EX-10.4
Published on October 29, 2020
Exhibit 10.4
AMENDED AND RESTATED EMPLOYMENT AGREEMENT
THIS AMENDED AND RESTATED EMPLOYMENT AGREEMENT (the “Agreement”), effective as of November 1, 2020 (the “Effective Date”), is made by and between AXOGEN CORPORATION, a Delaware corporation (“AXOGEN”), and Maria Martinez (“Employee”) (collectively, the “Parties”).
RECITALS:
WHEREAS, AXOGEN and Employee previously entered into an Executive Employment Agreement, as amended from time to time, dated October 29, 2018 (the “Prior Agreement”); and
WHEREAS, AXOGEN and the Employee desire to enter into this Agreement to amend, restate and supersede the terms and conditions of the Prior Agreement in its entirety on the Effective Date on the terms and conditions set forth in this Agreement.
NOW, THEREFORE, in consideration of the promises set forth in this Agreement, and for other good and valuable consideration, the receipt and adequacy of which is acknowledged by this Agreement, the Parties to this Agreement, intending to be legally bound, agree as follows:
1.Employment. AXOGEN hereby employs Employee, and Employee hereby accepts such employment, all upon the terms and conditions set forth in this Agreement, including those set forth in the attached Schedules and Exhibits.
(a)Duties of Employee. The duties of Employee, as may be amended from time to time, are set forth on Schedule 1 of this Agreement, which is attached hereto and incorporated herein by reference.
(b)Compensation and Benefits. The compensation and benefits to which Employee may be entitled pursuant to this Agreement are set forth on Schedule 2 and Schedule 3 of this Agreement, which is attached hereto and incorporated herein by reference.
2.Confidentiality, Intellectual Property, Non-Competition and Non-Solicitation Agreement. Contemporaneously with the execution and delivery of this Agreement, Employee shall enter into a Confidentiality, Intellectual Property, Non-Competition and Non-Solicitation Agreement attached hereto as Exhibit A to this Agreement, which shall be incorporated herein by reference.
3. |
Termination. |
(a)At-will. Either AXOGEN or Employee may terminate this Agreement at any time during the course of Employee’s employment and for any reason, upon giving written notice to the other party. Other than as described in this Agreement, AXOGEN shall have no further liability or obligation to Employee other than to pay for services rendered through Employee’s last date of employment. If Employee elects to terminate this Agreement and provides AXOGEN with any notice period prior to the date of termination, AXOGEN may elect to terminate this Agreement immediately thereon and incur no further obligation to Employee other than for wages worked through the date of termination of this Agreement and any other
1
remuneration expressly set forth herein or as otherwise set forth in AXOGEN’s policies. It is the intention of the Parties that at all times this shall be an at-will employment relationship during the course of Employee’s employment with AXOGEN. Nothing contained in this Agreement shall be deemed or construed to create a contractual relationship between the Parties for a specific duration of time.
(b)Death. In the event of the death of the Employee, this Agreement shall terminate on the date of Employee’s death, without any liability to or upon AXOGEN other than to pay for services rendered prior to the date of the Employee’s death, subject to the terms of AXOGEN’s plans and policies, as may be amended.
(c)Permanent Disability. For purposes of this Agreement, the term “Permanent Disability” shall mean a physical or mental incapacity of Employee as determined by an independent medical examination, which renders Employee unable to perform Employee’s duties pursuant to this Agreement, and which shall continue for ninety (90) consecutive days or one hundred and eighty (180) days during any twelve-month period. If AXOGEN or Employee terminates Employee’s employment by reason of Permanent Disability of Employee, this Agreement shall terminate immediately upon written notice by AXOGEN to Employee, or the date Employee gives notice to terminate employment to AXOGEN, without any liability to or upon AXOGEN other than to pay for services rendered through the termination date, subject to the terms of AXOGEN’s plans and policies, as may be amended.
4. |
Change in Control. |
(a)Definition. For the purposes of this Agreement, a “Change in Control” shall mean the occurrence of any of the following events:
(i)any “person” (as that term is used in Sections 13(d) and 14(d) of the Securities Exchange Act of 1934, as amended (“Exchange Act”)), who holds less than twenty percent (20%) of the combined voting power of the securities of AXOGEN or its parent company Axogen, Inc. (“INC.”), becomes the “beneficial owner’’ (as defined in Rule 13d-3 under the Exchange Act), directly or indirectly, of securities of AXOGEN or INC. representing fifty percent (50%) or more of the combined voting power of the securities of either AXOGEN or INC. then outstanding; or
(ii)during any period of twenty-four (24) consecutive months, individuals, who, at the beginning of such period constitute all members of the Board of Directors of INC. (the “Board”) and cease, for any reason, to constitute at least a majority of the Board, unless the election of each director who was not a director at the beginning of the period was either nominated for election by, or approved by a vote of, at least two-thirds of the directors then still in office who were directors at the beginning of the period; or
(iii)AXOGEN or INC. consolidates or merges with another company, and AXOGEN or INC. is not the continuing or surviving corporation, provided, however, that any consolidation or merger whereby INC. continues as the majority holder of AXOGEN securities or a merger or consolidation of AXOGEN and INC. will not constitute a Change in Control; or
2
(iv)shares of AXOGEN’s or INC.’s common stock are converted into cash, securities, or other property, other than by a merger of AXOGEN or INC., pursuant to Section 4(a)(iii), in which the holders of AXOGEN’s or INC.’s common stock immediately prior to the merger have the same proportionate ownership of common stock of the surviving corporation as immediately after the merger; or
(v)AXOGEN or INC. sells, leases, exchanges, or otherwise transfers all, or substantially all, of its assets (in one transaction or in a series of related transactions), provided, however, that any such transaction related to AXOGEN whereby INC. continues as the majority holder of AXOGEN securities or INC. is the sole other party to the transaction, will not constitute a Change in Control; or
(vi)the holders of AXOGEN’s or INC.’s stock approve a plan or proposal for the liquidation or dissolution of AXOGEN or INC.
(b) |
Separation. |
(i)Termination in Connection with a Change in Control. In the event of Employee’s termination of employment without Substantial Cause (as defined below) or by Employee for Good Reason during the Protection Period, Employee will be entitled to a separation payment consisting of: (A) eighteen (18) months of Employee’s base salary; and (B) an amount equal to a 150% of any bonuses or commissions paid to Employee during the year prior to Employee’s termination of employment.
(ii)For purposes of this Agreement, “Protection Period” means the period commencing on the date of the Change in Control and ending three hundred sixty five (365) days following the Change in Control; provided, however, that in the case of an Anticipatory Termination, the Protection Period shall also include the ninety (90) day period preceding the Change of Control. For purposes of this Agreement, an “Anticipatory Termination” means a termination of Employee’s employment without Substantial Cause in anticipation of a Change in Control (by reason of the request of the individual, entity or other person (or their representatives) who subsequently acquire AXOGEN or INC. (the “Acquirer”)).\
(iii)For purposes of this Agreement, “Substantial Cause” is the occurrence of any of the following during the course of Employee’s employment with AXOGEN:
a) |
the commission by Employee of any act of fraud, theft, or embezzlement involving AXOGEN or INC.; |
b) |
any material breach by Employee of this Agreement, provided that AXOGEN shall have first delivered to Employee written notice of the alleged breach, specifying the exact nature of the breach in detail, and provided, further, that Employee shall have failed to cure or substantially mitigate such breach within twenty (20) days after receiving such written notice; |
3
c) |
a conviction of any felony, or of any misdemeanor involving moral turpitude, or entry of a plea of guilty or nolo contendere to any felony or misdemeanor involving moral turpitude; |
d) |
willful and material failure to adhere to AXOGEN’s or INC.’s corporate codes, policies or procedures which have been adopted in good faith for a valid business purpose as in effect from time to time; or |
e) |
a material failure to meet reasonable performance standards as determined by AXOGEN or INC. |
(iv) |
For purposes of this Agreement, “Good Reason” shall mean Employee’s resignation from employment upon or within three hundred sixty five (365) days following a Change in Control, provided that Substantial Cause for termination of Employee’s employment does not exist at the time of such resignation and the resignation is the result of the occurrence of any one or more of the following: |
a)the assignment to Employee of any duties inconsistent with Employee’s (including status, offices, titles, and reporting requirements), authorities, duties, or other responsibilities as in effect immediately prior to the Change in Control of AXOGEN or INC. or any other action of AXOGEN, INC., or the Acquirer that results in a material diminishment in such position, authority, duties, or responsibilities, other than an insubstantial and/or inadvertent action which is remedied by AXOGEN, INC., or the Acquirer promptly after receipt of notice thereof given by Employee;
b)a reduction by AXOGEN, INC., or the Acquirer, absent Substantial Cause, in Employee’s base salary as in effect on the date hereof and as the same shall be increased from time to time hereafter; or
c)Employee is required to perform a substantial portion of her duties at a facility which is more than 50 miles from the facility for which Employee performed a substantial portion of her duties immediately prior to the Change in Control.
