’s revenue growth has exceeded 15% on an annualized basis over the last three years and we expect more growth on the horizon. Our ongoing research efforts continue to make strides in improving patient outcomes. With a $5.6 billion addressable market, there are significant opportunities for growth. Our Board of Directors has concluded that our ability to attract, retain and motivate top quality employees, non-employee directors and consultants is important to our success. Our ability to provide employees with market-competitive levels of pay to attract and retain the talent needed to execute the Company’s short- and long-term business strategies would be hampered without our continued ability to make grants under the A&R 2019 Plan. In addition, our Board of Directors believes that our interests and the interests of our shareholders will be advanced if we can continue to offer our employees, non-employee directors and consultants the opportunity to acquire or increase their proprietary interests in us. Our Board of Directors believes that the current number of shares that may be issued under the A&R 2019 Plan is not sufficient in light of our compensation structure and strategy. We expect that because of new hiring, the issuance of grants in March 2025 and other compensation needs prior to the Meeting, there will not be sufficient shares left for anticipated grants over the next year under the A&R 2019 Plan. The Board of Directors believes that additional shares are necessary to meet our anticipated equity compensation needs for the next year. However, a change in business conditions, our strategy, the growth of our businesses, organically and by acquisitions, or equity market performance could alter this projection.
61
•Estimated Equity Usage and Share Pool Duration: Our estimated equity usage and share pool duration is based on a forecast that takes into account our anticipated rate of growth in hiring, an estimated range of our stock price over time and our historical forfeiture rates. In determining the amount of the increase contemplated by the proposed amendment to the A&R 2019 Plan, the Board of Directors has taken into consideration the fact that, as of April 1, 2025 there were 45,513,518 shares of our common stock outstanding. If the shareholders approve the A&R 2019 Plan, the number of shares available for issuance under the A&R 2019 Plan would increase by 2,900,000 to 13,400,000 shares. The requested increase represents approximately 6.36% of the outstanding shares of common stock and the total number of shares available for issuance under the A&R 2019 Plan would represent approximately 29.97% of our common stock.
Historic Use of Equity and Outstanding Awards
Our Compensation Committee takes a thoughtful approach to managing dilution and burn rate usage, by taking into account industry peer usage and market competitiveness levels in approving equity grants throughout the Company as part of our broader human capital management strategy.
2025 Equity Grants
The Compensation Committee approved PSU awards to certain executive officers and other employees on March 25, 2025 with a target of 519,300 shares and performance metrics tied to the Company’s revenue CAGR from 2025 through 2028 and TSR relative to its peers ("CAGR TSR PSUs") with a payout ranging from 0% to 200% upon achievement of specific revenue CAGR and relative TSR goals. The revenue CAGR targets align with the Company's four-year strategic plan from 2025 to 2028 presented at its investor day on March 4, 2025. The CAGR TSR PSUs vest at the end of the three-year period upon Compensation Committee determination of the results at the end of the performance period.
The Compensation Committee also approved 519,300 RSU awards on March 25, 2025 to certain executive officers and other employees. The RSUs vest 50% after 24 months and an additional 25% on the third and fourth anniversaries of the grant date.
The 2025 equity grants under the 2019 Plan to executive officers consisted of the following through April 1, 2025:
Executive |
Number of CAGR TSR PSUs |
Number of RSUs | ||||||
| Michael Dale | 176,300 | 176,300 | ||||||
Nir Naor
|
— | — | ||||||
Marc Began (1)
|
55,000 | 55,000 | ||||||
| Jens Kemp | 38,000 | 38,000 | ||||||
| Erick DeVinney | 38,000 | 38,000 | ||||||
(1) In additional to his annual award, 17,000 CAGR TSR PSUs and 17,000 RSUs were granted to Mr. Began in consideration of his extraordinary efforts in overseeing and implementing various executive management transitions in 2023 and 2024, as well as his ongoing efforts in helping on board Mr. Dale.
62
Burn Rate
The Company calculates burn rates by dividing the number of shares issuable pursuant to granted stock options and RSU awards and vested PSU awards during the fiscal year by the weighted average number of shares outstanding during the period. The historical burn rate and the potential dilution may not be indicative of what the actual amounts are in the future. Without additional shares, we would be at a competitive disadvantage in seeking to retain and to recruit officers and other key employees and directors on whose efforts and skills our future success will depend. The three-year average burn rate for the 2022 through 2024 period was 5.22%.
Our historical burn rates for the years 2022 through 2024 are as follows:
Year |
Stock Options Granted |
RSUs Granted |
Vested PSUs |
Weighted average shares outstanding |
Burn Rate
(%)
|
||||||||||||
| 2024 | 164,684 | 1,010,671 | 9,681 | 44,257,754 | 2.68% | ||||||||||||
| 2023 | 1,393,464 | 1,359,500 | 41,833 | 42,878,543 | 6.52% | ||||||||||||
| 2022 | 1,228,920 | 1,413,755 | 77,671 | 42,083,125 | 6.46% | ||||||||||||
Overhang
As of April 1, 2025, we had 3,341,530 outstanding stock options with a weighted average exercise price of $11.69 and a weighted average remaining term of 1.25 years and full value awards outstanding consisting of 5,164,293 RSUs and PSUs under the A&R 2019 Plan, the Inducement Plan and other inducement awards. Of such outstanding stock options, 627,314 options are "underwater," with exercise prices per share that exceed the closing price of our common stock on April 23, 2025. The 627,314 stock options that are underwater accounted for approximately 16% of our overhang as of April 23, 2025. Despite the substantial number of our outstanding stock options that are underwater, we have not sought approval by our stockholders of an option repricing or exchange program because we believe that the interests of our employees in increasing our stock price should be aligned with the interest of our stockholders in such an increase. As of April 1, 2025, 2,199,501 shares remain available for issuance out of the maximum of 10,500,000 shares currently authorized for issuance under the A&R 2019 Plan and an additional 51,300 shares remain in the inducement pool that may only be granted to new employees of the Company at the time of hiring.
Shareholder approval is being sought to meet the Nasdaq listing requirements applicable to equity plans. The proposed A&R 2019 Plan is attached as Appendix A to this Proxy Statement. The material terms of the A&R 2019 Plan are summarized below. This summary is not intended to be a complete description of the A&R 2019 Plan and is qualified in its entirety by reference to the full text of the A&R 2019 Plan.
Material Features of the A&R 2019 Plan
Administration
Our Compensation Committee of our Board of Directors is the administrator of the A&R 2019 Plan and has plenary authority to grant awards pursuant to the terms of the A&R 2019 Plan to eligible individuals, determine the types of awards and the number of shares covered by the awards, establish the terms and conditions for awards and take all other actions necessary or desirable to carry out the purpose and intent of the A&R 2019 Plan.
63
To that end, the A&R 2019 Plan has several terms that align awards to shareholder interests:
✔ Prohibition on liberal share recycling |
✔ No evergreen features |
||||
✔ One-year minimum vesting requirement on awards |
✔ No tax gross-up on awards |
||||
✔ Prohibition on the payment of dividends on unvested awards |
✔ Material plan amendments require shareholder approval |
||||
✔ Robust clawback policy |
✔ No discounted options |
||||
✔ No repricing of options without shareholder approval |
✔ Double-trigger equity vesting on a change-in- control |
||||
The Compensation Committee or Board of Directors may delegate to other officers and employees, limited authority to perform administrative actions under the A&R 2019 Plan to assist in its administration to the extent permitted by applicable law and stock exchange rules. This delegation of authority, however, may not extend to the exercise of discretion with respect to awards to participants who are “covered employees” within the meaning of Section 16 of the Exchange Act. With respect to any award to which Section 16 of the Exchange Act applies, the administrator shall consist of either our Board of Directors or the Compensation Committee, which committee shall consist of two or more directors, each of whom is intended to be a “non-employee director” as defined in Rule 16b-3 of the Exchange Act and an “independent director” to the extent required by the Nasdaq Stock Market. Any member of the administrator who does not meet the foregoing requirements shall abstain from any decision regarding an award and shall not be considered a member of the administrator to the extent required to comply with Rule 16b-3 of the Exchange Act.
On September 13, 2024, the Compensation Committee adopted a resolution delegating to each of the Company’s CEO, CFO and GC, the authority to grant awards to, and exercise discretion with respect to, individuals who are not Section 16 officers under the Exchange Act (as defined in the A&R 2019 Plan) pursuant to the terms of the forms of agreements under the A&R 2019 Plan, with no further action by the Compensation Committee.
Eligible Participants
Any non-employee director, officer or employee of Axogen, and other individuals providing services to Axogen or any of its affiliates, and who are approved by the Compensation Committee, are eligible to receive an award under the A&R 2019 Plan. As of April 1, 2025, all employees and 8 non-employee directors are eligible to receive grants under the A&R 2019 Plan.
Shares Available for Awards
The aggregate number of shares of Axogen common stock that may be issued under all stock-based awards made under the A&R 2019 Plan currently is 10,500,000 shares. If this Proposal 4 is approved by the Axogen shareholders, the total number of shares authorized for issuance under the A&R 2019 Plan will be 13,400,000 shares. The A&R 2019 Plan includes the following limits:
•no person may be granted any share-based award including stock options or stock appreciation rights denominated in shares which in the aggregate are for more than 1,000,000 shares in any taxable year; and
•no person may be granted cash-based performance units greater than $1,000,000 in any taxable year.
The Compensation Committee will adjust the number of shares and share limits described above in the event of merger, consolidation, stock rights offering, liquidation, statutory share exchange or similar event affecting the Company or a stock dividend, stock split, reverse stock split, separation, spin-off, reorganization, extraordinary dividend of cash or other property, share combination or subdivision, or recapitalization or similar event affecting the capital structure of the Company, to prevent dilution or enlargement of the benefits or potential benefits intended to be provided under the A&R 2019 Plan.
64
Types of Awards and Terms and Conditions
The A&R 2019 Plan permits grants of:
•stock options (including both incentive and nonqualified stock options);
•stock appreciation rights (“SARs”);
•restricted stock and restricted stock units;
•dividend equivalents;
•performance shares and cash-based performance units;
•stock awards; and
•other stock-based and cash awards.
Stock options and SARs must have an exercise price equal to or above the fair market value of our shares of common stock on the date of grant except as provided under applicable law or with respect to stock options and SARs that are granted in substitution of similar types of awards of a company acquired by us or an affiliate or with which we or our affiliate combine (whether in connection with a corporate transaction, such as a merger, combination, consolidation or acquisition of property or stock, or otherwise) to preserve the intrinsic value of such awards. The term of awards may not be longer than ten years from the date of grant.
Stock Options
The holder of a stock option will be entitled to purchase a number of shares of Axogen common stock at a specified exercise price during a specified time period, all as determined by the Compensation Committee. Stock options may be granted in the form of incentive stock options, which are intended to qualify for favorable treatment for the recipient under U.S. federal tax law, or as nonqualified stock options, which do not qualify for this favorable tax treatment. Only employees of the Company or its subsidiaries may receive tax-qualified incentive stock options. The Compensation Committee may establish sub-plans under the A&R 2019 Plan through which to grant stock options that qualify for preferred tax treatment for recipients in jurisdictions outside the United States. As of February 28, 2025, the fair market value of a share of Axogen common stock was $20.01 as reported on the Nasdaq Capital Market.
Stock Appreciation Rights
The holder of a SAR is entitled to receive an amount in cash, shares of our common stock or both equal to the fair market value of the shares subject to the award on the date of exercise minus the exercise price of the award.
Restricted Stock and Restricted Stock Units
The holder of restricted stock will own actual shares of our common stock that are issued to the participant, but that are subject to forfeiture if the participant does not remain employed by us for a certain period of time and/or if certain performance goals are not met. Except for these restrictions and any others imposed by the Compensation Committee, the participant will generally have all of the rights of a shareholder with respect to the restricted stock, including the right to vote the restricted stock, but will not be permitted to sell, assign, transfer, pledge or otherwise encumber shares of restricted stock before the risk of forfeiture lapses. Dividends declared payable on shares of restricted stock that are granted subject to risk of forfeiture conditioned solely on continued service over a period of time or subject to risk of forfeiture conditioned on satisfaction of performance goals will be held by us and made subject to forfeiture at least until the applicable service condition or performance goal related to such shares of restricted stock has been satisfied. An award of RSUs represents a contractual obligation of the Company to deliver a number of shares of our common stock, an amount in cash equal to the fair market value of the specified number of shares subject to the award, or a combination of shares and cash. Until shares of our common stock are issued to the participant in settlement of stock units, the participant will not have any rights of a shareholder of the Company with respect to the stock units or the shares issuable pursuant to the stock units. Vesting of RSUs may be made subject to performance goals, the continued service of the participant or both. The Compensation Committee may provide that dividend equivalents will be paid or credited with respect to RSUs, but such dividend equivalents will be held by us and made subject to forfeiture at least until any applicable performance goal or time-based vesting condition related to the RSUs has been satisfied.
65
Performance Awards
An award of performance shares, as that term is used in the A&R 2019 Plan, refers to shares of our common stock or stock units that are expressed in terms of our common stock, the issuance, vesting, lapse of restrictions or payment of which is contingent on performance as measured against predetermined objectives over a specified performance period. An award of performance units, as that term is used in the A&R 2019 Plan, refers to dollar-denominated units valued by reference to designated criteria established by the Compensation Committee, other than our common stock, whose issuance, vesting, lapse of restrictions or payment is contingent on performance as measured against predetermined objectives over a specified performance period. The applicable award agreement will specify whether performance shares and performance units will be settled or paid in cash or shares of our common stock or a combination of both or will reserve to the Compensation Committee or the participant the right to make that determination prior to or at the payment or settlement date.