However, the foregoing events or conditions will constitute Good Reason only if (i) such event or condition occurs during the period commencing on the date of the Change in Control and ending three hundred sixty fifty (365) days thereafter and (ii) the Employee provides AXOGEN, INC., or the Acquirer with written objection to the event or condition within sixty (60) days following the occurrence thereof, AXOGEN, INC., or the Acquirer does not reverse or otherwise cure the event or condition within thirty (30) days of receiving that written objection and the Employee resigns the Employee’s employment within ninety (90) days following the expiration of that cure period.
(v) |
Termination not in Connection with a Change in Control. In the event of Employee’s termination of employment by AXOGEN without Substantial Cause not in |
4
connection with a Change in Control, Employee shall be entitled to a separation payment consisting of: (a) twelve (12) months of Employee’s base salary; and (b) an amount equal to 100% of any bonuses or commissions paid to Employee during the year prior to Employee’s termination of employment.
(c)Payment of Separation Pay. As a condition of receiving any separation pay under this Section 4, Employee must sign (and not revoke) a separation, waiver and release agreement (to be prepared by AXOGEN at the time of Employee’s termination) of all claims (known and unknown) against AXOGEN and INC. arising out of or relating to Employee’s employment with AXOGEN or termination thereof, excluding claims for separation pay under this Section 4, as well as any other terms and conditions reasonably required by AXOGEN. The Separation Payment will be made in a lump sum on the first payroll date following the 60th day following the date of Employee’s execution of the separation, waiver and release agreement; provided, however, that if the 60 day period spans two (2) calendar years, the payments will commence in the second calendar year. Notwithstanding the foregoing, if the Employee is a “specified employee” on Employee’s termination date, the postponement provisions of Section 409A of the Internal Revenue Code of 1986, as amended (the “Code”), as described in Section 8(n) below, shall apply, if applicable.
Further, in the event Employee is entitled to separation payments pursuant to this Agreement and so long as AXOGEN or INC. is subject to federal COBRA and Employee timely elects continuation coverage under COBRA, AXOGEN or INC. shall pay the premiums for the Employee and Employee’s covered dependent’s COBRA (i) for the first eighteen (18) months of the COBRA continuation period in the event that the termination is in connection with a Change in Control or the first twelve (12) months of the COBRA continuation period in the event that the termination is not in connection with a Change in Control, or (ii) until such time as the Employee obtains new employment that provides reasonable and comparable health care coverage (including without limitation, coverage of dependents), whichever period is shorter. Employee has the duty to immediately notify the applicable entity, in writing, if the event in (ii) above occurs.
(d)Limitation on Payments.
(i)Notwithstanding any other provision of this Agreement or any other plan, arrangement or agreement to the contrary, if any of the payments or benefits provided or to be provided to Employee pursuant to the terms of this Agreement or otherwise (“Covered Payments”) constitute parachute payments (“Parachute Payments”) within the meaning of Section 280G of the Internal Revenue Code of 1986, as amended (the “Code”) and would, but for this Section 4(d) be subject to the excise tax imposed under Section 4999 of the Code (or any successor provision thereto) or any similar tax imposed by state or local law or any interest or penalties with respect to such taxes (collectively, the “Excise Tax”), then prior to making the Covered Payments, a calculation shall be made comparing (a) the Net Benefit (as defined below) to the Employee of the Covered Payments after payment of the Excise Tax to (b) the Net Benefit to the Employee if the Covered Payments are limited to the extent necessary to avoid being subject to the Excise Tax. Only if the amount calculated under (a) above is less than the amount under (b) above will the Covered Payments be reduced to the minimum extent necessary to ensure that no portion of the Covered Payments is subject to the Excise Tax (that amount, the “Reduced Amount”). “Net Benefit” shall mean the present value of the Covered Payments net of all federal, state, local, foreign income,
5
employment and excise taxes.
(ii)The Covered Payments shall be reduced in a manner that maximizes the Employee’s economic position. To the extent that Section 409A of the Code is applicable, then in applying this principle, the reduction shall be made in a manner consistent with the requirements of Section 409A of the Code, and where two economically equivalent amounts are subject to reduction but payable at different times, such amounts shall be reduced on a pro rata basis but not below zero.
(iii)Any determination required under this Section 4(d) shall be made in writing in good faith by an independent accounting firm or other independent consultant selected by the Company (the “Accountants”) which shall provide detailed supporting calculations to AXOGEN and the Employee as requested by AXOGEN. AXOGEN and the Employee shall provide the Accountants with such information and documents as the Accountants may reasonably request in order to make a determination under this Section 4(d). For purposes of making the calculations and determinations required by this Section 4(d), the Accountants may rely on reasonable, good faith assumptions and approximations concerning the application of Section 280G and Section 4999 of the Code. The Accounting Firm’s determinations shall be final and binding on AXOGEN and the Employee. AXOGEN shall be responsible for all fees and expenses incurred by the Accountants in connection with the calculations required by this Section 4(d).
(iv)It is possible that after the determinations and selections made pursuant to this Section 4(d) the Employee will receive Covered Payments that are in the aggregate more than the amount provided under this Section (“Overpayment”) or less than the amount provided under this Section (“Underpayment”).
(v)In the event that: (a) the Accountants determine, based upon the assertion of a deficiency by the Internal Revenue Service against either AXOGEN or the Employee which the Accountants believe has a high probability of success, that an Overpayment has been made or (b) it is established pursuant to a final determination of a court or an Internal Revenue Service proceeding that has been finally and conclusively resolved that an Overpayment has been made, then the Employee shall pay any such Overpayment to AXOGEN.
(vi)In the event that: (a) the Accountants, based upon controlling precedent or substantial authority, determine that an Underpayment has occurred or (b) a court of competent jurisdiction determines that an Underpayment has occurred, any such Underpayment will be paid promptly by AXOGEN to or for the benefit of the Employee.
5.Surrender of Records and all AXOGEN and INC. Property. Upon termination of Employee’s employment with AXOGEN or INC for any reason, or at any time as AXOGEN or INC. requests, Employee will immediately return to AXOGEN and INC., as applicable all Confidential Information and other tangible property that belongs to AXOGEN or INC. in Employee’s possession; such tangible property includes but is not limited to: all keys and security and credit cards; all products, product samples, computers, cellular phones and other electronic devices; and all customer and account files, price lists, product information, training manuals, advertising and promotional materials, handbooks and polices (in physical or
6
electronic format). Employee shall not retain possession of any copies of correspondence, memoranda, reports, notebooks, drawings, photographs notes, research and scientific data, and tangible communications concerning the same, or other documents in any form whatsoever (including information contained in computer memory or any portable storage device (e.g., a “thumb drive”) relating in any way to the Confidential Information obtained by or entrusted to Employee during Employee’s employment. and confirm such return in writing.