The Compensation Committee will, prior to or at the time of grant, condition the grant, vesting or payment of, or lapse of restrictions on, an award of performance shares or performance units upon (i) the attainment of performance goals during a performance period or (ii) the attainment of performance goals and the continued service of the participant. The length of the performance period, the performance goals to be achieved during the performance period, and the measure of whether and to what degree such performance goals have been attained will be conclusively determined by the Compensation Committee in the exercise of its absolute discretion. Performance goals may include minimum, maximum and target levels of performance, with the size of the award or payout of performance shares or performance units or the vesting or lapse of restrictions with respect thereto based on the level attained. An award of performance shares or performance units will be settled when the award vests or at a later time specified in the award agreement or in accordance with an election of the participant, if the Compensation Committee so permits, that meets the requirements of Section 409A of the Internal Revenue Code.
Other Stock-Based and Cash Awards
The Compensation Committee may from time to time grant to eligible individuals awards in the form of other stock-based or cash awards on such terms and conditions as the Compensation Committee may determine, including, without limitation, cash awards in connection with any short-term or long-term cash incentive program established by the Company or an affiliate. Other stock-based or cash awards in the form of dividend equivalents may be settled in cash or common stock as determined by the Compensation Committee; provided, however, that dividend equivalents payable on other stock-based or cash awards will be accrued and made subject to forfeiture at least until achievement of the applicable service condition or performance goal related to such other stock-based or cash awards. Any such settlements, and any such crediting of dividend equivalents, may be subject to such conditions, restrictions and contingencies as the Compensation Committee may establish.
Accounting for Awards
When the 2019 Plan first became effective, 3,000,000 shares of our common stock plus those shares that were available under the Axogen, Inc. 2010 Stock Incentive Plan (Amended and Restated as of April 5, 2017) (the “Prior Plan”) immediately prior to the effective date of the 2019 Plan plus future forfeitures from the Prior Plan were issuable pursuant to awards to be granted under the 2019 Plan (the “Share Pool”). No further awards were granted under the Prior Plan once the 2019 Plan became effective.
The Share Pool will be reduced by one share for each share of our common stock made subject to an award granted under the A&R 2019 Plan. The Share Pool will be increased by the number of unissued shares of our common stock underlying or used as a reference measure for any award or portion of an award granted under the 2019 A&R Plan or the Prior Plan that is cancelled, forfeited, expired, terminated, unearned or settled in cash, in any such case without the issuance of shares. The Share Pool will be increased by the number of shares of our common stock that are forfeited back to us after issuance due to a failure to meet an award contingency or condition with respect to any award or portion of an award granted under the 2019 Plan or the Prior Plan. The Share Pool will not be increased, however, by (i) shares of common stock used as a reference measure for any award that are not issued upon settlement of such award due to a net settlement or (ii) the number of shares of our common stock withheld by
66
or surrendered (either actually or through attestation) to us in payment of the exercise price or any tax withholding obligation that arises in connection with any award granted under the 2019 Plan or the Prior Plan.
Duration, Termination and Amendment
Unless terminated by our Board of Directors, the A&R 2019 Plan will expire on May 19, 2029. No awards may be made after that date. Our Board of Directors may terminate, amend or modify the A&R 2019 Plan, or any portion of it, at any time, although shareholder approval must be obtained for any amendment to the A&R 2019 Plan that would: (i) materially increase the benefits accruing to participants under the A&R 2019 Plan, (ii) increase the number of shares of our common stock which may be issued under the A&R 2019 Plan or to a participant, (iii) materially expand the eligibility for participation in the A&R 2019 Plan, (iv) eliminate or modify the prohibition on repricing of stock options and SARs, (v) lengthen the maximum term or lower the minimum exercise price or base price permitted for stock options and SARs, or (vi) modify the prohibition on the issuance of reload or replenishment options.
Prohibition on Repricing Awards and Award Adjustments and Additional Governance-Related Protections
Except in connection with a corporate transaction involving the Company (including, without limitation, any stock dividend, stock split, extraordinary cash dividend, recapitalization, reorganization, merger, consolidation, split-up, spin-off, combination, or exchange of shares), the terms of stock options and SARs granted under the A&R 2019 Plan may not be amended, after the date of grant, to reduce the exercise price of such stock options or SARs, nor may outstanding stock options or SARs be canceled in exchange for (i) cash, (ii) stock options or SARs with an exercise price that is less than the exercise price of the original outstanding stock options or SARs, or (iii) other awards, unless such action is approved by our shareholders.
The A&R 2019 Plan does not contain an evergreen provision, and shareholder approval is required to increase the number of shares of our common stock that may be issued under the A&R 2019 Plan. Except as provided above, each award granted under the A&R 2019 Plan will be subject to a minimum restriction period of 12 months from: (i) the date of grant if vesting is time based; or (ii) the lapse of restrictions on such award if based on the satisfaction of performance goals. Generally, the Compensation Committee does not have discretionary authority to waive the minimum restriction period applicable to an award, except in the case of death, disability, retirement, or a change-in-control of the Company and subject to a de minimis rule. The Compensation Committee, however, does have discretion to grant awards that do not adhere to these minimum restriction period requirements, or otherwise may waive the requirements, with respect to awards for up to 5% of the initial share pool. The A&R 2019 Plan does not provide for dividend payments on unvested awards.
Transferability of Awards
Except in certain limited situations permitted under the A&R 2019 Plan, awards (other than incentive stock options) under the A&R 2019 Plan may only be transferred by will or by the laws of descent and distribution. The Compensation Committee may impose share transferability restrictions on any shares acquired pursuant to an award as it may deem advisable, including, without limitation, restrictions under applicable federal securities laws, under the requirements of any stock exchange or market upon which such shares are then listed and/or traded, and under any blue sky or state securities laws applicable to such shares.
U.S. Federal Income Tax Consequences
The following discussion is intended only as a general summary of the material U.S. federal income tax consequences of awards issued under the A&R 2019 Plan, based upon the provisions of the Internal Revenue Code as of the date of this Proxy Statement, for the purpose of shareholders considering how to vote on this proposal. It is not intended as tax guidance to participants in the A&R 2019 Plan. This summary does not take into account certain circumstances that may change the income tax treatment of awards for individual participants, and it does not describe the state income tax consequences of any award or the taxation of awards in jurisdictions outside of the U.S.
67
Stock Options and Stock Appreciation Rights
The grant of a stock option or SAR generally has no income tax consequences for a participant or the Company. Likewise, the exercise of an incentive stock option generally does not have income tax consequences for a participant or the Company, except that it may result in an item of adjustment for alternative minimum tax purposes for the participant. A participant usually recognizes ordinary income upon the exercise of a nonqualified stock option or SAR equal to the fair market value of the shares or cash payable (without regard to income or employment tax withholding) minus the exercise price, if applicable. We should generally be entitled to a deduction for federal income tax purposes equal to the amount of ordinary income recognized by the participant as a result of the exercise of a nonqualified stock option or SAR.
If a participant holds the shares acquired under an incentive stock option for the time specified in the Internal Revenue Code (at least two years measured from the grant date and one year measured from the exercise date), any gain or loss arising from a subsequent disposition of the shares will be taxed as long-term capital gain or loss. If the shares are disposed of before the holding period is satisfied, the participant will recognize ordinary income equal to the lesser of (i) the amount realized upon the disposition and (ii) the fair market value of such shares on the date of exercise minus the exercise price paid for the shares. Any ordinary income recognized by the participant on the disqualifying disposition of the shares generally entitles us to a deduction by us for federal income tax purposes. Any disposition of shares acquired under a nonqualified stock option or a SAR will generally result only in capital gain or loss for the participant, which may be short- or long-term, depending upon the holding period for the shares.
Full Value Awards
Any cash and the fair market value of any shares of common stock received by a participant under a full value award are generally includible in the participant’s ordinary income. In the case of restricted stock awards, this amount is includible in the participant’s income when the awards vest, unless the participant has filed an election with the Internal Revenue Service to include the fair market value of the restricted shares in income as of the date the award was granted. In the case of RSUs, performance shares and performance units, generally the value of any cash and the fair market value of any shares of common stock received by a participant are includible in income when the awards are paid. Any dividends or dividend equivalents paid on unvested full value awards are also ordinary income for participants.
Cash-Based Awards and Cash Incentive Awards
Any cash payments an employee receives in connection with cash-based awards, including cash incentive awards, are includible in income by the participant in the year received or made available to the participant without substantial limitations or restrictions.
Deductibility of Compensation
Section 162(m) of the Internal Revenue Code generally limits our ability to deduct for tax purposes compensation in excess of $1.0 million per year for our principal executive officer, our principal financial officer and additional highest compensated officers during any taxable year beginning after December 31, 2016. Compensation resulting from awards under the 2019 Equity Incentive Plan will be counted toward the $1.0 million limit.
Section 409A of the Internal Revenue Code
Section 409A of the Internal Revenue Code provides special tax rules applicable to programs that provide for a deferral of compensation. Failure to comply with those requirements will result in accelerated recognition of U.S. federal income taxes along with an additional tax equal to 20% of the amount included in U.S. federal income, and interest on deemed underpayments in certain circumstances. The 2019 Plan and awards are intended to comply with or be exempt from the requirements of Section 409A.
68
Awards Granted
The number of awards that may be received by individual employees or groups of employees under the A&R 2019 Plan is in the discretion of the Compensation Committee and; therefore, cannot be determined in advance.
For illustrative purposes only, the following table sets forth (i) the number of shares of our common stock subject to stock options, RSUs and PSUs granted during the year ended December 31, 2024 under our A&R 2019 Plan, and (ii) the weighted average exercise price per share of these options, for all NEOs as a group, for all non-employee directors as a group and for all employees (excluding NEOs) as a group.
| Identity of Group | Number of Options |
Weighted Average Exercise Price Per Option ($) | Number of RSUs | Number of PSUs | ||||||||||
All NEOs, as a group |
— | — | 350,000 | 1,086,600 | ||||||||||
| All non-employee directors, as a group | 145,984 | 7.04 | 88,099 | — | ||||||||||
All employees (excluding NEOs), as a group |
18,700 | 9.75 | 572,572 | 818,068 | ||||||||||
THE BOARD OF DIRECTORS RECOMMENDS THAT SHAREHOLDERS VOTE "FOR" APPROVAL OF THE A&R 2019 PLAN TO INCREASE THE MAXIMUM NUMBER OF SHARES OF COMMON STOCK THAT MAY BE ISSUED UNDER THE A&R PLAN FROM 10,500,000 TO 13,400,000, WHICH IS DESIGNATED AS PROPOSAL NO. 4.
69
PROPOSAL 5 – NON-BINDING ADVISORY VOTE ON THE FREQUENCY OF AN ADVISORY VOTE
ON EXECUTIVE COMPENSATION
The Dodd-Frank Act also provides that shareholders must be given the opportunity to vote, on a non-binding,
advisory basis, for their preference as to how frequently we should seek an advisory vote on the compensation of our named executive officers as disclosed in accordance with the SEC’s compensation disclosure rules, which we refer to as an advisory vote on executive compensation. By voting on this Proposal 5, shareholders may indicate whether they would prefer that we seek future advisory votes on executive compensation once every one, two or three years. Shareholders also may, if they wish, abstain from casting a vote on this proposal.
In consideration of good corporate governance, our Board of Directors has determined that an advisory vote on executive compensation that occurs every year is the most appropriate for the Company and therefore our Board of Directors recommends that you vote for a one-year interval for the advisory vote on executive compensation. The Company recognizes that the shareholders may have different views as to the best approach for the Company, and therefore we look forward to hearing from our shareholders as to their preferences on the frequency of an advisory vote on executive compensation.
Shareholders may cast a vote on the preferred voting frequency by selecting the option of one year, two years or three years (or abstain) when voting in response to the resolution set forth below.
“RESOLVED, that the shareholders determine, on an advisory basis, whether the preferred frequency of an
advisory vote on the executive compensation of the Company’s named executive officers should be every year,
every two years, or every three years.”
This vote is advisory and not binding on the Board of Directors or the Company in any way; however, the Board of Directors and the Compensation Committee will take into account the outcome of the vote when considering the frequency of future advisory votes on executive compensation. The Board of Directors may decide that it is in the best interests of our shareholders and the Company to hold an advisory vote on executive compensation more or less frequently than the frequency receiving the most votes cast by our shareholders.
THE BOARD OF DIRECTORS RECOMMENDS THAT YOU VOTE "FOR" THE OPTION OF "ONE YEAR" AS THE PREFERRED FREQUENCY WITH WHICH SHAREHOLDERS ARE PROVIDED WITH AN ADVISORY VOTE ON EXECUTIVE COMPENSATION, WHICH IS DESIGNATED AS PROPOSAL NO. 5.
70
PROPOSALS FOR OUR 2026 ANNUAL MEETING
In connection with any matter to be proposed by a shareholder to be considered at our 2026 Annual Meeting of Shareholders, a written notice of business that a shareholder wishes to present for consideration at our 2026 Annual Meeting of Shareholders (including nominees for election to our Board of Directors at our 2026 Annual Meeting of Shareholders) must be delivered to our principal executive offices, 13631 Progress Blvd., Suite 400, Alachua, FL 32615, Attention: Corporate Secretary not later than the close of business 90 days nor earlier than the close of business on the 120th day prior to the anniversary date of the Meeting, which would be March 20, 2026 and February 18, 2026, respectively; provided, however, if the regular meeting is called for a date that is not within 30 days before or after such anniversary date, notice must be so received not later than the close of business on the 10th day following the day on which such notice of the date of the meeting was mailed or public disclosure of the date of the meeting was made, whichever occurs first.