6. |
Miscellaneous Provisions. |
(a) |
Amendments to this Agreement only in Writing. The provisions of this Agreement and the attached Schedules and Exhibits shall only be modified by a written agreement executed by both a duly authorized officer of AXOGEN and Employee. |
(b) |
Assignments. Employee shall not assign Employee’s rights and/or obligations pursuant to this Agreement or the attached Schedules and Exhibits. AXOGEN may assign its rights and/or obligations pursuant to this Agreement and the attached Schedules and Exhibits at any time without prior notice to Employee. In the event of a Change in Control in which AXOGEN or INC. is not the surviving entity, any reference to AXOGEN or INC. shall be deemed to refer to the surviving entity. |
(c) |
Binding Effect. All of the terms and provisions of this Agreement and the attached Schedules and Exhibits, whether so expressed or not, shall be binding upon, inure to the benefit of, and be enforceable by the Parties and their respective administrators, executors, legal representatives, heirs, successors and permitted assigns. |
(d) |
The Provisions of this Agreement are Severable. If any part of this Agreement, or any of the Schedules or Exhibits entered into pursuant to this Agreement, is contrary to, prohibited by, or deemed invalid under any applicable law or regulation, such provision shall be inapplicable and deemed omitted to the extent so contrary, prohibited or invalid, but the remainder of this Agreement and its Schedules and Exhibits shall not be so invalidated, and shall be given full force and effect so far as possible. |
(e) |
Survival. Notwithstanding anything to the contrary in this Agreement, the provisions of Sections 1 through 6 shall survive and remain in effect beyond the execution and delivery of this Agreement in accordance with their respective terms of duration. |
(f) |
Waivers. The failure or delay of AXOGEN or Employee at any time to require performance of any provision of this Agreement or the attached Schedules and Exhibits, even if known, shall not affect the rights of AXOGEN or Employee to require performance of that provision or to exercise any right, power or remedy pursuant to this Agreement or the attached Schedules and Exhibits. Any waiver by AXOGEN or Employee of any breach of any provision of this Agreement or the attached Schedules and Exhibits shall not be construed as a waiver of any continuing or succeeding breach of such provision, a waiver of the provision itself, or a waiver of any right, power or remedy pursuant to this Agreement or the attached Schedules and Exhibits. |
7
(g) |
Notices. All notices, requests, consents and other communications required or permitted under this Agreement shall be in writing and shall be (i) delivered via electronic notification; (ii) hand-delivered by messenger or courier service; (iii) sent by an overnight-mail service (e.g. FedEx or UPS); or (iv) mailed (airmail, if international) by registered or certified mail (postage prepaid), return receipt requested, and addressed to: |
If to Employee:
Employee’s most current address on file with AXOGEN.
If to AXOGEN: |
With a copy to: |
|
|
AXOGEN Corporation |
AXOGEN Corporation |
13631 Progress Blvd., Ste. 400 |
13631 Progress Blvd., Ste. 400 |
Alachua, FL 32615 |
Alachua, FL 32615 |
Attn: Office of the General Counsel |
Attn: Human Resources |
or to such other address as any party may designate by written notice complying with the terms of this Section. Each such notice shall be deemed delivered (a) on the date delivered, if by personal delivery, or (b) on the date upon which the return receipt is signed, delivery is refused, or the notice is designated by the postal authorities as not deliverable, as the case may be, if mailed.
(h) |
Governing Law. This Agreement and the attached Schedules and Exhibits and all transactions contemplated by this Agreement or the attached Schedules and Exhibits shall be governed by, and construed and enforced in accordance with, the laws of the State of Florida. |
(i) |
Jurisdiction and Venue. The Parties acknowledge that a substantial portion of negotiations, anticipated performance and execution of this Agreement and the attached Schedules and Exhibits occurred, or shall occur, in Hillsborough County, Florida, and the Parties irrevocably and unconditionally (a) agree that any suit, action or legal proceeding arising out of, or relating to, this Agreement or the attached Schedules and Exhibits shall be brought in the courts of record of the State of Florida in Hillsborough County, or the United States District Court, Middle District of Florida, Tampa Division; (b) consent to the personal jurisdiction of each such court in any such suit, action or proceeding; (c) waive any objection which they may have to the laying of venue of any such suit, action or proceeding in any of such courts; and (d) agree that service of any court paper may be effected on such party by mail, as provided in this Agreement, or in such other manner as may be provided under applicable laws or court rules in said state. |
(j) |
Remedies Available to Either Party Cumulative. No remedy conferred upon any party pursuant to this Agreement (or the attached Schedules and Exhibits) is intended to be exclusive of any other remedy, and each and every such remedy shall be cumulative and shall be in addition to every other remedy given pursuant to this Agreement (or the attached Schedules and Exhibits) now or hereafter existing at law or in equity or by statute or otherwise. No single or partial exercise |
8
by any party of any right, power or remedy pursuant to this Agreement (or the attached Schedules and Exhibits) shall preclude any other or further exercise of such right, power or remedy.
(k) |
Entire Agreement. This Agreement and the attached Schedules and Exhibits represents the entire understanding and agreement between the Parties with respect to the subject matter contained herein and supersedes all other agreements, negotiations, understandings and representations (if any) made by and between the Parties regarding such subject matter. The Parties represent that they have not relied on any statement, promise, or representation not set forth herein in entering into this Agreement. |
(l) |
Section and Paragraph Headings. Section and paragraph headings used throughout this Agreement and the attached Schedules and Exhibits are for convenience of reference only and in no way define, limit or describe the scope or intent of this Agreement or the attached Schedules and Exhibits. |
(m) |
Preparation of Agreement. This Agreement shall not be construed more strongly against any party regardless of who is responsible for its preparation. The Parties acknowledge that each party contributed to its negotiations and is equally responsible for its preparation. |
(n) |
Section 409A of the Code. Notwithstanding any provision of this Agreement to the contrary, this Agreement is intended to meet the requirements of Section 409A of the Internal Revenue Code of 1986, as amended (the “Code”) to the extent applicable, the Parties intend to administer this Agreement in a manner that is consistent with those requirements or an exception thereto, and this Agreement shall be construed and interpreted in accordance with such intent. Any payments that are considered deferred compensation under Section 409A of the Code and that are paid to a “specified employee” (as defined in Section 409A of the Code) upon separation from service shall be subject to a six (6) month delay, if required by Section 409A of the Code. If required by Section 409A of the Code, any amounts otherwise payable during the six (6) month period that commences on and follows the Employee’s termination date shall be paid in one lump sum amount on the first payroll date following the six (6) month period following the Employee date of termination (or within thirty (30) days of the Employee’s death, if earlier). For purposes of Section 409A of the Code, all payments to be made upon a termination of employment under this Agreement may only be made upon a “separation from service” (within the meaning of such term under Section 409A of the Code). Each payment made under this Agreement shall be treated as a separate payment. In no event shall the Employee, directly or indirectly, designate the calendar year of a payment. All reimbursements under this Agreement shall be provided in a manner that complies with Section 409A of the Code, if applicable. If required by regulations or other guidance issued under Section 409A of the Code or a court of competent jurisdiction, the provisions regarding payments hereunder shall be amended to provide for such payments to be made at the time allowed under such regulations, guidance or authority that most closely achieves the intent of this Agreement. |
9
(o) |
Liability Insurance. AXOGEN shall cover, at its sole cost and expense, the Employee under directors and officers liability insurance both during the term of this Agreement and for the one year period following the termination of this Agreement, in the same amount and to the same extent as AXOGEN covers its officers and directors. |
EMPLOYEE AND AXOGEN have executed this Agreement as of the _29_ day of October, 2020.
|
AXOGEN CORPORATION |
|
|
/s/ Karen Zaderej |
|
|
Name: |
Karen Zaderej |
|
Title: |
CEO, President & Chairman |
|
|
|
|
EMPLOYEE: |
|
|
|
|
|
/s/ Maria Martinez |
|
|
Maria Martinez |
|
10
SCHEDULE AND EXHIBIT LIST
Schedule 1 - Duties of Employee
Schedule 2 - Compensation and Benefits
Schedule 3 - Offer Letter
Exhibit A - Confidentiality, Intellectual Property, Non-Competition and Non-Solicitation Agreement
SCHEDULE 1 - DUTIES OF EMPLOYEE
The duties of Employee with AXOGEN CORPORATION (“AXOGEN”) are as follows:
1.Employee’s Title: AXOGEN hereby employs Employee as Chief Human Resources Officer, which title may change at AXOGEN’s discretion.
2. |
Employee’s Duties: During employment with AXOGEN, Employee’s duties will include, without limitation, the following: |
· |
Report directly to the Chairman, Chief Executive Officer, and President. |
· |
Plan, develop, organize, implement, direct, and evaluate the organization's human resource function and performance. |
· |
Become an integral member in AXOGEN’s business planning. |
· |
Be a trusted advisor to the AXOGEN executive team providing knowledge, guidance and leadership. |
· |
Coach and influence across the AXOGEN organization where needed. |
· |
Represent Human Resources in Board of Directors meetings and external functions. |
· |
Translate the strategic and tactical business plans into Human Resource strategic and operational plans. |
· |
Evaluate and advise on the impact of long-range planning of new programs/strategies and regulatory action as those items impact the attraction, motivation, development, and retention of the people resources of AXOGEN. |
· |
Embrace the mission, strategic vision and culture of AXOGEN ensuring employees skills and behaviors are aligned via performance reviews, communication and other appropriate methods. |
· |
Develop innovative strategies across the Human Resources function to scale the business successfully. |
· |
Lead Human Resources team in developing talent acquisition strategies and implementing plans and programs to identify talent within and outside of AXOGEN for positions of responsibility. |
· |
Develop progressive and proactive compensation and benefits programs with Human Resources team to provide motivation, incentives, and rewards for effective performance and to provide programs that utilize an employee and company partnership for the short and long-range health and welfare protection of the employees. |
· |
Develop programs to allow AXOGEN to embrace applicants and employees of all backgrounds and to permit the full development and performance of all employees. |
· |
Continually assess the competitiveness of all programs and practices against the relevant comparable companies, industries, and markets. |
· |
Establish credibility throughout AXOGEN with management and the employees in order to be an effective listener and problem solver of people issues. |
· |
Develop appropriate policies and programs for effective management of the people resources of AXOGEN. Included in this area, but not limited only to the following, would be programs for: employee relations, compliance, total rewards, external education, and career development. |
· |
Enhance and/or develop and implement human resource information systems |
S-2
that will improve the overall operation and effectiveness of AXOGEN.
· |
Manage the budget and other financial measures of the Human Resources department. |
(a)Compliance with Employee Policies, Procedures, Rules and Regulations. Employee shall comply with all AXOGEN policies, procedures, rules and regulations for employees as such policies and procedures may exist or be established from time to time.
(b)No Other Business Activities.
(i)Employee shall devote Employee’s entire professional time, energy and skill to the performance of Employee’s duties pursuant to the Agreement, the service of AXOGEN, and promotion of AXOGEN’s interests. The Parties agree that Employee may not during Employee’s employment, except as permitted in writing by AXOGEN, be engaged in any other business activity, whether or not such activity is pursued for gain, profit, or other pecuniary advantage including, without limitation, management or management consulting activities.
(ii)Notwithstanding the preceding subsection, Employee may invest Employee’s personal assets in businesses or real estate that are not in competition with AXOGEN where the form or manner of such investment will not require services on the part of Employee, and in which Employee’s participation is solely that of a passive investor.
S-2
SCHEDULE 2 - COMPENSATION AND BENEFITS
Subject to the terms and conditions of the AMENDED AND RESTATED EMPLOYMENT AGREEMENT (the “Agreement”), Employee may be entitled to receive from AXOGEN Corporation (“AXOGEN”) the following compensation and benefits:
1.Base Salary.
(a)Amount. Employee’s salary during employment with AXOGEN will be at the rate of $338,500.00 (Three Hundred Thirty-Eight Thousand Five Hundred Dollars) annually, (the “Base Salary”) effective on the Effective Date of and delivery of the Agreement to AXOGEN.
(b)Payment. The Base Salary shall be payable in accordance with the existing payroll practices of AXOGEN, which practices may be changed by AXOGEN from time to time at its sole discretion. The Base Salary shall be subject to all appropriate withholding taxes.
(c)Review of Base Salary. The Base Salary may be reviewed by AXOGEN from time to time; however, AXOGEN reserves the right to increase or decrease the Base Salary at any time during the employment relationship in its sole discretion.
(d)Additional Compensation. In addition to the Base Salary, Employee may also be eligible to receive stock options, benefits, paid vacations and holidays during Employee’s Employment.
2.Business Expenses and Reimbursements. Employee shall be eligible for reimbursement by AXOGEN in accordance with AXOGEN’s normal reimbursement practices for ordinary and necessary business expenses incurred by Employee in the performance of Employee’s duties for AXOGEN, so long as Employee timely submits to AXOGEN accurate invoices and receipts of all expenses submitted for reimbursement pursuant to this section or as otherwise permitted pursuant to Schedule 3.
3.Benefits. Employee will be permitted to participate in such benefit plans of AXOGEN that may be in effect from time to time, to the extent Employee is eligible under the terms of those plans. Nothing herein shall be construed to require AXOGEN to institute or continue any particular plan or benefit. AXOGEN reserves the right to add, change, or eliminate any benefits at any time at its sole discretion.
4.Vacations and Holidays. Employee will be entitled to paid vacation of four (4) weeks per calendar year and holidays in accordance with the holiday policies of AXOGEN in effect for its employees from time to time. Vacation must be taken by Employee at such time or times as approved by AXOGEN.
5. |
Bonus. |
(a)Calculation. During the Employment Period, Employee may receive a bonus based on an AXOGEN bonus plan, as determined by AXOGEN from time to time in its sole discretion. Bonuses will be pro-rated based on Employee’s start date and Employee’s target rate set at a percentage of salary subject to the conditions of such bonus as established by AXOGEN’s executive management and/or the compensation committee of the INC. Board of
S-2
Directors, as applicable.
(b)Payment. The Bonus if paid shall be paid in accordance with, and subject to, the normal payroll policies of AXOGEN with respect to similar forms of compensation, including, without limitation, being subject to all appropriate withholding taxes.
6.Compensation Review. AXOGEN may, from time to time, review Employee’s compensation (including benefits) and may, in its sole discretion, increase or decrease such compensation and benefits. Any such increase or decrease in compensation package shall be in writing, executed by a duly authorized officer of AXOGEN, and such writing shall constitute an amendment to this Paragraph 6 (and to the Agreement and any applicable Schedules or Exhibits) solely as to the benefits, without waiver or modification of any other terms, conditions or provisions of the Agreement.
7.No Other Compensation. Employee agrees that the compensation and benefits set forth in the Agreement, this Schedule 2 and Schedule 3 contain the sole and exclusive compensation and benefits to which Employee is eligible and that Employee shall have no rights to receive any other compensation or benefits of any nature from AXOGEN. Notwithstanding the foregoing, any and all equity awards granted to the Employee remain in full force under the terms upon which they were originally granted.