Shareholder proposals submitted pursuant to Rule 14a-18 under the Exchange Act and intended to be presented
at the Company’s 2026 Annual Meeting of Shareholders must be received by us not later than 120 calendar days
before the anniversary of the date that we mailed our proxy materials for the Meeting, which would be on December
31, 2025.
For shareholder nominees for directors to be considered timely for inclusion on a universal proxy card pursuant to Rule 14a-19, shareholders must provide notice to us no later than 60 calendar days prior to the anniversary of the Meeting, which would be April 19, 2026, or, if the date of the meeting changes by more than 30 days, the later of 60 calendar days prior to the date of the annual meeting or the 10th calendar day following the day on which public announcement of the date of the annual meeting is first made, containing the information required by Rule 14a-19. The notice must also meet other requirements specified in Section 2.3 and 2.4, as applicable, of our Amended and Restated Bylaws.
The proxies to be solicited by the Board of Directors for the 2026 Annual Meeting of Shareholders will confer
discretionary authority on the proxy holders to vote on any shareholder proposal presented at such annual meeting if
the Company fails to receive notice of such proposal by May 4, 2026.
Shareholders are advised to review our Amended and Restated Bylaws, filed as an exhibit to our 2024 Annual
Report, filed on February 26, 2025, which contains additional requirements with respect to advance notice of shareholder proposals and director nominations.
2024 ANNUAL REPORT
Our 2024 Annual Report, together with this Proxy Statement, are available on the Internet in the “Investors” section of our website at https://www.axogeninc.com. The Notice or proxy card (if you elect to receive your materials by mail) will describe how to access and review the 2024 Annual Report. Our 2024 Annual Report is also available in the “Investors” section of our website at https://www.axogeninc.com. If requested in writing by a person solicited by this Proxy Statement, we will provide you without charge a copy of our 2024 Annual Report for our most recently completed fiscal year. Such request should be sent to our General Counsel at Axogen, Inc., 13631 Progress Blvd., Suite 400, Alachua, FL 32615.
“HOUSEHOLDING” OF PROXY MATERIALS
To the extent we deliver paper copies of our Proxy Statement for this Meeting, the 2024 Annual Report, or Notice, as applicable, the SEC rules allow us to deliver a single copy of such proxy materials to any household at which two or more shareholders reside, if we believe the shareholders are members of the same family. This practice is referred to as “householding” and can result in significant savings of paper and mailing costs. Although we do not household for our registered shareholders, some brokers household Axogen proxy statements, notices and annual reports, delivering a single copy of each to multiple shareholders sharing an address unless contrary instructions have been received from the affected shareholders. Once you have received notice from your broker that they will be householding materials to your address, householding will continue until you are notified otherwise or until you revoke your consent. If, at any time, you no longer wish to participate in householding and would prefer to receive a
71
separate copy of our Notice, Proxy Statement for this Meeting or our 2024 Annual Report, or if you are receiving multiple copies of any document and wish to receive only one, please notify your broker. We will deliver promptly upon written or oral request a separate copy of our Proxy Statement for this Meeting, Notice and/or our 2024 Annual Report, as applicable, to a shareholder at a shared address to which a single copy of either document was delivered. For copies of any or all such documents, shareholders should write to or call our Corporate Secretary at Axogen, Inc., 13631 Progress Blvd., Suite 400, Alachua, FL 32615, or (368) 462-6800, respectively.
OTHER MATTERS
Our Board of Directors does not know of any other business to come before our 2025 Annual Meeting of Shareholders. If any other matters are properly brought before the meeting, however, the persons named in the accompanying proxy will vote in accordance with their best judgment.
Your cooperation in giving this matter your immediate attention and in returning your proxy promptly will be appreciated.
| Sincerely, | |||||
![]() |
|||||
| Michael Dale | |||||
April 30, 2025 |
Director, Chief Executive Officer and President | ||||
72
APPENDIX A
AXOGEN, INC.
FOURTH AMENDED AND RESTATED 2019 LONG-TERM INCENTIVE PLAN
A
| TABLE OF CONTENTS | ||||||||
Page
|
||||||||
| 1 | History; Effective Date | 1 | ||||||
| 2 | Purposes of the Plan |
1 | ||||||
| 3 | Terminology |
1 | ||||||
| 4 | Administration |
1 | ||||||
(a) Administration of the Plan |
1 | |||||||
|
(b) Powers of the Administrator
|
1 | |||||||
(c) Delegation of Administrative Authority |
3 | |||||||
| (d) Non-Uniform Determinations | 3 | |||||||
(e) Limited Liability; Advisors |
3 | |||||||
(f) Indemnification |
3 | |||||||
(g) Effect of Administrator’s Decision |
3 | |||||||
| 5 | Shares Issuable Pursuant to Awards |
4 | ||||||
| (a) Initial Share Pool | 4 | |||||||
| (b) Adjustments to Share Pool | 4 | |||||||
| (c) Subject to adjustment as provided in Section 10 of the Plan | 4 | |||||||
| (d) Non-Employee Director Award Limit | 5 | |||||||
| (e) ISO Limit | 5 | |||||||
| (f) Source of Shares | 5 | |||||||
| 6 | Participation |
5 | ||||||
| 7 | Awards |
5 | ||||||
| (a) Awards, In General | 5 | |||||||
| (b) Vesting Restrictions | 6 | |||||||
| (c) Stock Options | 6 | |||||||
| (d) Rights of a Stockholder; Dividends | 6 | |||||||
(e) Stock Appreciation Rights
|
7 | |||||||
(f) Repricing |
7 | |||||||
(g) Stock Awards |
8 | |||||||
(h) Stock Units |
9 | |||||||
(i) Performance Shares and Performance Units |
9 | |||||||
(j) Other Stock-Based Awards |
10 | |||||||
(k) Awards to Participants Outside the United States |
11 | |||||||
(l) Limitation on Dividend Reinvestment and Dividend Equivalents |
11 | |||||||
| 8 | Withholding of Taxes |
11 | ||||||
| 9 | Transferability of Awards |
11 | ||||||
| (a) General Nontransferability Absent Administrator Permission | 11 | |||||||
i
| (b) Administrator Discretion to Permit Transfers Other Than For Value | 12 | |||||||
| 10 | Adjustments for Corporate Transactions and Other Events | 12 | ||||||
(a) Mandatory Adjustments |
12 | |||||||
(b) Discretionary Adjustments |
12 | |||||||
(c) Adjustments to Performance Goals |
13 | |||||||
(d) Statutory Requirements Affecting Adjustments |
13 | |||||||
(e) Dissolution or Liquidation |
13 | |||||||
| 11 | Change-in-Control Provisions |
13 | ||||||
(a) Termination of Awards |
13 | |||||||
(b) Continuation, Assumption or Substitution of Awards |
14 | |||||||
(c) Other Permitted Actions |
14 | |||||||
(d) Section 409A Savings Clause |
14 | |||||||
| 12 | Substitution of Awards in Mergers and Acquisitions |
15 | ||||||
| 13 | Compliance with Securities Laws; Listing and Registration |
15 | ||||||
| 14 | Section 409A Compliance |
16 | ||||||
| 15 | Plan Duration; Amendment and Discontinuance |
16 | ||||||
(a) Plan Duration |
16 | |||||||
(b) Amendment and Discontinuance of the Plan |
17 | |||||||
(c) Amendment of Awards |
17 | |||||||
| 16 | General Provisions |
17 | ||||||
(a) Non-Guarantee of Employment or Service |
17 | |||||||
(b) No Trust or Fund Created |
17 | |||||||
(c) Status of Awards |
18 | |||||||
(d) Subsidiary Employees |
18 | |||||||
(e) Governing Law and Interpretation |
18 | |||||||
(f) Use of English Language |
18 | |||||||
(g) Recovery of Amounts Paid |
18 | |||||||
| 17 | Glossary | 19 | ||||||
ii
1.History; Effective Date.
AXOGEN, INC., a Minnesota corporation, (“Axogen”), has established the AXOGEN, INC. 2019 LONG-TERM INCENTIVE PLAN, as set forth herein, and as the same may be amended from time to time (the “Plan”). The Plan was first adopted by the Board of Directors of Axogen (the “Board”) on May 20, 2019 and approved by the shareholders on August 14, 2019 and as amended and restated, was adopted by the Board on March 8, 2021 and approved by the shareholders on May 10, 2021, a second amendment and restatement of the Plan was adopted by our Board on March 30, 2022, and approved by the shareholders on May 25, 2022, a third amendment and restatement of the Axogen Inc. 2019 Long-Term Incentive Plan was adopted by the Board of Directors on March 27, 2024, and approved by our shareholders on June 5, 2024. The Plan, as amended and restated herein, was adopted by the Board on March 27, 2024. The Plan as amended and restated herein shall be subject to approval by the shareholders of the Company at the meeting of shareholders of the Company to be held on June 18, 2025, and the amended and restated Plan shall be effective as of the date of such shareholder approval (the “Effective Date”). No awards will be made under the Axogen, Inc. 2010 Stock Incentive Plan (Amended and Restated as of April 5, 2017) (the “Prior Plan”) on or after the Effective Date.
2.Purposes of the Plan.
The Plan is designed to:
(a) promote the long-term financial interests and growth of Axogen and its Subsidiaries (together, the “Company”) by attracting and retaining management and other personnel and key service providers with the training, experience and ability to enable them to make a substantial contribution to the success of the Company’s business;
(b) motivate management personnel by means of growth-related incentives to achieve long-range goals; and
(c) further the alignment of interests of Participants with those of the stockholders of Axogen through opportunities for increased stock or stock-based ownership in Axogen.
Toward these objectives, the Administrator may grant stock options, stock appreciation rights, stock awards, stock units, performance shares, performance units, and other stock-based awards to eligible individuals on the terms and subject to the conditions set forth in the Plan.
3.Terminology.
Except as otherwise specifically provided in an Award Agreement, capitalized words and phrases used in the Plan or an Award Agreement shall have the meaning set forth in the glossary at Section 17 of the Plan or as defined the first place such word or phrase appears in the Plan.
4.Administration.
a.Administration of the Plan. The Plan shall be administered by the Administrator.
b.Powers of the Administrator. The Administrator shall, except as otherwise provided under the Plan, have plenary authority, in its sole and absolute discretion, to grant Awards pursuant to the terms of the Plan to Eligible Individuals and to take all other actions necessary or desirable to carry out the purpose and intent of the Plan. Among other things, the Administrator shall have the authority, in its sole and absolute discretion, subject to the terms and conditions of the Plan to:
B
(i) determine the Eligible Individuals to whom, and the time or times at which, Awards shall be granted;
(ii) determine the types of Awards to be granted any Eligible Individual;
(iii) determine the number of shares of Common Stock to be covered by or used for reference purposes for each Award or the value to be transferred pursuant to any Award;
(iv) determine the terms, conditions and restrictions applicable to each Award (which need not be identical) and any shares acquired pursuant thereto, including, without limitation, (A) the purchase price of any shares of Common Stock, (B) the method of payment for shares purchased pursuant to any Award, (C) the method for satisfying any tax withholding obligation arising in connection with any Award, including by the withholding or delivery of shares of Common Stock, (D) the timing, terms and conditions of the exercisability, vesting or payout of any Award or any shares acquired pursuant thereto, (E) the Performance Goals applicable to any Award and the extent to which such Performance Goals have been attained, (F) the time of the expiration of any Award, (G) the effect of the Participant’s Termination of Service on any of the foregoing, and (H) all other terms, conditions and restrictions applicable to any Award or shares acquired pursuant thereto as the Administrator shall consider to be appropriate and not inconsistent with the terms of the Plan;
(v) subject to Sections 7(e), 10(c) and 15, modify, amend or adjust the terms and conditions of any Award;
(vi) accelerate or otherwise change the time at or during which an Award may be exercised or becomes payable and waive or accelerate the lapse, in whole or in part, of any restriction, condition or risk of forfeiture with respect to such Award; provided, however, that, except in connection with death, disability or a Change in Control, no such change, waiver or acceleration shall be made to any Award that is considered “deferred compensation” within the meaning of Section 409A of the Code if the effect of such action is inconsistent with Section 409A of the Code;
(vii) determine whether an Award will be paid or settled in cash, shares of Common Stock, or in any combination thereof and whether, to what extent and under what circumstances cash or shares of Common Stock payable with respect to an Award shall be deferred either automatically or at the election of the Participant;
(viii) for any purpose, including but not limited to, qualifying for preferred or beneficial tax treatment, accommodating the customs or administrative challenges or otherwise complying with the tax, accounting or regulatory requirements of one or more jurisdictions, adopt, amend, modify, administer or terminate sub-plans, appendices, special provisions or supplements applicable to Awards regulated by the laws of a particular jurisdiction, which sub-plans, appendices, supplements and special provisions may take precedence over other provisions of the Plan, and prescribe, amend and rescind rules and regulations relating to such sub-plans, supplements and special provisions;
(ix) establish any “blackout” period, during which transactions affecting Awards may not be effectuated, that the Administrator in its sole discretion deems necessary or advisable;
(x) determine the Fair Market Value of shares of Common Stock or other property for any purpose under the Plan or any Award;
B
(xi) administer, construe and interpret the Plan, Award Agreements and all other documents relevant to the Plan and Awards issued thereunder, and decide all other matters to be determined in connection with an Award;
(xii) establish, amend, rescind and interpret such administrative rules, regulations, agreements, guidelines, instruments and practices for the administration of the Plan and for the conduct of its business as the Administrator deems necessary or advisable;
(xiii) correct any defect, supply any omission or reconcile any inconsistency in the Plan or in any Award or Award Agreement in the manner and to the extent the Administrator shall consider it desirable to carry it into effect; and
(xiv) otherwise administer the Plan and all Awards granted under the Plan.
c. Delegation of Administrative Authority. The Administrator may designate officers or employees of the Company to assist the Administrator in the administration of the Plan and, to the extent permitted by applicable law and stock exchange rules, the Administrator may delegate to officers or other employees of the Company the Administrator’s duties and powers under the Plan, subject to such conditions and limitations as the Administrator shall prescribe, including without limitation the authority to execute agreements or other documents on behalf of the Administrator; provided, however, that such delegation of authority shall not extend to the granting of, or exercise of discretion with respect to, Awards to Eligible Individuals who are officers under Section 16 of the Exchange Act.
d.Non-Uniform Determinations. The Administrator’s determinations under the Plan (including without limitation, determinations of the persons to receive Awards, the form, amount and timing of such Awards, the terms and provisions of such Awards and the Award Agreements evidencing such Awards, and the ramifications of a Change in Control upon outstanding Awards) need not be uniform and may be made by the Administrator selectively among Awards or persons who receive, or are eligible to receive, Awards under the Plan, whether or not such persons are similarly situated.
e.Limited Liability; Advisors. To the maximum extent permitted by law, no member of the Administrator shall be liable for any action taken or decision made in good faith relating to the Plan or any Award thereunder. The Administrator may employ counsel, consultants, accountants, appraisers, brokers or other persons. The Administrator, Axogen, and the officers and directors of Axogen shall be entitled to rely upon the advice, opinions or valuations of any such persons.
f.Indemnification. To the maximum extent permitted by law, by Axogen’s charter and by‑laws, and by any directors’ and officers’ liability insurance coverage which may be in effect from time to time, the members of the Administrator and any agent or delegate of the Administrator who is a director, officer or employee of Axogen or an Affiliate shall be indemnified by Axogen against any and all liabilities and expenses to which they may be subjected by reason of any act or failure to act with respect to their duties on behalf of the Plan.
g.Effect of Administrator’s Decision. All actions taken and determinations made by the Administrator on all matters relating to the Plan or any Award pursuant to the powers vested in it hereunder shall be in the Administrator’s sole and absolute discretion, unless in contravention of any express term of the Plan, including, without limitation, any determination involving the appropriateness or equitableness of any action. All determinations made by the Administrator shall be conclusive, final and binding on all parties concerned, including Axogen, its stockholders, any Participants and any other employee, consultant, or director of Axogen and its Affiliates, and their respective successors in interest. No member of the Administrator, nor any director, officer, employee or representative of Axogen shall be
B
personally liable for any action, determination or interpretation made in good faith with respect to the Plan or Awards.
B
5.Shares Issuable Pursuant to Awards.
a.Initial Share Pool. As of the Effective Date, the number of shares of Common Stock issuable pursuant to Awards that may be granted under the Plan (the “Share Pool”) shall be: (i) 13,400,000 shares plus (ii) the number of unallocated shares of Common Stock available for issuance as of the Effective Date under the Prior Plan that are not then subject to outstanding Awards.
b. Adjustments to Share Pool. On and after the Effective Date, the Share Pool shall be adjusted, in addition to any adjustments to be made pursuant to Section 10 of the Plan, as follows:
(i) The Share Pool shall be reduced, on the date of grant, by one share for each share of Common Stock made subject to an Award granted under the Plan;
(ii) The Share Pool shall be increased, on the relevant date, by the number of unissued shares of Common Stock underlying or used as a reference measure for any Award granted under this Plan or the Prior Plan that is cancelled, forfeited, expired, terminated, unearned or settled in cash, in any such case without the issuance of shares;
(iii) The Share Pool shall be increased, on the forfeiture date, by the number of shares of Common Stock that are forfeited back to Axogen after issuance due to a failure to meet an Award contingency or condition with respect to any Award or portion of an Award granted under this Plan or the Prior Plan;
For the avoidance of doubt, the Share Pool shall not be increased by (A) shares of Common Stock used as a reference measure for any Award granted under this Plan that are not issued upon settlement of such Award due to a net settlement, (B) shares of Common Stock withheld by or surrendered (either actually or through attestation) to Axogen in payment of the exercise price of any Award, (C) shares of Common Stock withheld by or surrendered (either actually or through attestation) to Axogen in payment of the Tax Withholding Obligation that arises in connection with any Award, or (D) shares of Common Stock have been reacquired by the Company in the open market using the proceeds of amounts received upon the exercise of stock options.
c. Subject to adjustment as provided in Section 10 of the Plan:
(i) the maximum number of shares of Common Stock that may be made subject to Awards granted under the Plan during a calendar year to any one person in the form of stock options or stock appreciation rights is, in the aggregate, 1,000,000 shares;
(ii) the maximum number of shares of Common Stock that may be made subject to Awards granted under the Plan during a calendar year to any one person in the form of Performance Awards is, in the aggregate, 1,000,000 shares, and
(iii) in connection with Awards granted under the Plan during a calendar year to any one person in the form of Performance Shares, the maximum cash amount payable thereunder is the amount equal to the number of shares made subject to the Award, as limited by Section 5(c)(ii), multiplied by the Fair Market Value as determined as of the payment date; and
(iv) in connection with Awards granted under the Plan during a calendar year to any one person in the form of Performance Units, the maximum cash amount payable under such Performance Units is $1,000,000;
B
provided, however, that each of the limitations set forth above in clauses (i), (ii) and (iii) of this Section 5(c) shall be multiplied by two when applied to Awards granted to any individual during the calendar year in which such individual first commences service with Axogen or a Subsidiary; and provided, further, that the limitations set forth above in clauses (ii) and (iii) of this Section 5(c) shall be multiplied by the number of calendar years over which the applicable Performance Period spans (in whole or in part), if the Performance Period is longer than 12 months’ duration, when applied to Performance Awards. If an Award is terminated, surrendered or canceled in the same year in which it was granted, such Award nevertheless will continue to be counted against the limitations set forth above in this Section 5(c) for the calendar year in which it was granted.
d. Non-Employee Director Award Limit. In addition, the Administrator may establish compensation for Non-Employee Directors from time to time, subject to the limitations in the Plan. The Administrator will from time to time determine the terms, conditions and amounts of all such Non-Employee Director compensation in its discretion and pursuant to the exercise of its business judgment, taking into account such factors, circumstances and considerations as it shall deem relevant from time to time, provided that the sum of any cash compensation and the grant date fair value of Awards (as determined in accordance with Financial Accounting Standards Board Accounting Standards Codification Topic 718, or any successor thereto) granted under the Plan to a Non-Employee Director as compensation for services as a Non-Employee Director during any calendar year of the Company may not exceed $750,000 for an annual grant, provided however, in a Non-Employee Director’s first year of service compensation for services may not exceed $1,000,000 (such limits, the “Director Limits”). The Administrator may make exceptions to this limit for individual Non-Employee directors in extraordinary circumstances, as the Administrator may determine in its discretion, provided that the Non-Employee Director receiving such additional compensation may not participate in the decision to award such compensation or in other compensation decisions involving Non-Employee Director.
e. ISO Limit. Subject to adjustment pursuant to Section 10 of the Plan, the maximum number of shares of Common Stock that may be issued pursuant to stock options granted under the Plan that are intended to qualify as Incentive Stock Options within the meaning of Section 422 of the Code shall be equal to 7,500,000.
f. Source of Shares. The shares of Common Stock with respect to which Awards may be made under the Plan shall be shares authorized for issuance under Axogen’s charter but unissued, or issued and reacquired, including without limitation shares purchased in the open market or in private transactions.
6.Participation.
Participation in the Plan shall be open to all Eligible Individuals, as may be selected by the Administrator from time to time. The Administrator may also grant Awards to Eligible Individuals in connection with hiring, recruiting or otherwise, prior to the date the individual first performs services for Axogen or a Subsidiary; provided, however, that such Awards shall not become vested or exercisable, and no shares shall be issued to such individual, prior to the date the individual first commences performance of such services.
7.Awards.
a. Awards, In General. The Administrator, in its sole discretion, shall establish the terms of all Awards granted under the Plan consistent with the terms of the Plan. Awards may be granted individually or in tandem with other types of Awards, concurrently with or with respect to outstanding Awards. All Awards are subject to the terms and conditions provided in the Award Agreement, which
B
shall be delivered to the Participant receiving such Award upon, or as promptly as is reasonably practicable following, the grant of such Award. Unless otherwise specified by the Administrator, in its sole discretion, or otherwise provided in the Award Agreement, an Award shall not be effective unless the Award Agreement is signed or otherwise accepted by Axogen and the Participant receiving the Award (including by electronic delivery and/or electronic signature).
b. Vesting Restrictions. Except as provided below and notwithstanding any provision of the Plan to the contrary, each Award granted under the Plan shall be subject to a minimum Restriction Period of 12 months from the date of grant. Except as provided below and notwithstanding any provision of the Plan to the contrary, the Administrator shall not have discretionary authority to waive the minimum Restriction Period applicable to an Award, except in the case of death, disability, retirement, or a Change in Control. The provisions of this Section 7(b) shall not apply and/or may be waived, in the Administrator’s discretion, with respect to up to the number of Awards that is equal to five percent (5%) of the aggregate Share Pool as of the Effective Date.
c. Stock Options.
(i) Grants. A stock option means a right to purchase a specified number of shares of Common Stock from Axogen at a specified price during a specified period of time. The Administrator may from time to time grant to Eligible Individuals Awards of Incentive Stock Options or Nonqualified Options; provided, however, that Awards of Incentive Stock Options shall be limited to employees of Axogen or of any current or hereafter existing “parent corporation” or “subsidiary corporation,” as defined in Sections 424(e) and 424(f) of the Code, respectively, of Axogen, and any other Eligible Individuals who are eligible to receive Incentive Stock Options under the provisions of Section 422 of the Code. No stock option shall be an Incentive Stock Option unless so designated by the Administrator at the time of grant or in the applicable Award Agreement.
(ii) Exercise. Stock options shall be exercisable at such time or times and subject to such terms and conditions as shall be determined by the Administrator; provided, however, that Awards of stock options may not have a term in excess of ten years’ duration unless required otherwise by applicable law. The exercise price per share subject to a stock option granted under the Plan shall not be less than the Fair Market Value of one share of Common Stock on the date of grant of the stock option, except as provided under applicable law or with respect to stock options that are granted in substitution of similar types of awards of a company acquired by Axogen or a Subsidiary or with which Axogen or a Subsidiary combines (whether in connection with a corporate transaction, such as a merger, combination, consolidation or acquisition of property or stock, or otherwise) to preserve the intrinsic value of such awards.
(iii) Termination of Service. Except as provided in the applicable Award Agreement or otherwise determined by the Administrator, to the extent stock options are not vested and exercisable, a Participant’s stock options shall be forfeited upon his or her Termination of Service.
(iv) Additional Terms and Conditions. The Administrator may, by way of the Award Agreement or otherwise, determine such other terms, conditions, restrictions, and/or limitations, if any, of any Award of stock options, provided they are not inconsistent with the Plan.
d. Rights of a Stockholder; Dividends. Until shares of Common Stock are issued to the Participant upon the exercise of stock options, the Participant shall not have any rights of a stockholder of Axogen with respect to the options or the shares issuable thereunder including dividends or Dividend Equivalents. Limitation on Reload Options. The Administrator shall not grant stock options under this Plan that contain a reload or replenishment feature pursuant to which a new stock option would be
B
granted automatically upon receipt of delivery of Common Stock to Axogen in payment of the exercise price or any tax withholding obligation under any other stock option.
e. Stock Appreciation Rights.
(i) Grants. The Administrator may from time to time grant to Eligible Individuals Awards of stock appreciation rights. A stock appreciation right entitles the Participant to receive, subject to the provisions of the Plan and the Award Agreement, a payment having an aggregate value equal to the product of (i) the excess of (A) the Fair Market Value on the exercise date of one share of Common Stock over (B) the base price per share specified in the Award Agreement, times (ii) the number of shares specified by the stock appreciation right, or portion thereof, which is exercised. The base price per share specified in the Award Agreement shall not be less than the lower of the Fair Market Value on the date of grant or the exercise price of any tandem stock option to which the stock appreciation right is related, or with respect to stock appreciation rights that are granted in substitution of similar types of awards of a company acquired by Axogen or a Subsidiary or with which Axogen or a Subsidiary combines (whether in connection with a corporate transaction, such as a merger, combination, consolidation or acquisition of property or stock, or otherwise) such base price as is necessary to preserve the intrinsic value of such awards.
(ii) Exercise. Stock appreciation rights shall be exercisable at such time or times and subject to such terms and conditions as shall be determined by the Administrator; provided, however, that stock appreciation rights granted under the Plan may not have a term in excess of ten years’ duration unless required otherwise by applicable law. The applicable Award Agreement shall specify whether payment by Axogen of the amount receivable upon any exercise of a stock appreciation right is to be made in cash or shares of Common Stock or a combination of both, or shall reserve to the Administrator or the Participant the right to make that determination prior to or upon the exercise of the stock appreciation right. If upon the exercise of a stock appreciation right a Participant is to receive a portion of such payment in shares of Common Stock, the number of shares shall be determined by dividing such portion by the Fair Market Value of a share of Common Stock on the exercise date. No fractional shares shall be used for such payment and the Administrator shall determine whether cash shall be given in lieu of such fractional shares or whether such fractional shares shall be eliminated.