S-2
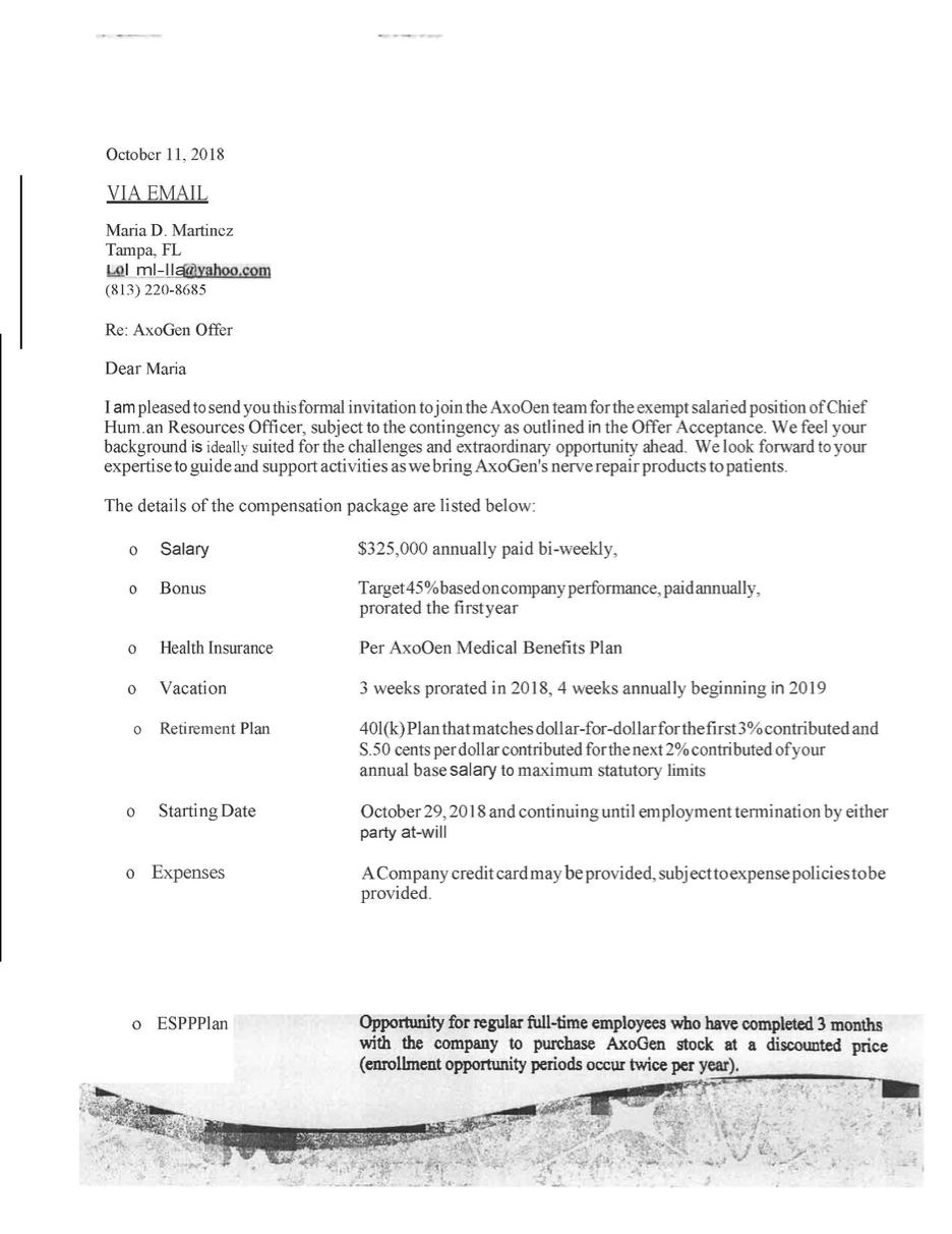
SCHEDULE 3 - OFFER LETTER

S-3

S-3

S-3
EXHIBIT A
CONFIDENTIALITY, INTELLECTUAL PROPERTY,
NON-COMPETITION AND NON-SOLICITATION AGREEMENT
This Confidentiality, Intellectual Property, Non-Competition and Non-Solicitation Agreement (this “IP and NCNS Agreement”) is effective as of November 1, 2020 (the “Effective Date”) by and between Axogen Corporation, having a place of business at 13631 Progress Blvd., Suite 400, Alachua, FL 32615 (“Axogen”) and Maria Martinez (“Employee”). Axogen and Employee may each be referred to herein as a “Party” and collectively as the “Parties”.
RECITALS
WHEREAS, Axogen is a global leader in developing, marketing, selling and distributing surgical and non-surgical solutions for peripheral nerve damage or discontinuity, as well as of instruments and devices in connection with the foregoing and in diagnosis, surgery for, therapy associated with and recovery in connection with nerve damage and/or nerve discontinuity, and has spent substantial time, resources and monies developing its Confidential Information (as defined below);
WHEREAS, Employee has accepted employment with or is currently an employee of Axogen who will or does, as the case may be, receive certain compensation and other employment-related benefits from Axogen in return for Employee performing Employee’s job duties and responsibilities;
WHEREAS, during Employee’s employment Employee will be (or has been) provided with periodically supplemented Confidential Information, including trade secrets, as well as the opportunity to contribute to the creation and/or maintenance of Confidential Information;
WHEREAS, Employee recognizes that Axogen’s Confidential Information is an important and valuable asset to Axogen and that Axogen has a legitimate business interest in protecting these assets;
WHEREAS, Employee recognizes that Axogen’s relationships with Axogen Customers and the goodwill associated with Axogen Customers, Axogen’s business and Axogen’s reputation in the industry, are important and valuable assets to Axogen and that Axogen has a legitimate business interest in protecting those assets; and
WHEREAS, in consideration for Employee’s initial employment or continued employment, as the case may be, with Axogen, Employee agrees to abide by the terms and conditions set forth herein.
NOW THEREFORE, in consideration of the mutual covenants contained herein and other good and valuable consideration, including initial or continued employment, the receipt and sufficiency of which are hereby acknowledged, the Parties to this IP and NCNS Agreement hereby agree as follows:
1. |
DEFINITIONS. |
The following terms, when used in this IP and NCNS Agreement with initial capital letters, shall have the respective meanings set forth in this Section 1.
A-1
“Axogen Customers” means accounts, customers, physicians, therapists, hospitals, acute surgical care centers, group purchasing organizations, integrated delivery networks, treatment centers or other clients that: (a) have purchased Axogen products during the prior one (1) year; or (b) have received or requested a proposal during the prior one (1) year for the purchase Axogen products; as well as all such entities or individuals that come to purchase Axogen products and/or request or receive a proposal for the purchase of Axogen products during the time of Employee’s employment by Axogen.
“Competing Organization” means any person or organization which is engaged in or about to become engaged in research on, consulting regarding, or development, production, marketing or selling of a Competing Product including, but not limited to, the organizations identified on Schedule 1, effective as of the Effective Date and as may be amended from time to time, attached hereto.
“Competing Product” means any product, process, technology, service, machine or invention of any person or organization other than Axogen in existence or under development which is similar to, resembles, competes with, is substitutable for, or is intended to be similar to, resemble, compete with, or be substitutable for a product, process, technology, service, machine or invention of Axogen.
“Confidential Information” means Axogen’s confidential, proprietary, trade secret or any other non-public information, including without limitation: (a) Axogen Customers; (b) actual or potential vendors, suppliers, distributors or referral sources; (c) products, product know-how, product manufacturing and distribution systems and processes, product technology, product development plans and strategies; (d) marketing and sales strategies and plans, product pricing policies, offerings and structures; (e) business and financial information of a non-public nature (e.g., strategy plans, forecasts, budgets); (f) employee, personnel or payroll policies, records and information; (g) corporate development strategies including acquisitions, divestitures, growth plans and other plans; (h) clinical study design, management, evaluation, and interpretation; (i) inventions, ideas, innovations, improvements, know-how, methods, processes, specifications, procedures, invention disclosures, certifications, and proposed and/or actual research and development activities, regardless of whether or not any of the foregoing is patentable or otherwise protectable under the intellectual property laws of the United States; and (j) information disclosed by third parties to Axogen pursuant to a confidentiality agreement. Confidential Information does not include information that is or becomes part of the public domain through no fault of Employee, or without any third-party violation of any confidentiality agreement with Axogen.