(iii) Termination of Service. Except as provided in the applicable Award Agreement or otherwise determined by the Administrator, to the extent stock appreciation rights are not vested and exercisable, a Participant’s stock appreciation rights shall be forfeited upon his or her Termination of Service.
(iv) Additional Terms and Conditions. The Administrator may, by way of the Award Agreement or otherwise, determine such other terms, conditions, restrictions, and/or limitations, if any, of any Award of stock appreciation rights, provided they are not inconsistent with the Plan.
(v) Rights of a Stockholder; Dividends. Until shares of Common Stock are issued to the Participant upon the exercise of stock appreciation rights, the Participant shall not have any rights of a stockholder of Axogen with respect to the stock appreciation right or the shares issuable thereunder including dividends or Dividend Equivalents.
f. Repricing. Notwithstanding anything herein to the contrary, except in connection with a corporate transaction involving Axogen (including, without limitation, any stock dividend, stock split, extraordinary cash dividend, recapitalization, reorganization, merger, consolidation, split-up, spin-off, combination, or exchange of shares), the terms of options and stock appreciation rights granted under the Plan may not be amended, after the date of grant, to reduce the exercise price of such options or stock
B
appreciation rights, nor may outstanding options or stock appreciation rights be canceled in exchange for (i) cash, (ii) options or stock appreciation rights with an exercise price or base price that is less than the exercise price or base price of the original outstanding options or stock appreciation rights, or (iii) other Awards, unless such action is approved by Axogen’s stockholders.
g. Stock Awards.
(i) Grants. The Administrator may from time to time grant to Eligible Individuals Awards of unrestricted Common Stock or Restricted Stock (collectively, “Stock Awards”) on such terms and conditions, and for such consideration, including no consideration or such minimum consideration as may be required by law, as the Administrator shall determine. Stock Awards shall be evidenced in such manner as the Administrator may deem appropriate, including via book-entry registration.
(ii) Vesting. Restricted Stock shall be subject to such vesting, restrictions on transferability and other restrictions, if any, and/or risk of forfeiture as the Administrator may impose at the date of grant or thereafter. The Restriction Period to which such vesting, restrictions and/or risk of forfeiture apply may lapse under such circumstances, including without limitation upon the attainment of Performance Goals, in such installments, or otherwise, as the Administrator may determine. Subject to the provisions of the Plan and the applicable Award Agreement, during the Restriction Period, the Participant shall not be permitted to sell, assign, transfer, pledge or otherwise encumber shares of Restricted Stock.
(iii) Rights of a Stockholder; Dividends. Except to the extent restricted under the Award Agreement relating to the Restricted Stock, a Participant granted Restricted Stock shall have all of the rights of a stockholder of Common Stock including, without limitation, the right to vote Restricted Stock. Cash dividends declared payable on Common Stock shall be paid, with respect to outstanding Restricted Stock, either shall be held by Axogen and made subject to forfeiture at least until achievement of the applicable time-based vesting condition or Performance Goal related to such shares of Restricted Stock and shall be paid in cash or as unrestricted shares of Common Stock having a Fair Market Value equal to the amount of such dividends or may be reinvested in additional shares of Restricted Stock as determined by the Administrator. Stock distributed in connection with a stock split or stock dividend, and other property distributed as a dividend, shall be subject to restrictions and a risk of forfeiture to the same extent as the Restricted Stock with respect to which such Common Stock or other property has been distributed. As soon as is practicable following the date on which restrictions on any shares of Restricted Stock lapse, Axogen shall deliver to the Participant the certificates for such shares or shall cause the shares to be registered in the Participant’s name in book-entry form, in either case with the restrictions removed, provided that the Participant shall have complied with all conditions for delivery of such shares contained in the Award Agreement or otherwise reasonably required by Axogen.
(iv) Termination of Service. Except as provided in the applicable Award Agreement, upon Termination of Service during the applicable Restriction Period, Restricted Stock and any accrued but unpaid dividends that are at that time subject to restrictions shall be forfeited; provided that, the Administrator may provide, by rule or regulation or in any Award Agreement, or may determine in any individual case, that restrictions or forfeiture conditions relating to Restricted Stock will be waived in whole or in part in the event of terminations resulting from specified causes, and the Administrator may in other cases waive in whole or in part the forfeiture of Restricted Stock.
(v) Additional Terms and Conditions. The Administrator may, by way of the Award Agreement or otherwise, determine such other terms, conditions, restrictions, and/or limitations, if any, of any Award of Restricted Stock, provided they are not inconsistent with the Plan.
B
h. Stock Units.
(i) Grants. The Administrator may from time to time grant to Eligible Individuals Awards of Restricted Stock Units on such terms and conditions, and for such consideration, including no consideration or such minimum consideration as may be required by law, as the Administrator shall determine. Restricted Stock Units represent a contractual obligation by Axogen to deliver a number of shares of Common Stock, an amount in cash equal to the Fair Market Value of the specified number of shares subject to the Award, or a combination of shares of Common Stock and cash, in accordance with the terms and conditions set forth in the Plan and any applicable Award Agreement.
(ii) Vesting and Payment. Restricted Stock Units shall be subject to such vesting, risk of forfeiture and/or payment provisions as the Administrator may impose at the date of grant. The Restriction Period to which such vesting and/or risk of forfeiture apply may lapse under such circumstances, including without limitation upon the attainment of Performance Goals, in such installments, or otherwise, as the Administrator may determine. Shares of Common Stock, cash or a combination of shares of Common Stock and cash, as applicable, payable in settlement of Restricted Stock Units shall be delivered to the Participant as soon as administratively practicable, but no later than 30 days, after the date on which payment is due under the terms of the Award Agreement provided that the Participant shall have complied with all conditions for delivery of such shares or payment contained in the Award Agreement or otherwise reasonably required by Axogen, or in accordance with an election of the Participant, if the Administrator so permits, that meets the requirements of Section 409A of the Code.
(iii) No Rights of a Stockholder; Dividend Equivalents. Until shares of Common Stock are issued to the Participant in settlement of stock Units, the Participant shall not have any rights of a stockholder of Axogen with respect to the stock Units or the shares issuable thereunder. The Administrator may grant to the Participant the right to receive Dividend Equivalents on stock Units which shall be accrued and made subject to forfeiture at least until achievement of the applicable time-based vesting condition or Performance Goal related to such stock Units.
(iv) Termination of Service. Upon Termination of Service during the applicable deferral period or portion thereof to which forfeiture conditions apply, or upon failure to satisfy any other conditions precedent to the delivery of shares of Common Stock or cash to which such Restricted Stock Units relate, all Restricted Stock Units and any accrued but unpaid Dividend Equivalents with respect to such Restricted Stock Units that are then subject to deferral or restriction shall be forfeited; provided that, the Administrator may provide, by rule or regulation or in any Award Agreement, or may determine in any individual case, that restrictions or forfeiture conditions relating to Restricted Stock Units will be waived in whole or in part in the event of termination resulting from specified causes, and the Administrator may in other cases waive in whole or in part the forfeiture of Restricted Stock Units.
(v) Additional Terms and Conditions. The Administrator may, by way of the Award Agreement or otherwise, determine such other terms, conditions, restrictions, and/or limitations, if any, of any Award of stock Units, provided they are not inconsistent with the Plan.
i. Performance Shares and Performance Units.
(i) Grants. The Administrator may from time to time grant to Eligible Individuals Awards in the form of Performance Shares and Performance Units. Performance Shares, as that term is used in this Plan, shall refer to shares of Common Stock or Units that are expressed in terms of Common Stock, the issuance, vesting, lapse of restrictions on or payment of which is contingent on performance as measured against predetermined objectives over a specified Performance Period. Performance Units, as that term is used in this Plan, shall refer to dollar-denominated Units valued by reference to designated
B
criteria established by the Administrator, other than Common Stock, the issuance, vesting, lapse of restrictions on or payment of which is contingent on performance as measured against predetermined objectives over a specified Performance Period. The applicable Award Agreement shall specify whether Performance Shares and Performance Units will be settled or paid in cash or shares of Common Stock or a combination of both, or shall reserve to the Administrator or the Participant the right to make that determination prior to or at the payment or settlement date.
(ii) Performance Criteria. The Administrator shall, prior to or at the time of grant, condition the grant, vesting or payment of, or lapse of restrictions on, an Award of Performance Shares or Performance Units upon (A) the attainment of Performance Goals during a Performance Period or (B) the attainment of Performance Goals and the continued service of the Participant. The length of the Performance Period, the Performance Goals to be achieved during the Performance Period, and the measure of whether and to what degree such Performance Goals have been attained shall be conclusively determined by the Administrator in the exercise of its absolute discretion. Performance Goals may include minimum, maximum and target levels of performance, with the size of the Award or payout of Performance Shares or Performance Units or the vesting or lapse of restrictions with respect thereto based on the level attained. An Award of Performance Shares or Performance Units shall be settled as and when the Award vests or at a later time specified in the Award Agreement or in accordance with an election of the Participant, if the Administrator so permits, that meets the requirements of Section 409A of the Code.
(iii) Additional Terms and Conditions. The Administrator may, by way of the Award Agreement or otherwise, determine such other terms, conditions, restrictions, and/or limitations, if any, of any Award of Performance Shares or Performance Units, provided they are not inconsistent with the Plan.
(iv) Rights of a Stockholder; Dividends. Until shares of Common Stock are issued to the Participant in settlement of Performance Units, the Participant shall not have any rights of a stockholder of Axogen with respect to the Performance Units or the shares issuable thereunder. The Administrator may grant to the Participant the right to receive Dividend Equivalents on stock Units which shall be held by Axogen and made subject to forfeiture at least until achievement of the applicable time-based vesting condition related to such Unit. Except to the extent restricted under the Award Agreement relating to the Performance Shares, a Participant granted Performance Shares shall have all of the rights of a stockholder of Common Stock including, without limitation, the right to vote. Dividends declared payable on Performance Shares shall be held by Axogen and made subject to forfeiture at least until achievement of the applicable Performance Goal related to such Performance Shares. Stock distributed in connection with a stock split or stock dividend, and other property distributed as a dividend, shall be subject to restrictions and a risk of forfeiture to the same extent as the Performance Shares with respect to which such Common Stock or other property has been distributed. As soon as is practicable following the date on which restrictions on any Performance Shares lapse, Axogen shall deliver to the Participant the certificates for such shares or shall cause the shares to be registered in the Participant’s name in book-entry form, in either case with the restrictions removed, provided that the Participant shall have complied with all conditions for delivery of such shares contained in the Award Agreement or otherwise reasonably required by Axogen.
j. Other Stock-Based Awards. The Administrator may from time to time grant to Eligible Individuals Awards in the form of Other Stock-Based Awards. Dividend Equivalents payable on Other Stock-Based Awards shall be accrued and made subject to forfeiture at least until achievement of the applicable time-based and/or Performance Goal related to such Other Stock-Based Awards. Any such settlements, and any such crediting of Dividend Equivalents, may be subject to such conditions, restrictions and contingencies as the Administrator shall establish.
B
k. Awards to Participants Outside the United States. The Administrator may grant Awards to Eligible Individuals who are foreign nationals, who are located outside the United States or who are not compensated from a payroll maintained in the United States, or who are otherwise subject to (or could cause Axogen or a Subsidiary to be subject to) tax, legal or regulatory provisions of countries or jurisdictions outside the United States, on such terms and conditions different from those specified in the Plan as may, in the judgment of the Administrator, be necessary or desirable in order that any such Award shall conform to laws, regulations, and customs of the country or jurisdiction in which the Participant is then resident or primarily employed or to foster and promote achievement of the purposes of the Plan.
l. Limitation on Dividend Reinvestment and Dividend Equivalents. Reinvestment of dividends in additional Restricted Stock at the time of any dividend payment, and the payment of shares of Common Stock with respect to dividends to Participants holding Awards of stock Units, shall only be permissible if sufficient shares are available under the Share Pool for such reinvestment or payment (taking into account then outstanding Awards). In the event that sufficient shares are not available under the Share Pool for such reinvestment or payment, such reinvestment or payment shall be made in the form of a grant of stock Units equal in number to the shares of Common Stock that would have been obtained by such payment or reinvestment, the terms of which stock Units shall provide for settlement in cash and for Dividend Equivalent reinvestment in further stock Units on the terms contemplated by this Section 7(l).
8.Withholding of Taxes.
Participants and holders of Awards shall pay to Axogen or its Affiliate, or make arrangements satisfactory to the Administrator for payment of, any Tax Withholding Obligation in respect of Awards granted under the Plan no later than the date of the event creating the tax or social insurance contribution liability. The obligations of Axogen under the Plan shall be conditional on such payment or arrangements. Unless otherwise determined by the Administrator, Tax Withholding Obligations may be settled in whole or in part with shares of Common Stock, including unrestricted outstanding shares surrendered to Axogen and unrestricted shares that are part of the Award that gives rise to the Tax Withholding Obligation, having a Fair Market Value on the date of surrender or withholding amount to be withheld for tax or social insurance contribution purposes, all in accordance with such procedures as the Administrator establishes. Axogen or its Affiliate may deduct, to the extent permitted by law, any such Tax Withholding Obligations from any payment of any kind otherwise due to the Participant or holder of an Award.
9.Transferability of Awards.
a. General Nontransferability Absent Administrator Permission. Except as otherwise determined by the Administrator, and in any event in the case of an Incentive Stock Option or a tandem stock appreciation right granted with respect to an Incentive Stock Option, no Award granted under the Plan shall be transferable by a Participant otherwise than by will or the laws of descent and distribution. The Administrator shall not permit any transfer of an Award for value. An Award may be exercised during the lifetime of the Participant, only by the Participant or, during the period the Participant is under a legal disability, by the Participant’s guardian or legal representative, unless otherwise determined by the Administrator. Awards granted under the Plan shall not be subject in any manner to alienation, anticipation, sale, transfer, assignment, pledge, or encumbrance, except as otherwise determined by the Administrator; provided, however, that the restrictions in this sentence shall not apply to the shares of Common Stock received in connection with an Award after the date that the restrictions on transferability of such shares set forth in the applicable Award Agreement have lapsed. Nothing in this paragraph shall be interpreted or construed as overriding the terms of any Axogen stock ownership or retention policy,
B
now or hereafter existing, that may apply to the Participant or shares of Common Stock received under an Award.
b. Administrator Discretion to Permit Transfers Other Than For Value. Except as otherwise restricted by applicable law, the Administrator may, but need not, permit an Award, other than an Incentive Stock Option or a tandem stock appreciation right granted with respect to an Incentive Stock Option, to be transferred to a Participant’s Family Member (as defined below) as a gift or pursuant to a domestic relations order in settlement of marital property rights. The Administrator shall not permit any transfer of an Award for value. For purposes of this Section 9, “Family Member” means any child, stepchild, grandchild, parent, stepparent, grandparent, spouse, former spouse, sibling, niece, nephew, mother-in-law, father-in-law, son-in-law, daughter-in-law, brother-in-law, or sister-in-law, including adoptive relationships, any person sharing the Participant’s household (other than a tenant or employee), a trust in which these persons have more than fifty percent of the beneficial interest, a foundation in which these persons (or the Participant) control the management of assets, and any other entity in which these persons (or the Participant) own more than fifty percent (50%) of the voting interests. The following transactions are not prohibited transfers for value: (i) a transfer under a domestic relations order in settlement of marital property rights; and (ii) a transfer to an entity in which more than fifty percent of the voting interests are owned by Family Members (or the Participant) in exchange for an interest in that entity.
10.Adjustments for Corporate Transactions and Other Events.
a. Mandatory Adjustments. In the event of a merger, consolidation, stock rights offering, statutory share exchange or similar event affecting Axogen (each, a “Corporate Event”) or a stock dividend, stock split, reverse stock split, separation, spinoff, reorganization, extraordinary dividend of cash or other property, share combination or subdivision, or recapitalization or similar event affecting the capital structure of Axogen (each, a “Share Change”) that occurs at any time after adoption of this Plan by the Board (including any such Corporate Event or Share Change that occurs after such adoption and coincident with or prior to the Effective Date), the Administrator shall make equitable and appropriate substitutions or proportionate adjustments to (i) the aggregate number and kind of shares of Common Stock or other securities on which Awards under the Plan may be granted to Eligible Individuals, (ii) the maximum number of shares of Common Stock or other securities with respect to which Awards may be granted during any one calendar year to any individual, (iii) the maximum number of shares of Common Stock or other securities that may be issued with respect to Incentive Stock Options granted under the Plan, (iv) the number of shares of Common Stock or other securities covered by each outstanding Award and the exercise price, base price or other price per share, if any, and other relevant terms of each outstanding Award, and (v) all other numerical limitations relating to Awards, whether contained in this Plan or in Award Agreements; provided, however, that any fractional shares resulting from any such adjustment shall be eliminated.
b. Discretionary Adjustments. In the case of Corporate Events, the Administrator may make such other adjustments to outstanding Awards as it determines to be appropriate and desirable, which adjustments may include, without limitation, (i) the cancellation of outstanding Awards in exchange for payments of cash, securities or other property or a combination thereof having an aggregate value equal to the value of such Awards, as determined by the Administrator in its sole discretion (it being understood that in the case of a Corporate Event with respect to which stockholders of Axogen receive consideration other than publicly traded equity securities of the ultimate surviving entity, any such determination by the Administrator that the value of a stock option or stock appreciation right shall for this purpose be deemed to equal the excess, if any, of the value of the consideration being paid for each share of Common Stock pursuant to such Corporate Event over the exercise price or base price of such stock option or stock appreciation right shall conclusively be deemed valid and that any stock option or stock appreciation right
B
may be cancelled for no consideration upon a Corporate Event if its exercise price or base price equals or exceeds the value of the consideration being paid for each share of Common Stock pursuant to such Corporate Event), (ii) the substitution of securities or other property (including, without limitation, cash or other securities of Axogen and securities of entities other than Axogen) for the shares of Common Stock subject to outstanding Awards, and (iii) the substitution of equivalent awards, as determined in the sole discretion of the Administrator, of the surviving or successor entity or a parent thereof (“Substitute Awards”).
c. Adjustments to Performance Goals. The Administrator may, in its discretion, adjust the Performance Goals applicable to any Awards to reflect any unusual or non-recurring events and other extraordinary items, impact of charges for restructurings, discontinued operations and the cumulative effects of accounting or tax changes, each as defined by generally accepted accounting principles or as identified in Axogen’s consolidated financial statements, notes to the consolidated financial statements, management’s discussion and analysis or other Axogen filings with the Securities and Exchange Commission. If the Administrator determines that a change in the business, operations, corporate structure or capital structure of Axogen or the applicable subsidiary, business segment or other operational unit of Axogen or any such entity or segment, or the manner in which any of the foregoing conducts its business, or other events or circumstances, render the Performance Goals to be unsuitable, the Administrator may modify such Performance Goals or the related minimum acceptable level of achievement, in whole or in part, as the Administrator deems appropriate and equitable.
d. Statutory Requirements Affecting Adjustments. Notwithstanding the foregoing: (i) any adjustments made pursuant to Section 10 to Awards that are considered “deferred compensation” within the meaning of Section 409A of the Code shall be made in compliance with the requirements of Section 409A of the Code; (ii) any adjustments made pursuant to Section 10 to Awards that are not considered “deferred compensation” subject to Section 409A of the Code shall be made in such a manner as to ensure that after such adjustment, the Awards either (A) continue not to be subject to Section 409A of the Code or (B) comply with the requirements of Section 409A of the Code; (iii) in any event, the Administrator shall not have the authority to make any adjustments pursuant to Section 10 to the extent the existence of such authority would cause an Award that is not intended to be subject to Section 409A of the Code at the date of grant to be subject thereto; and (iv) any adjustments made pursuant to Section 10 to Awards that are Incentive Stock Options shall be made in compliance with the requirements of Section 424(a) of the Code.
e. Dissolution or Liquidation. Unless the Administrator determines otherwise, all Awards outstanding under the Plan shall terminate upon the dissolution or liquidation of Axogen.
11.Change in Control Provisions.
a. Termination of Awards. Notwithstanding the provisions of Section 11(b), in the event that any transaction resulting in a Change in Control occurs, outstanding Awards will terminate upon the effective time of such Change in Control unless provision is made in connection with the transaction for the continuation or assumption of such Awards by, or for the issuance therefor of Substitute Awards of, the surviving or successor entity or a parent thereof. Solely with respect to Awards that will terminate as a result of the immediately preceding sentence and except as otherwise provided in the applicable Award Agreement:
(i) the outstanding Awards of stock options and stock appreciation rights that will terminate upon the effective time of the Change in Control shall, immediately before the effective time of the Change in Control, become fully exercisable and the holders of such Awards will be permitted, immediately before the Change in Control, to exercise the Awards;
B
(ii) the outstanding shares of Restricted Stock, the vesting or restrictions on which are then solely time-based and not subject to achievement of Performance Goals, shall immediately before the effective time of the Change in Control, become fully vested, free of all transfer and lapse restrictions and free of all risks of forfeiture;
(iii) the outstanding shares of Restricted Stock the vesting or restrictions on which are then subject to and pending achievement of Performance Goals shall, immediately before the effective time of the Change in Control and unless the Award Agreement provides for vesting or lapsing of restrictions in a greater amount upon the occurrence of a Change in Control, become vested, free of transfer and lapse restrictions and risks of forfeiture in such amounts as if the applicable Performance Goals for the unexpired Performance Period had been achieved at the target level set forth in the applicable Award Agreement;
(iv) the outstanding Restricted Stock Units, Performance Shares and Performance Units the vesting, earning or settlement of which is then solely time-based and not subject to or pending achievement of Performance Goals shall, immediately before the effective time of the Change in Control, become fully earned and vested and shall be settled in cash or shares of Common Stock (consistent with the terms of the Award Agreement after taking into account the effect of the Change in Control transaction on the shares) as promptly as is practicable, subject to any applicable limitations imposed thereon by Section 409A of the Code; and
(v) the outstanding Restricted Stock Units, Performance Shares and Performance Units the vesting, earning or settlement of which is then subject to and pending achievement of Performance Goals shall, immediately before the effective time of the Change in Control and unless the Award Agreement provides for vesting, earning or settlement in a greater amount upon the occurrence of a Change in Control, become vested and earned in such amounts as if the applicable Performance Goals for the unexpired Performance Period had been achieved at the target level set forth in the applicable Award Agreement and shall be settled in cash or shares of Common Stock (consistent with the terms of the Award Agreement after taking into account the effect of the Change in Control transaction on the shares) as promptly as is practicable, subject to any applicable limitations imposed thereon by Section 409A of the Code.
Implementation of the provisions of this Section 11(a) shall be conditioned upon consummation of the Change in Control.
b. Continuation, Assumption or Substitution of Awards. The Administrator may specify, on or after the date of grant, in an Award Agreement or amendment thereto, the consequences of a Participant’s Termination of Service that occurs coincident with or following the occurrence of a Change in Control, if a Change in Control occurs under which provision is made in connection with the transaction for the continuation or assumption of outstanding Awards by, or for the issuance therefor of Substitute Awards of, the surviving or successor entity or a parent thereof.
c. Other Permitted Actions. In the event that any transaction resulting in a Change in Control occurs, the Administrator may take any of the actions set forth in Section 10 with respect to any or all Awards granted under the Plan.
d. Section 409A Savings Clause. Notwithstanding the foregoing, if any Award is considered to be a “nonqualified deferred compensation plan” within the meaning of Section 409A of the Code, this Section 11 shall apply to such Award only to the extent that its application would not result in the
B
imposition of any tax or interest or the inclusion of any amount in income under Section 409A of the Code.
12.Substitution of Awards in Mergers and Acquisitions.
Awards may be granted under the Plan from time to time in substitution for assumed awards held by employees, officers, consultants or directors of entities who become employees, officers, consultants or directors of Axogen or a Subsidiary as the result of a merger or consolidation of the entity for which they perform services with Axogen or a Subsidiary, or the acquisition by Axogen of the assets or stock of the such entity. The terms and conditions of any Awards so granted may vary from the terms and conditions set forth herein to the extent that the Administrator deems appropriate at the time of grant to conform the Awards to the provisions of the assumed awards for which they are substituted and to preserve their intrinsic value as of the date of the merger, consolidation or acquisition transaction. To the extent permitted by applicable law and marketplace or listing rules of the primary securities market or exchange on which the Common Stock is listed or admitted for trading, any available shares under a stockholder-approved plan of an acquired company (as appropriately adjusted to reflect the transaction) may be used for Awards granted pursuant to this Section 12 and, upon such grant, shall not reduce the Share Pool.
13.Compliance with Securities Laws; Listing and Registration.
a. The obligation of Axogen to sell or deliver Common Stock with respect to any Award granted under the Plan shall be subject to all applicable laws, rules and regulations, including all applicable federal, state securities laws, and the obtaining of all such approvals by governmental agencies as may be deemed necessary or appropriate by the Administrator. If at any time the Administrator determines that the delivery of Common Stock under the Plan is or may be unlawful under the laws of any applicable jurisdiction, or Federal, state or foreign (non-United States) securities laws, the right to exercise an Award or receive shares of Common Stock pursuant to an Award shall be suspended until the Administrator determines that such delivery is lawful. If at any time the Administrator determines that the delivery of Common Stock under the Plan would or may violate the rules of any exchange on which Axogen’s securities are then listed for trade, the right to exercise an Award or receive shares of Common Stock pursuant to an Award shall be suspended until the Administrator determines that such delivery would not violate such rules. If the Administrator determines that the exercise or nonforfeitability of, or delivery of benefits pursuant to, any Award would violate any applicable provision of securities laws or the listing requirements of any stock exchange upon which any of Axogen’s equity securities are listed, then the Administrator may postpone any such exercise, nonforfeitability or delivery, as applicable, but Axogen shall use all reasonable efforts to cause such exercise, nonforfeitability or delivery to comply with all such provisions at the earliest practicable date.
b. Each Award is subject to the requirement that, if at any time the Administrator determines, in its absolute discretion, that the listing, registration or qualification of Common Stock issuable pursuant to the Plan is required by any securities exchange or under any state, federal or foreign (non-United States) law, or the consent or approval of any governmental regulatory body is necessary or desirable as a condition of, or in connection with, the grant of an Award or the issuance of Common Stock, no such Award shall be granted or payment made or Common Stock issued, in whole or in part, unless listing, registration, qualification, consent or approval has been effected or obtained free of any conditions not acceptable to the Administrator.
c. In the event that the disposition of Common Stock acquired pursuant to the Plan is not covered by a then current registration statement under the Securities Act of 1933, as amended (the “Securities Act”), and is not otherwise exempt from such registration, such Common Stock shall be
B
restricted against transfer to the extent required by the Securities Act or regulations thereunder, and the Administrator may require a person receiving Common Stock pursuant to the Plan, as a condition precedent to receipt of such Common Stock, to represent to Axogen in writing that the Common Stock acquired by such person is acquired for investment only and not with a view to distribution and that such person will not dispose of the Common Stock so acquired in violation of Federal, state or foreign securities laws and furnish such information as may, in the opinion of counsel for the Company, be appropriate to permit the Company to issue the Common Stock in compliance with applicable Federal, state or foreign securities laws.