“Copyrightable Works” means all works of authorship, fixed in any tangible medium of expression known or later developed, including but not limited to writings, reports, articles, white papers, compilations, summaries, graphics, computer programs, user interfaces, drawings, designs, documentation and publications.
“Intellectual Property” means all inventions, patents, patent applications, designs, discoveries, ideas, innovations, improvements, modifications, know-how, trade secrets, methods, processes, specifications, procedures, trademarks, certifications, and invention disclosures, whether or not patentable or otherwise protectable under the intellectual property laws of the United States.
“Material Contact” means (i) any interaction between Employee and an Axogen Customer which takes place in an effort to establish, maintain, and/or further a business relationship on
A-2
behalf of Axogen, (ii) any Axogen Customer whose dealings with Axogen were coordinated or supervised by Employee, (iii) any Axogen Customer about whom Employee obtained Confidential Information in the ordinary course of business as result of Employee’s association with Axogen, or (iv) any Axogen Customer who receives product or services from Axogen, the sale or provision of which results or resulted in compensation, commissions or earnings for Employee, all within the last year of Employee’s employment with Axogen (or during Employee’s employment if employed less than a year).
2. |
CONFIDENTIAL INFORMATION AND PROPERTY. |
2.1.Non-Disclosure of Confidential Information. Employee acknowledges that the Confidential Information is of great value to Axogen, that Axogen has legitimate business interests in protecting its Confidential Information, and that the disclosure to anyone not authorized to receive such information, including any Competing Organization, will cause irreparable injury to Axogen. Employee agrees: (a) not to make use of the Confidential Information for any purpose other than is necessary to perform Employee’s duties while an employee of Axogen; (b) not to disclose, use, disseminate, identify, or publish Confidential Information for five (5) years after the termination of Employee’s employment with Axogen for any reason; (c) to provide to Axogen’s Office of General Counsel immediate notice of any (i) inadvertent or otherwise improper disclosure of Confidential Information; and (ii) theft of Confidential Information, including breach of security, hacking, or other improper act by a third party. Notwithstanding the foregoing, Employee agrees not to, and shall not for any reason disclose, use, disseminate, identify or publish Confidential Information that is an Axogen trade secret, as long as that Confidential Information remains a trade secret and does not become publicly known through no fault of Employee.
2.2.Return of Confidential Information and Axogen Property. Upon termination of Employee’s employment with Axogen for any reason, or at any time as Axogen requests, Employee shall immediately return to Axogen all Confidential Information and other tangible property that belongs to Axogen in Employee’s possession; such tangible property includes but is not limited to: all keys and security and credit cards; all products, product samples, computers, cellular phones and other electronic devices; and all customer and account files, price lists, product information, training manuals, advertising and promotional materials, handbooks and polices (in physical or electronic format). Employee shall not retain possession of any physical or electronic copies of correspondence, memoranda, reports, notebooks, drawings, photographs notes, research and scientific data, and tangible communications concerning the same, or other documents in any form whatsoever (including information contained in computer memory or any portable storage device (e.g., a “thumb drive”) relating to or reflecting in any way to the Confidential Information obtained by or entrusted to Employee during Employee’s employment with Axogen.
2.3Defend Trade Secrets Act. Pursuant to the Defend Trade Secrets Act of 2016, 18 U.S.C. §1833, Employee acknowledges that Employee shall not have criminal or civil liability under any federal or state trade secret law for the disclosure of a trade secret that (A) is made (i) in confidence to a federal, state, or local government official, either directly or indirectly, or to an attorney and (ii) solely for the purpose of reporting or investigating a suspected violation of law; or (B) is made in a complaint or other document filed in a lawsuit or other proceeding, if such filing is made under seal. In addition, if Employee files a lawsuit for retaliation by Axogen for reporting a suspected violation of law, Employee shall not have criminal or civil liability under any federal or state trade secret law if Employee discloses the trade secret to Employee’s attorney and (X)
A-3
files any document containing the trade secret under seal and (Y) does not disclose the trade secret, except pursuant to court order.
3.RESTRICTIVE COVENANTS.
3.1.Employee Acknowledgment.
(a)Employee acknowledges that: (a) Employee’s position and employment with Axogen gives Employee access to and knowledge of Axogen Customers and its vendors, suppliers, distributors or referral sources (collectively, “Axogen Business Partners”), which represent important and unique business assets that have resulted from a significant investment of time, resources and monies by Axogen; (b) Employee would cause Axogen great loss, damage and immediate irreparable harm if Employee were to engage in unfair or unlawful competitive activity by improperly using or disclosing any information related to Axogen Business Partners for Employee’s own benefit or for the benefit of any Competing Organization.
(b)Employee acknowledges and agrees that the restrictions contained in this Section 3, are reasonable and necessary to protect Axogen’s legitimate business interests, promote and protect the purpose and subject matter of this IP and NCNS Agreement and Employee’s employment, and deter any potential conflict of interest. Employee agrees that Employee knows of no reason why any restriction contained in this Section 3 is not reasonable and enforceable and that all such restrictions are necessary and reasonable to protect Axogen’s interests. Employee also acknowledges and agrees that the restrictions contained in this Section 3 will not impair or infringe upon Employee’s right to work or earn a living when Employee’s employment with Axogen ends.
3.2Non-Compete.
(a)During Employee’s employment with Axogen and for a period of one (1) year following the termination of Employee’s employment with Axogen for any reason, Employee will not work for (as an employee, consultant, contractor, agent or otherwise) or render services directly or indirectly to any Competing Organization whereby the services Employee would provide for, to, or on behalf of the Competing Organization (i) are the same as or similar to those services that Employee provided for, to, or on behalf of Axogen during Employee’s employment, (ii) involve the development, sale, marketing, or distribution of a Competing Product, or (iii) could enhance the use or marketability of a Competing Product. This restriction covers (i) the United States, (ii) any state or territory in which Axogen is engaged in its business at the time of and during the year prior to Employee’s separation from Axogen, and (iii) any state or territory in which Employee was providing services for Axogen at the time of and during the year prior to Employee’s separation from the Company.
(b)The restrictions herein shall not prohibit Employee from accepting employment with a Competing Organization whose business is diversified and which is, as to that part of its business in which Employee accepts employment, not a Competing Organization. If Employee accepts employment with a Competing Organization, Employee will provide Axogen written assurances satisfactory to Axogen that Employee will not render services, directly or indirectly, for the time period herein in connection with any Competing Product.
A-4
3.3Non-Solicitation of Employees and Axogen Business Partners.
(a)During Employee’s employment with Axogen and for a period of two (2) years following the termination of Employee’s employment with Axogen for any reason, Employee will not in any capacity, directly or indirectly, solicit, induce or influence, or attempt to solicit, induce or influence, any person engaged as an employee, independent contractor, or agent of Axogen to terminate his or her employment and/or business relationship with Axogen or do any act which may result in the impairment of the relationship between Axogen and its employees, independent contractors or agents.
(b)During the term of Employee’s employment with Axogen and for a period of one (1) year following the termination of Employee’s employment with Axogen for any reason, Employee will not in any capacity, directly or indirectly: (i) solicit, contact, accept solicited business from, provide competitive services to, or sell any Competing Product to an Axogen Customer; (ii) divert, entice or otherwise take away from Axogen the business or patronage of any Axogen Business Partner; or (iii) solicit or induce any Axogen Business Partner to terminate or reduce its relationship with Axogen or otherwise interfere with Axogen’s relationship with any Axogen Business Partner. This restriction applies only to those Axogen Customers and Axogen Business Partners with whom Employee had Material Contact.
3.4New Employer Notification. To enable Axogen to monitor Employee’s compliance with the obligations set forth in this IP and NCNS Agreement, Employee agrees to notify Axogen in writing before commencing employment with a new employer; such notification shall include the identify of Employee’s new employer, job title and responsibilities. Employee will continue to notify Axogen, in writing, any time Employee accepts or changes employment during the time periods set forth in this Section 3. Employee agrees that Axogen is permitted to contact any new or prospective employer regarding Employee’s obligations owed to Axogen.