14.Section 409A Compliance.
It is the intention of Axogen that any Award that constitutes a “nonqualified deferred compensation plan” within the meaning of Section 409A of the Code shall comply in all respects with the requirements of Section 409A of the Code to avoid the imposition of any tax or interest or the inclusion of any amount in income pursuant to Section 409A of the Code, and the terms of each such Award shall be construed, administered and deemed amended, if applicable, in a manner consistent with this intention. Notwithstanding the foregoing, neither Axogen nor any of its Affiliates nor any of its or their directors, officers, employees, agents or other service providers will be liable for any taxes, penalties or interest imposed on any Participant or other person with respect to any amounts paid or payable (whether in cash, shares of Common Stock or other property) under any Award, including any taxes, penalties or interest imposed under or as a result of Section 409A of the Code. Any payments described in an Award that are due within the “short term deferral period” as defined in Section 409A of the Code shall not be treated as deferred compensation unless applicable law requires otherwise. For purposes of any Award, each amount to be paid or benefit to be provided to a Participant that constitutes deferred compensation subject to Section 409A of the Code shall be construed as a separate identified payment for purposes of Section 409A of the Code. For purposes of Section 409A of the Code, the payment of Dividend Equivalents under any Award shall be construed as earnings and the time and form of payment of such Dividend Equivalents shall be treated separately from the time and form of payment of the underlying Award. Notwithstanding any other provision of the Plan to the contrary, with respect to any Award that constitutes a “nonqualified deferred compensation plan” within the meaning of Section 409A of the Code, any payments (whether in cash, shares of Common Stock or other property) to be made with respect to the Award that become payable on account of the Participant’s separation from service, within the meaning of Section 409A of the Code, while the Participant is a “specified employee” (as determined in accordance with the uniform policy adopted by the Administrator with respect to all of the arrangements subject to Section 409A of the Code maintained by Axogen and its Affiliates) and which would otherwise be paid within six months after the Participant’s separation from service shall be accumulated (without interest) and paid on the first day of the seventh month following the Participant’s separation from service or, if earlier, within 15 days after the appointment of the personal representative or executor of the Participant’s estate following the Participant’s death. Notwithstanding anything in the Plan or an Award Agreement to the contrary, in no event shall the Administrator exercise its discretion to accelerate the payment or settlement of an Award where such payment or settlement constitutes deferred compensation within the meaning of Code section 409A unless, and solely to the extent that, such accelerated payment or settlement is permissible under Treasury Regulation section 1.409A-3(j)(4).
15.Plan Duration; Amendment and Discontinuance.
a. Plan Duration. The Plan shall remain in effect, subject to the right of the Board or the Compensation Committee to amend or terminate the Plan at any time, until the earlier of (a) the earliest date as of which all Awards granted under the Plan have been satisfied in full or terminated and no shares of Common Stock approved for issuance under the Plan remain available to be granted under new Awards or (b) May 19, 2029. No Awards shall be granted under the Plan after such termination date. Subject to
B
other applicable provisions of the Plan, all Awards made under the Plan on or before May 19, 2029, or such earlier termination of the Plan, shall remain in effect until such Awards have been satisfied or terminated in accordance with the Plan and the terms of such Awards.
b. Amendment and Discontinuance of the Plan. The Board or the Compensation Committee may amend, alter or discontinue the Plan, but no amendment, alteration or discontinuation shall be made which would materially impair the rights of a Participant with respect to a previously granted Award without such Participant’s consent, except such an amendment made to comply with applicable law or rule of any securities exchange or market on which the Common Stock is listed or admitted for trading or to prevent adverse tax or accounting consequences to Axogen or the Participant. Notwithstanding the foregoing, no such amendment shall be made without the approval of Axogen’s stockholders to the extent such amendment would (A) materially increase the benefits accruing to Participants under the Plan, (B) materially increase the number of shares of Common Stock which may be issued under the Plan or to a Participant, (C) materially expand the eligibility for participation in the Plan, (D) eliminate or modify the prohibition set forth in Section 7(e) on repricing of stock options and stock appreciation rights, (E) lengthen the maximum term or lower the minimum exercise price or base price permitted for stock options and stock appreciation rights, or (F) modify the prohibition on the issuance of reload or replenishment options. Except as otherwise determined by the Board or Compensation Committee, termination of the Plan shall not affect the Administrator’s ability to exercise the powers granted to it hereunder with respect to Awards granted under the Plan prior to the date of such termination.
c. Amendment of Awards. Subject to Section 7(e), the Administrator may unilaterally amend the terms of any Award theretofore granted, but no such amendment shall materially impair the rights of any Participant with respect to an Award without the Participant’s consent, except such an amendment made to cause the Plan or Award to comply with applicable law, applicable rule of any securities exchange on which the Common Stock is listed or admitted for trading, or to prevent adverse tax or accounting consequences for the Participant or the Company or any of its Affiliates. For purposes of the foregoing sentence, an amendment to an Award that results in a change in the tax consequences of the Award to the Participant shall not be considered to be a material impairment of the rights of the Participant and shall not require the Participant’s consent.
16.General Provisions.
a. Non-Guarantee of Employment or Service. Nothing in the Plan or in any Award Agreement thereunder shall confer any right on an individual to continue in the service of Axogen or any Affiliate or shall interfere in any way with the right of Axogen or any Affiliate to terminate such service at any time with or without cause or notice and whether or not such termination results in (i) the failure of any Award to vest or become payable; (ii) the forfeiture of any unvested or vested portion of any Award; and/or (iii) any other adverse effect on the individual’s interests under any Award or the Plan. No person, even though deemed an Eligible Individual, shall have a right to be selected as a Participant, or, having been so selected, to be selected again as a Participant. To the extent that an Eligible Individual who is an employee of a Subsidiary receives an Award under the Plan, that Award shall in no event be understood or interpreted to mean that Axogen is the Participant’s employer or that the Participant has an employment relationship with Axogen.
b. No Trust or Fund Created. Neither the Plan nor any Award shall create or be construed to create a trust or separate fund of any kind or a fiduciary relationship between Axogen and a Participant or any other person. To the extent that any Participant or other person acquires a right to receive payments from Axogen pursuant to an Award, such right shall be no greater than the right of any unsecured general creditor of Axogen.
B
c. Status of Awards. Awards shall be special incentive payments to the Participant and shall not be taken into account in computing the amount of salary or compensation of the Participant for purposes of determining any pension, retirement, death, severance or other benefit under (a) any pension, retirement, profit-sharing, bonus, insurance, severance or other employee benefit plan of Axogen or any Affiliate now or hereafter in effect under which the availability or amount of benefits is related to the level of compensation or (b) any agreement between (i) Axogen or any Affiliate and (ii) the Participant, except as such plan or agreement shall otherwise expressly provide.
d. Subsidiary Employees. In the case of a grant of an Award to an Eligible Individual who provides services to any Subsidiary, Axogen may, if the Administrator so directs, issue or transfer the shares of Common Stock, if any, covered by the Award to the Subsidiary, for such lawful consideration as the Administrator may specify, upon the condition or understanding that the Subsidiary will transfer the shares of Common Stock to the Eligible Individual in accordance with the terms of the Award specified by the Administrator pursuant to the provisions of the Plan. All shares of Common Stock underlying Awards that are forfeited or canceled after such issue or transfer of shares to the Subsidiary shall revert to Axogen.
e. Governing Law and Interpretation. The validity, construction and effect of the Plan, of Award Agreements entered into pursuant to the Plan, and of any rules, regulations, determinations or decisions made by the Administrator relating to the Plan or such Award Agreements, and the rights of any and all persons having or claiming to have any interest therein or thereunder, shall be determined exclusively in accordance with applicable United States federal laws and the laws of the State of Minnesota, without regard to its conflict of laws principles. The captions of the Plan are not part of the provisions hereof and shall have no force or effect. Except where the context otherwise requires: (i) the singular includes the plural and vice versa; (ii) a reference to one gender includes other genders; (iii) a reference to a person includes a natural person, partnership, corporation, association, governmental or local authority or agency or other entity; and (iv) a reference to a statute, ordinance, code or other law includes regulations and other instruments under it and consolidations, amendments, re-enactments or replacements of any of them.
f. Use of English Language. The Plan, each Award Agreement, and all other documents, notices and legal proceedings entered into, given or instituted pursuant to an Award shall be written in English, unless otherwise determined by the Administrator. If a Participant receives an Award Agreement, a copy of the Plan or any other documents related to an Award translated into a language other than English, and if the meaning of the translated version is different from the English version, the English version shall control.
g. Recovery of Amounts Paid. Except as otherwise provided by the Administrator, Awards granted under the Plan shall be subject to any and all policies, guidelines, codes of conduct, or other agreement or arrangement adopted by the Board or Compensation Committee with respect to the recoupment, recovery or clawback of compensation (collectively, the “Recoupment Policy”) and/or to any provisions set forth in the applicable Award Agreement under which Axogen may recover from current and former Participants any amounts paid or shares of Common Stock issued under an Award and any proceeds therefrom under such circumstances as the Administrator determines appropriate. The Administrator may apply the Recoupment Policy to Awards granted before the policy is adopted to the extent required by applicable law or rule of any securities exchange or market on which shares of Common Stock are listed or admitted for trading, as determined by the Administrator in its sole discretion.
B
17.Glossary.
Under this Plan, except where the context otherwise indicates, the following definitions apply:
“Administrator” means the Compensation Committee, or such other committee(s) or officer(s) duly appointed by the Board or the Compensation Committee to administer the Plan or delegated limited authority to perform administrative actions under the Plan, and having such powers as shall be specified by the Board or the Compensation Committee; provided, however, that at any time the Board may serve as the Administrator in lieu of or in addition to the Compensation Committee or such other committee(s) or officer(s) to whom administrative authority has been delegated. With respect to any Award to which Section 16 of the Exchange Act applies, the Administrator shall consist of either the Board or a committee of the Board, which committee shall consist of two or more directors, each of whom is intended to be, to the extent required by Rule 16b-3 of the Exchange Act, a “non-employee director” as defined in Rule 16b-3 of the Exchange Act and an “independent director” to the extent required by the rules of the national securities exchange that is the principal trading market for the Common Stock ; provided, that with respect to Awards made to a member of the Board who is not an employee of the Company, “Administrator” means the Board. Any member of the Administrator who does not meet the foregoing requirements shall abstain from any decision regarding an Award and shall not be considered a member of the Administrator to the extent required to comply with Rule 16b-3 of the Exchange Act.
“Affiliate” means any entity, whether now or hereafter existing, which controls, is controlled by, or is under common control with, Axogen or any successor to Axogen. For this purpose, “control” (including the correlative meanings of the terms “controlled by” and “under common control with”) shall mean ownership, directly or indirectly, of 50% or more of the total combined voting power of all classes of voting securities issued by such entity, or the possession, directly or indirectly, of the power to direct the management and policies of such entity, by contract or otherwise.
“Award” means any stock option, stock appreciation right, stock award, stock unit, Performance Share, Performance Unit, and/or Other Stock-Based Award, whether granted under this Plan.
“Award Agreement” means the written document(s), including an electronic writing acceptable to the Administrator, and any notice, addendum or supplement thereto, memorializing the terms and conditions of an Award granted pursuant to the Plan and which shall incorporate the terms of the Plan.
“Board” means the Board of Directors of Axogen.
“Cause” means, with respect to a Participant, except as otherwise provided in the relevant Award Agreement (i) the Participant’s plea of guilty or nolo contendere to, or conviction of, (A) a felony (or its equivalent in a non-United States jurisdiction) or (B) other conduct of a criminal nature that has or is likely to have a material adverse effect on the reputation or standing in the community of Axogen, any of its Affiliates or a successor to Axogen or an Affiliate, as determined by the Administrator in its sole discretion, or that legally prohibits the Participant from working for Axogen, any of its Subsidiaries or a successor to Axogen or a Subsidiary; (ii) a breach by the Participant of a regulatory rule that adversely affects the Participant’s ability to perform the Participant’s employment duties to Axogen, any of its Subsidiaries or a successor to Axogen or a Subsidiary, in any material respect; or (iii) the Participant’s failure, in any material respect, to (A) perform the Participant’s employment duties, (B) comply with the applicable policies of Axogen, or of its Subsidiaries, or a successor to Axogen or a Subsidiary, or (C) comply with covenants contained in any contract or Award Agreement to which the Participant is a party; provided, however, that the Participant shall be provided a written notice describing in reasonable detail the facts which are considered to give rise to a breach described in this clause (iii) and the Participant shall have 30 days following receipt of such written notice (the “Cure Period”) during which the
B
Participant may remedy the condition and, if so remedied, no Cause for Termination of Service shall exist.
“Change in Control” means the first of the following to occur: (i) a Change in Ownership of Axogen, (ii) a Change in Effective Control of Axogen, or (iii) a Change in the Ownership of Assets of Axogen, as described herein and construed in accordance with Code section 409A.
(i) A “Change in Ownership of Axogen” shall occur on the date that any one Person acquires, or Persons Acting as a Group acquire, ownership of the capital stock of Axogen that, together with the stock held by such Person or Group, constitutes more than 50% of the total fair market value or total voting power of the capital stock of Axogen. However, if any one Person is, or Persons Acting as a Group are, considered to own more than 50%, on a fully diluted basis, of the total fair market value or total voting power of the capital stock of Axogen, the acquisition of additional stock by the same Person or Persons Acting as a Group is not considered to cause a Change in Ownership of Axogen or to cause a Change in Effective Control of Axogen (as described below). An increase in the percentage of capital stock owned by any one Person, or Persons Acting as a Group, as a result of a transaction in which Axogen acquires its stock in exchange for property will be treated as an acquisition of stock.