3.5Modification of Non-Compete and Non-Solicitation Provisions. The parties agree that a court of competent jurisdiction may modify any invalid, overbroad or unenforceable term of this Section 3 so that such term, as modified, is valid and enforceable under applicable law; such court is also authorized to extend the time periods set forth in this Section 3 for any period of time in which Employee is in breach of this IP and NCNS Agreement or as necessary to protect the legitimate business interests of Axogen. If a court of competent jurisdiction determines that any term of this Section 3 is invalid, overbroad, or unenforceable, in whole or in part, and cannot be modified as set forth in the prior sentence to make such term valid and enforceable under applicable law, the Parties agree that any such term, in whole or in part as the case may, shall be severable and the remainder of this Section 3 and this IP and NCNS Agreement shall nevertheless be enforceable and binding on the Parties.
4. |
INVENTIONS. |
4.1.Disclosure of Developments. Employee agrees that during and subsequent to Employee’s employment with Axogen, Employee will promptly disclose and furnish complete information to Axogen relating to all inventions, ideas, improvements, modifications, discoveries, research, data, know-how, methods and developments, whether patentable or not, and whether or not otherwise protectable under the intellectual property laws of the United States, that are made, conceived, developed, reduced to practice, or authored by Employee or under Employee’s direction during Employee’s employment whether or not made, conceived, developed, reduced to practice or authored during normal business hours or on Axogen premises. Employee shall keep complete, accurate, and organized information and records of all Copyrightable Works or
A-5
other Intellectual Property and Confidential Information in the manner and form reasonably requested by Axogen.
4.2Ownership of Intellectual Property.
(a) Employee agrees to assign and hereby does assign to Axogen all right, title and interest, worldwide in and to any and all Intellectual Property made, conceived, developed, reduced to practice or authored by Employee alone or with others for AXOGEN during the course of Employee’s employment (or after the period of Employee’s employment and which rely upon or use Axogen’s Confidential Information and/or non-public Intellectual Property), whether made, conceived, developed or reduced to practice, whether or not the foregoing are within the scope of Axogen’s actual or anticipated research and development business.
(b)Axogen’s rights in Section 4.2(a) above shall not apply to any Intellectual Property conceived and developed without reliance upon and/or without the use of Axogen’s equipment, supplies, facilities, Confidential Information or other non-public Intellectual Property, and which was developed entirely on Employee’s own time, unless (a) the Intellectual Property relates (i) to Axogen’s actual or anticipated business; (ii) to Axogen’s actual or anticipated research and development; or (iii) the Intellectual Property results from or relates to any work performed by Employee for Axogen.
(c) For avoidance of doubt, it shall be Axogen’s sole decision, in its sole discretion how to protect its Confidential Information and/or Intellectual Property and/or Copyrightable Works and whether to formally seek registration of any of its Intellectual Property and/or Copyrightable Works.
4.3Copyrightable Works. Employee acknowledges that all Copyrightable Works shall to the fullest extent permissible be considered “works for hire” in the United States as defined in the U.S. Copyright Laws and in any other country adhering to the “works made for hire” or similar notion. All such Copyrightable Works shall from the time of creation be owned solely and exclusively by Axogen throughout the world. If any Copyrightable Work or portion thereof shall not be legally qualified as a work made for hire in the United States or elsewhere or shall subsequently be held to not be a work made for hire, Employee agrees to assign and does hereby assign to Axogen all Employee’s right, title and interest in, including all moral rights in and to the Copyrightable Works, and all registered and applied for copyrights therein. To the extent the assignment of all rights, title and interest in, including of all moral rights in, the Copyrightable Works, is prohibited in full or in part by any applicable law, Employee hereby grants to Axogen a fully-paid-up, royalty-free, exclusive, sublicensable, transferrable, irrevocable and perpetual, worldwide license in and to the Copyrightable Works and hereby waives Employee’s enforcement of any moral rights which Employee may hold in any existing or future Copyrightable Works worldwide and hereby consents to any action of Axogen that would violate its moral rights in the absence of such consent. Employee hereby further agrees that Axogen is not required to designate Employee as author of any Copyrightable Works when such Copyrightable Works are distributed publicly or otherwise, and hereby waives any cause of action against Axogen for not so identifying Employee as an author of such Copyrightable Works.
4.4License. In the event that any of the rights in any Copyrightable Works or other Intellectual Property (“Intellectual Property Rights”) cannot be transferred to Axogen pursuant to the terms of this IP and NCNS Agreement, Employee hereby (i) unconditionally and irrevocably waives the enforcement of any Intellectual Property Rights retained by Employee, and all claims and causes of action of any kind against Axogen with respect to those rights; and (ii) grants to
A-6
Axogen an irrevocable, perpetual, fully paid-up, transferable, sublicensable, royalty-free, exclusive worldwide right and license to use, reproduce, distribute, display, perform, prepare derivative works of, modify, enforce, and otherwise use and exploit all or any portion of such existing and future Intellectual Property Rights.
4.5Causes of Action. Employee further irrevocably assigns to Axogen all causes of action, including accrued, existing and future causes of action, arising out of or related to the Intellectual Property Rights.
4.6Cooperation. When requested to do so by Axogen, either during or subsequent to Employee’s employment with Axogen, Employee shall: (a) execute all documents requested by Axogen for the vesting in Axogen of the entire right, title and interest in and to the Intellectual Property and Confidential Information, and all patent, copyright, trademarks or other applications filed and issuing on the Intellectual Property; (b) execute all documents requested by Axogen for filing and obtaining of patents, trademarks or copyrights; and (c) provide assistance that Axogen reasonably requires to protect its right, title and interest in the Intellectual Property and Confidential Information. Employee acknowledges that the obligations herein shall continue beyond the termination of Employee’s employment with Axogen with respect to Intellectual Property conceived, authored or made by Employee during Employee’s period of employment and shall be binding on Employee’s executors, administrators or other legal representatives.
4.7Appointment of Attorney-In-Fact. Employee irrevocably appoints any AXOGEN-selected designee to act, at all times hereafter, as Employee’s agent and attorney-in-fact to perform all acts necessary to file for registration of and/or register Copyrightable Works or other Intellectual Property as required by this IP and NCNS Agreement if Employee (i) refuses to perform those acts or (ii) is unavailable, within the meaning of the United States Patent and Copyright laws. It is expressly intended by Employee that the foregoing power of attorney is coupled with an interest.
4.8Assignability. All Intellectual Property Rights and representations made or granted by Employee in this IP and NCNS Agreement are assignable by Axogen and are for the benefit of Axogen’s successors, assigns, and parties contracting with Axogen.
4.9Prior Intellectual Property. Attached as Schedule 2 is a complete list, if any, of all of Employee’s Intellectual Property and Copyrightable Works made, conceived or first reduced to practice by Employee, alone or jointly with others, prior to Employee’s employment with Axogen (“Prior Intellectual Property”). If in the course of Employee’s employment with Axogen Employee incorporates into an Axogen product, process or machine any Prior Intellectual Property to which Employee possesses all right, title and interest, then Employee hereby grants, and agrees to grant, Axogen a non-exclusive, royalty-free, irrevocable, perpetual, transferable, sublicensable worldwide license to make, modify, use and sell such Prior Intellectual Property as part of or in connection with such product, process or machine. Notwithstanding the foregoing, Employee agrees not to, and shall not, use at or on behalf of Axogen any Prior Intellectual Property that is owned by a third party and/or the use of which would require a license from a third party, and/or to which Axogen has not otherwise acquired the right to use, and/or which would be in violation of Section 5.3 of this IP and NCNS Agreement.
A-7
5.EMPLOYEE REPRESENTATIONS.
5.1.Performance. During Employee’s employment with Axogen, Employee shall devote Employee’s best efforts, attention and energies to the performance of Employee’s duties as an employee of Axogen.
5.2Code of Conduct; Conflicts of Interest. Employee agrees to adhere to Axogen’s Code of Business Conduct and Ethics, including but not limited to the provisions regarding Conflicts of Interest, as defined therein. Employee will not engage in any activity or have any outside interest that could interfere with the satisfactory performance of Employee’s duties or be detrimental to Axogen or be engaged in any other occupation or activity that conflicts with Employee’s obligations to Axogen. Employee agrees to promptly notify Axogen of any potential conflict of interest.
5.3.Agreements with Prior Employers. Employee has not signed any non-competition, non-solicitation, or other agreement that Employee has not disclosed to Axogen that prohibits Employee from being employed by Axogen, fully performing Employee’s duties or fully providing services to or on behalf of Axogen during Employee’s employment or assigning works and ideas to Axogen (“Prior Non-Compete Agreement”). Employee has not and will not disclose to Axogen or use for Axogen’s benefit any information that to Employee’s knowledge is proprietary or confidential to any of Employee’s prior employers without proper consent from the prior employer. If Employee has signed a Prior Non-Compete Agreement with a prior employer, Employee has provided a copy of such agreement to Axogen’s Human Resources Department under separate cover.
5.4At-Will Employment. Employee acknowledges that this IP and NCNS Agreement does not obligate Employee to remain employed by Axogen nor does it confer upon Employee the right to continued employment by Axogen. Employee and Axogen each have the right to terminate the employment relationship at any time, for any reason or no reason, with or without notice and with or without cause.
5.5 Theft of Trade Secrets. Employee acknowledges that Employee is aware that a theft of trade secrets of an employer by an employee is an offense under federal law and the state laws of Florida and is prohibited by this IP and NCNS Agreement. Employee further acknowledges that such theft of trade secrets constitutes a criminal violation of Florida Statute 812.081, punishable as a third-degree felony under Florida Statute 775.082, conviction for which carries a term of imprisonment not exceeding five (5) years. Employee acknowledges AXOGEN will vigorously prosecute its rights under federal law and the state laws of Florida for any violation arising out of a breach by Employee of any of the material terms of this IP and NCNS Agreement.
5.6Advice of Counsel. Employee acknowledges and agrees that Employee has read and understands the terms set forth in this IP and NCNS Agreement and has been given a reasonable opportunity to consult with an attorney of their choosing prior to execution of IP and NCNS Agreement and has either done so, or knowingly declined to do so.
6.MISCELLANEOUS.
6.1.Inside Information. Employee hereby acknowledges that Employee is aware (and that Employee’s representatives who are apprised of this matter have been advised) that the United States securities laws prohibit Employee and any person or entity that has received material non-public information about Axogen from Employee (“Inside Information”) from
A-8
purchasing or selling securities of Axogen or from communicating such information to any person under circumstances under which such other person may purchase or sell securities of Axogen.
6.2Essence of the Agreement. The restrictive covenants set forth in Sections 2-4 are the essence of this IP and NCNS Agreement and they shall be construed as agreements independent of (i) any other agreements, or (ii) any other provision in this IP and NCNS Agreement. The existence of any claim or cause of action of Employee against Axogen, whether predicated on this IP and NCNS Agreement or otherwise, regardless of who was at fault and regardless of any claims that either Employee or Axogen may have against the other, will not constitute a defense to the enforcement by Axogen against Employee of the restrictive covenants set forth in Sections 2-4. Axogen shall not be barred from enforcing the restrictive covenants set forth in Sections 2-4 by reason of any breach of (i) any other part of this IP and NCNS Agreement, or (ii) any other agreement with Employee.
6.3.Entire Agreement; Prior Agreements. This IP and NCNS Agreement including its Schedules sets forth the entire agreement between the Parties as it relates to the subject matter of this IP and NCNS Agreement; this IP and NCNS Agreement supersedes and replaces prior agreements between Employee and Axogen with respect to the subject matter addressed in the IP and NCNS Agreement. The provisions of this IP and NCNS Agreement shall not be amended, supplemented, waived or changed orally; any such alteration shall only be valid through a written amendment to this IP and NCNS Agreement signed by both Parties.
6.4Severability. This IP and NCNS Agreement shall be enforceable to the fullest extent allowed by law. In the event that a court holds any provision of this IP and NCNS Agreement to be invalid or unenforceable, the Parties agrees that, if allowed by law, that provision shall be deemed severable from the remainder of this IP and NCNS Agreement, and the remaining provisions contained in this IP and NCNS Agreement shall be construed to preserve to the maximum permissible extent the intent and purposes of this IP and NCNS Agreement.
6.5.Assignment. This IP and NCNS Agreement shall be binding upon and inure to the benefit of the parties, their successors and assigns. This IP and NCNS Agreement may not be assigned by Employee.
6.6.Injunctive Relief. Employee acknowledges that because of the difficulty of measuring economic losses to Axogen as a result of a breach or threatened breach of any of the covenants in this IP and NCNS Agreement, and because of the immediate and irreparable damage that would be caused to the Company and for which monetary damages would not be a sufficient remedy and which harm would not be fully or adequately compensated by recovery of damages alone, the Parties agree that, in addition to all other remedies or damages that may be available to Axogen hereunder and at law or in equity, in the event of a breach or a threatened breach by Employee of any covenants in this IP and NCNS Agreement, Axogen shall be entitled to specific performance and injunctions restraining such breach.
6.7.Disputes and Litigation. In the event of any dispute or litigation between or among the Parties with respect to this IP and NCNS Agreement, the prevailing party shall be entitled to its costs and expenses, including reasonable attorneys’ fees and costs.
6.8.Governing Law; Jurisdiction and Venue and Waiver of Jury Trial. The Parties acknowledge that a substantial portion of negotiations, anticipated performance and execution of this IP and NCNS Agreement and the attached Schedules occurred, or shall occur, in Hillsborough County, Florida, and the Parties irrevocably and unconditionally (a) agree that any
A-9
suit, action or legal proceeding arising out of, or relating to, this IP and NCNS Agreement or the attached Schedules shall be brought in the courts of record of the State of Florida in Hillsborough County, or the United States District Court, Middle District of Florida, Tampa Division; (b) consent to the jurisdiction of each such court in any such suit, action or proceeding; (c) waive any objection which they may have to the laying of venue of any such suit, action or proceeding in any of such courts; and (d) agree that service of any court paper may be effected on such party by mail, as provided in this IP and NCNS Agreement, or in such other manner as may be provided under applicable laws or court rules in said state. The Parties further agree to waive any right to a trial by jury should any action be brought to enforce this Agreement.
6.9.Counterparts; Transmission. This IP and NCNS Agreement may be executed in one or more counterparts, each of which shall be considered one and the same document. This IP and NCNS Agreement may be executed by facsimile or electronic transmission.
[Signature Page Follows]
A-10
IN WITNESS WHEREOF, the Parties have caused this IP and NCNS Agreement to be executed as of the Effective Date.
AXOGEN CORPORATION |
|
EMPLOYEE |
||
|
|
|
|
|
By |
/s/ Karen Zaderej |
|
|
/s/ Maria Martinez |
|
|
|
|
|
Name: |
Karen Zaderej |
|
Name: |
Maria Martinez |
|
|
|
|
|
Title: |
Chairman, CEO and President |
|
|
|
A-11
Schedule 1
Competing Organizations
Amniox Medical Inc.
Applied Biologics Inc.
Baxter International, Inc.
Checkpoint Surgical Inc.
Guangzhou Zhongda Medical (China)
Integra LifeSciences Inc.
Medovent GmbH
MiMedx Group Inc.
Neuraptive Therapeutics
Polyganics B.V.
Stryker Corporation
Vivex Biomedical Inc.
A-12
Schedule 2
List of Prior Intellectual Property
None
A-13