(ii) A “Change in Effective Control of Axogen” shall occur on the date either (A) a majority of members of Axogen’s Board is replaced during any 12-month period by directors whose appointment or election is not endorsed by a majority of the members of Axogen’s Board before the date of the appointment or election, or (B) any one Person, or Persons Acting as a Group, acquires (or has acquired during the 12-month period ending on the date of the most recent acquisition by such Person or Persons) ownership of stock of Axogen possessing 50% or more of the total voting power of the stock of Axogen.
(iii) A “Change in the Ownership of Assets of Axogen” shall occur on the date that any one Person acquires, or Persons Acting as a Group acquire (or has or have acquired during the 12-month period ending on the date of the most recent acquisition by such Person or Persons), assets from Axogen that have a total gross fair market value equal to or more than 51% of the total gross fair market value of all of the assets of Axogen immediately before such acquisition or acquisitions. For this purpose, gross fair market value means the value of the assets of Axogen, or the value of the assets being disposed of, determined without regard to any liabilities associated with such assets.
The following rules of construction apply in interpreting the definition of Change in Control:
(A) A “Person” means any individual, entity or group within the meaning of Section 13(d)(3) or 14(d)(2) of the Securities Exchange Act of 1934, as amended, other than employee benefit plans sponsored or maintained by Axogen and by entities controlled by Axogen or an underwriter, initial purchaser or placement agent temporarily holding the capital stock of Axogen pursuant to a registered public offering.
(B) Persons will be considered to be Persons Acting as a Group (or Group) if they are owners of a corporation that enters into a merger, consolidation, purchase or acquisition of stock, or similar business transaction with the corporation. If a Person owns stock in both corporations that enter into a merger, consolidation, purchase or acquisition of stock, or similar transaction, such shareholder is considered to be acting as a Group with other shareholders only with respect to the ownership in that corporation before the transaction giving rise to the change and not with respect to the ownership interest in the other corporation. Persons will not be considered to be acting as a Group solely because they purchase assets of the same corporation at the same time or purchase or own stock of the same corporation at the same time, or as a result of the same public offering.
B
(C) A Change in Control shall not include a transfer to a related person as described in Code section 409A or a public offering of capital stock of Axogen.
(D) For purposes of the definition of Change in Control, Section 318(a) of the Code applies to determine stock ownership. Stock underlying a vested option is considered owned by the individual who holds the vested option (and the stock underlying an unvested option is not considered owned by the individual who holds the unvested option). For purposes of the preceding sentence, however, if a vested option is exercisable for stock that is not substantially vested (as defined by Treasury Regulation §1.83-3(b) and (j)), the stock underlying the option is not treated as owned by the individual who holds the option.
“Code” means the Internal Revenue Code of 1986, as amended from time to time, and any successor thereto, the Treasury Regulations thereunder and other relevant interpretive guidance issued by the Internal Revenue Service or the Treasury Department. Reference to any specific section of the Code shall be deemed to include such regulations and guidance, as well as any successor section, regulations and guidance.
“Common Stock” means shares of common stock of Axogen, par value $0.01 per share, and any capital securities into which they are converted.
“Company” means Axogen, Inc. and its Subsidiaries, except where the context otherwise requires. For purposes of determining whether a Change in Control has occurred, Company shall mean only Axogen.
“Compensation Committee” means the Compensation Committee of the Board.
“Dividend Equivalent” means a right, granted to a Participant, to receive cash, Common Stock, stock Units or other property equal in value to dividends paid with respect to a specified number of shares of Common Stock.
“Effective Date” means the date on which adoption of the Plan, as amended and restated herein, is approved by the stockholders of Axogen.
“Eligible Individuals” means (i) officers and employees of, and other individuals, including non-employee directors, who are natural persons providing bona fide services to or for, Axogen or any of its Subsidiaries, provided that such services are not in connection with the offer or sale of securities in a capital-raising transaction and do not directly or indirectly promote or maintain a market for Axogen’s securities, and (ii) prospective officers, employees and service providers who have accepted offers of employment or other service relationship from Axogen or a Subsidiary.
“Exchange Act” means the Securities Exchange Act of 1934, as amended from time to time, and any successor thereto. Reference to any specific section of the Exchange Act shall be deemed to include such regulations and guidance issued thereunder, as well as any successor section, regulations and guidance.
“Fair Market Value” means, on a per share basis as of any date, unless otherwise determined by the Administrator:
(i) if the principal market for the Common Stock (as determined by the Administrator if the Common Stock is listed or admitted to trading on more than one exchange or market)
B
is a national securities exchange or an established securities market, the official closing price per share of Common Stock for the regular market session on that date on the principal exchange or market on which the Common Stock is then listed or admitted to trading or, if no sale is reported for that date, on the last preceding day on which a sale was reported, all as reported by such source as the Administrator may select;
(ii) if the principal market for the Common Stock is not a national securities exchange or an established securities market, but the Common Stock is quoted by a national quotation system, the average of the highest bid and lowest asked prices for the Common Stock on that date as reported on a national quotation system or, if no prices are reported for that date, on the last preceding day on which prices were reported, all as reported by such source as the Administrator may select; or
(iii) if the Common Stock is neither listed or admitted to trading on a national securities exchange or an established securities market, nor quoted by a national quotation system, the value determined by the Administrator in good faith by the reasonable application of a reasonable valuation method, which method may, but need not, include taking into account an appraisal of the fair market value of the Common Stock conducted by a nationally recognized appraisal firm selected by the Administrator.
Notwithstanding the preceding, for foreign, federal, state and local income tax reporting purposes and for such other purposes as the Administrator deems appropriate, the Fair Market Value shall be determined by the Administrator in accordance with uniform and nondiscriminatory standards adopted by it from time to time.
“Incentive Stock Option” means any stock option that is designated, in the applicable Award Agreement or the resolutions of the Administrator under which the stock option is granted, as an “incentive stock option” within the meaning of Section 422 of the Code and otherwise meets the requirements to be an “incentive stock option” set forth in Section 422 of the Code.
“Non-Employee Director” means a member of the Board who is not an employee of Axogen, Inc. or any of its Affiliates.
“Nonqualified Option” means any stock option that is not an Incentive Stock Option.
“Other Stock-Based Award” means an Award of Common Stock or any other Award that is valued in whole or in part by reference to, or is otherwise based upon, shares of Common Stock, including without limitation Dividend Equivalents and convertible debentures.
“Participant” means an Eligible Individual to whom one or more Awards are or have been granted pursuant to the Plan and have not been fully settled or cancelled and, following the death of any such person, his successors, heirs, executors and administrators, as the case may be.
“Performance Award” means a Full Value Award, the grant, vesting, lapse of restrictions or settlement of which is conditioned upon the achievement of performance objectives over a specified Performance Period and includes, without limitation, Performance Shares and Performance Units.
“Performance Goals” means the performance goals established by the Administrator in connection with the grant of Awards based on Performance Metrics or other performance criteria selected by the Administrator.
B
“Performance Period” means that period established by the Administrator during which any Performance Goals specified by the Administrator with respect to such Award are to be measured.
“Performance Metrics” means criteria established by the Administrator relating to any of the following, as it may apply to an individual, one or more business units, divisions, or Affiliates, or on a company-wide basis, and in absolute terms, relative to a base period, or relative to the performance of one or more comparable companies, peer groups, or an index covering multiple companies:
(i) Earnings or Profitability Metrics: any derivative of revenue; earnings/loss (gross, operating, net, or adjusted); earnings/loss before interest and taxes (“EBIT”); earnings/loss before interest, taxes, depreciation and amortization (“EBITDA”); profit margins; operating margins; combined ratio; expense levels or ratios; provided that any of the foregoing metrics may be adjusted to eliminate the effect of any one or more of the following: interest expense, asset impairments or investment losses, early extinguishment of debt or stock-based compensation expense;
(ii) Return Metrics: any derivative of return on investment, assets, equity or capital (total or invested);
(iii) Investment Metrics: relative risk-adjusted investment performance; investment performance of assets under management;
(iv) Cash Flow Metrics: any derivative of operating cash flow; cash flow sufficient to achieve financial ratios or a specified cash balance; free cash flow; cash flow return on capital; net cash provided by operating activities; cash flow per share; working capital;
(v) Liquidity Metrics: any derivative of debt leverage (including debt to capital, net debt-to-capital, debt-to-EBITDA or other liquidity ratios); and/or
(vi) Stock Price and Equity Metrics: any derivative of return on stockholders’ equity; total stockholder return; stock price; stock price appreciation; market capitalization; earnings/loss per share (basic or diluted) (before or after taxes).
The Administrator may also establish such other performance criteria as determined in its discretion.
“Performance Shares” means a grant of stock or stock Units the issuance, vesting or payment of which is contingent on performance as measured against predetermined objectives over a specified Performance Period.
“Performance Units” means a grant of dollar-denominated Units the value, vesting or payment of which is contingent on performance against predetermined objectives over a specified Performance Period.
“Plan” means this Axogen, Inc. Third Amended and Restated 2019 Long-Term Incentive Plan, as set forth herein and as it may be amended from time to time.
“Restricted Stock” means an Award of shares of Common Stock to a Participant that may be subject to certain transferability and other restrictions and to a risk of forfeiture (including by reason of not satisfying certain Performance Goals).
B
“Restricted Stock Unit” means a right granted to a Participant to receive shares of Common Stock or cash at the end of a specified deferral period, which right may be conditioned on the satisfaction of certain requirements (including the satisfaction of certain Performance Goals).
“Restriction Period” means, with respect to Full Value Awards, the period commencing on the date of grant of such Award to which vesting or transferability and other restrictions and a risk of forfeiture apply and ending upon the expiration of the applicable vesting conditions, transferability and other restrictions and lapse of risk of forfeiture and/or the achievement of the applicable Performance Goals.
“Subsidiary” means any corporation or other entity in an unbroken chain of corporations or other entities beginning with Axogen if each of the corporations or other entities, or group of commonly controlled corporations or other entities, other than the last corporation or other entity in the unbroken chain then owns stock or other equity interests possessing 50% or more of the total combined voting power of all classes of stock or other equity interests in one of the other corporations or other entities in such chain or otherwise has the power to direct the management and policies of the entity by contract or by means of appointing a majority of the members of the board or other body that controls the affairs of the entity; provided, however, that solely for purposes of determining whether a Participant has a Termination of Service that is a “separation from service” within the meaning of Section 409A of the Code or whether an Eligible Individual is eligible to be granted an Award that in the hands of such Eligible Individual would constitute a “nonqualified deferred compensation plan” within the meaning of Section 409A of the Code , a “Subsidiary” of a corporation or other entity means all other entities with which such corporation or other entity would be considered a single employer under Sections 414(b) or 414(c) of the Code.
“Tax Withholding Obligation” means any federal, state, local or foreign (non-United States) income, employment or other tax or social insurance contribution required by applicable law to be withheld in respect of Awards.
“Termination of Service” means the termination of the Participant’s employment or consultancy with, or performance of services for, Axogen and its Subsidiaries. Temporary absences from employment because of illness, vacation or leave of absence and transfers among Axogen and its Subsidiaries shall not be considered Terminations of Service. With respect to any Award that constitutes a “nonqualified deferred compensation plan” within the meaning of Section 409A of the Code, “Termination of Service” shall mean a “separation from service” as defined under Section 409A of the Code to the extent required by Section 409A of the Code to avoid the imposition of any tax or interest or the inclusion of any amount in income pursuant to Section 409A of the Code. A Participant has a separation from service within the meaning of Section 409A of the Code if the Participant terminates employment with Axogen and all Subsidiaries for any reason. A Participant will generally be treated as having terminated employment with Axogen and all Subsidiaries as of a certain date if the Participant and the entity that employs the Participant reasonably anticipate that the Participant will perform no further services for Axogen or any Subsidiary after such date or that the level of bona fide services that the Participant will perform after such date (whether as an employee or an independent contractor) will permanently decrease to no more than 20 percent (20%) of the average level of bona fide services performed (whether as an employee or an independent contractor) over the immediately preceding 36-month period (or the full period of services if the Participant has been providing services for fewer than 36 months); provided, however, that the employment relationship is treated as continuing while the Participant is on military leave, sick leave or other bona fide leave of absence if the period of leave does not exceed six months or, if longer, so long as the Participant retains the right to reemployment with Axogen or any Subsidiary.
B
“Total and Permanent Disability” means, with respect to a Participant, except as otherwise provided in the relevant Award Agreement, that a Participant is (i) unable to engage in any substantial gainful activity by reason of any medically determinable physical or mental impairment that can be expected to last until the Participant’s death or result in death, or (ii) determined to be totally disabled by the Social Security Administration or other governmental or quasi-governmental body that administers a comparable social insurance program outside of the United States in which the Participant participates and which conditions the right to receive benefits under such program on the Participant being unable to engage in any substantial gainful activity by reason of any medically determinable physical or mental impairment that can be expected to last until the Participant’s death or result in death. The Administrator shall have sole authority to determine whether a Participant has suffered a Total and Permanent Disability and may require such medical or other evidence as it deems necessary to judge the nature and permanency of the Participant’s condition.
“Unit” means a bookkeeping entry used by Axogen to record and account for the grant of the following types of Awards until such time as the Award is paid, cancelled, forfeited or terminated, as the case may be: stock units, Restricted Stock Units, Performance Units, and Performance Shares that are expressed in terms of units of Common Stock.
{end of document}
B




