March 5, 2024 > Form 10-K > Axogen, Inc.
Document Links
Form: 10-K
Annual report pursuant to Section 13 and 15(d)
March 5, 2024
Documents
10-K
»
EX-3.2
»
EX-10.9 7
»
EX-10.9 8
»
EX-10.10 5
»
EX-10.51
»
EX-10.52
»
EX-10.53
»
EX-10.54
»
EX-10.55
»
EX-10.56
»
EX-10.57
»
EX-10.58
»
EX-10.59
»
EX-10.60
»
EX-10.61
»
EX-10.62
»
EX-10.63
»
EX-10.64
»
EX-21.1
»
EX-23.1
»
EX-31.1
»
EX-31.2
»
EX-32.1
»
EX-97
»
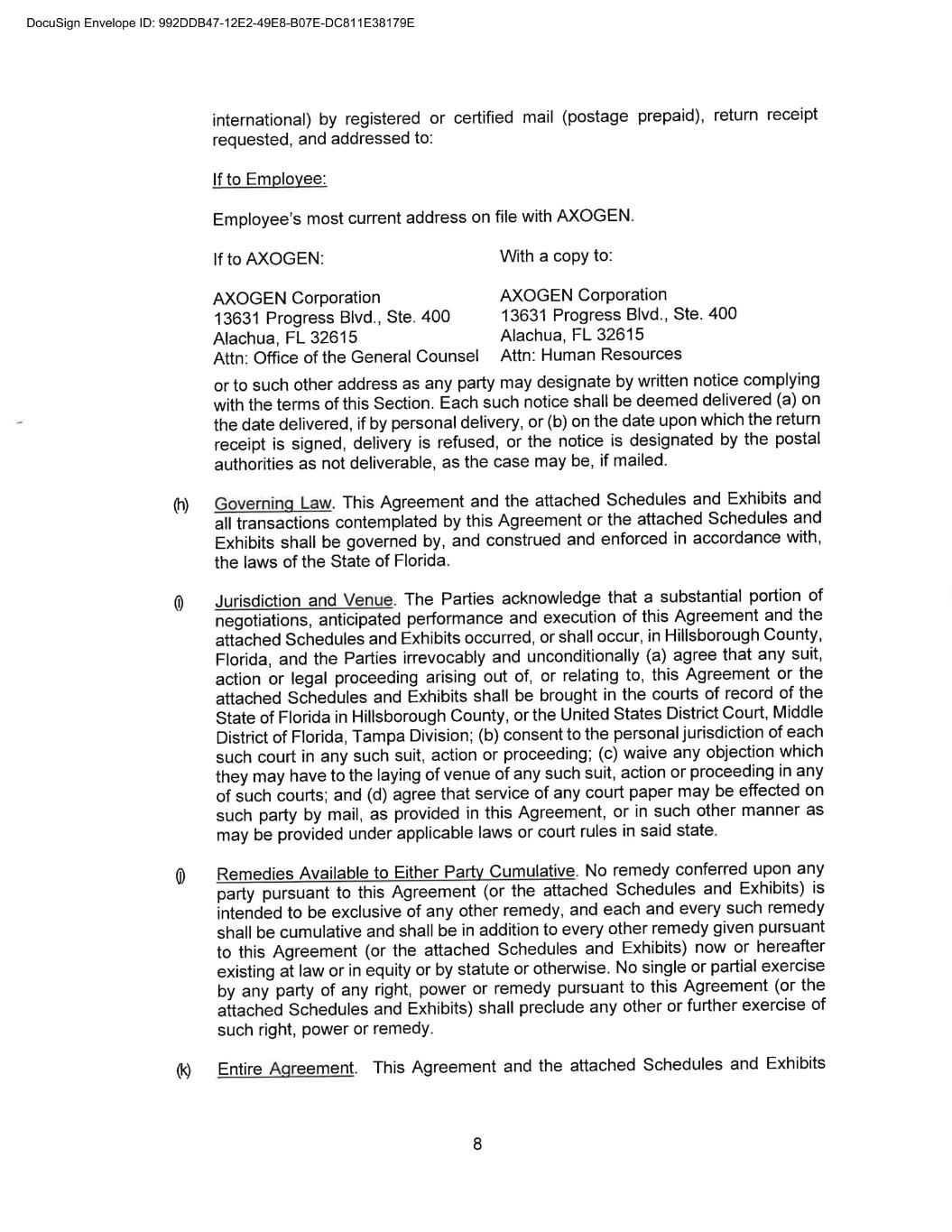
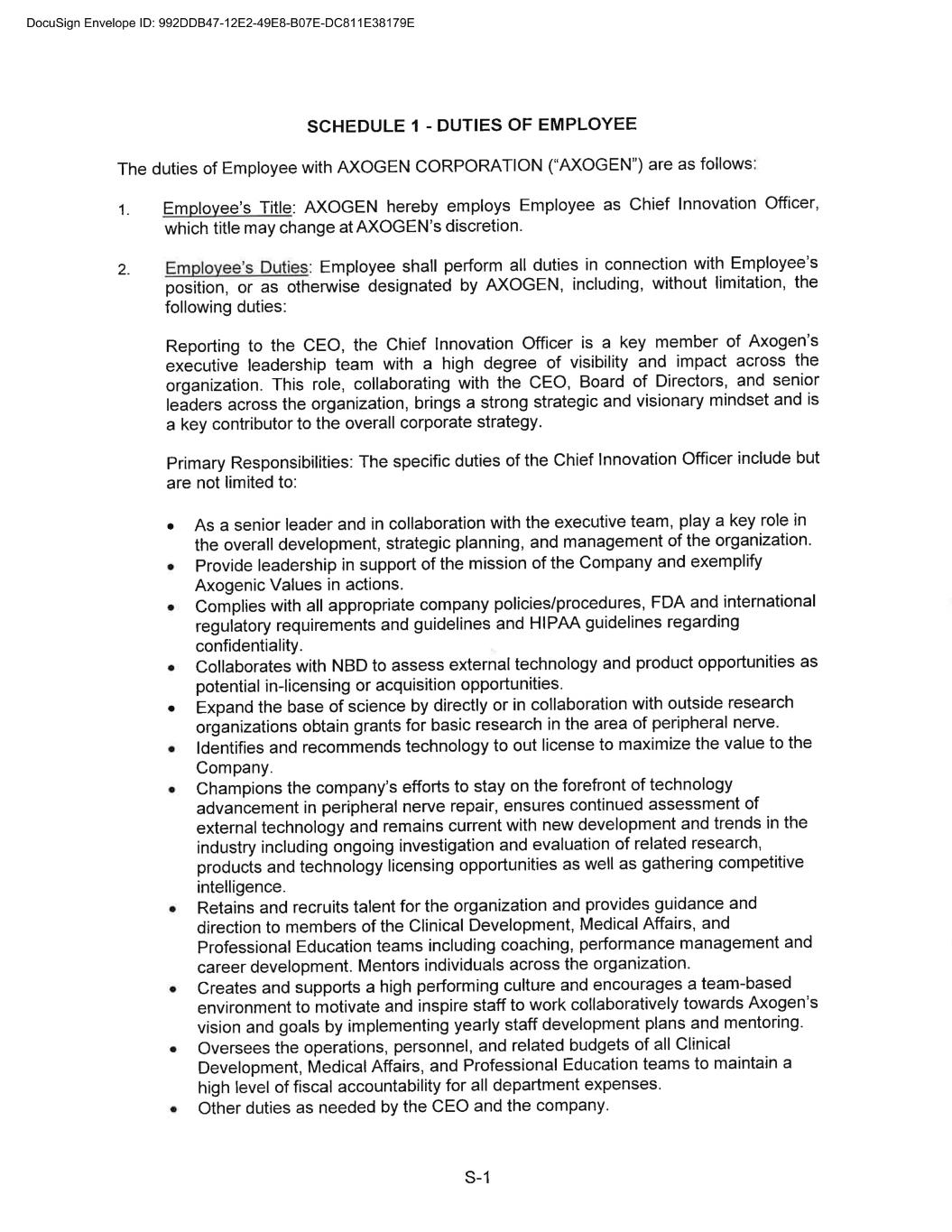
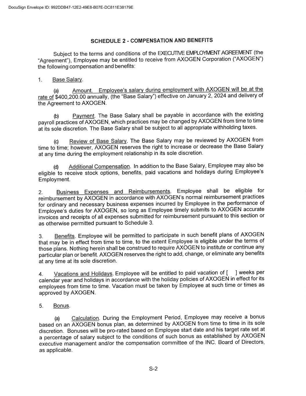
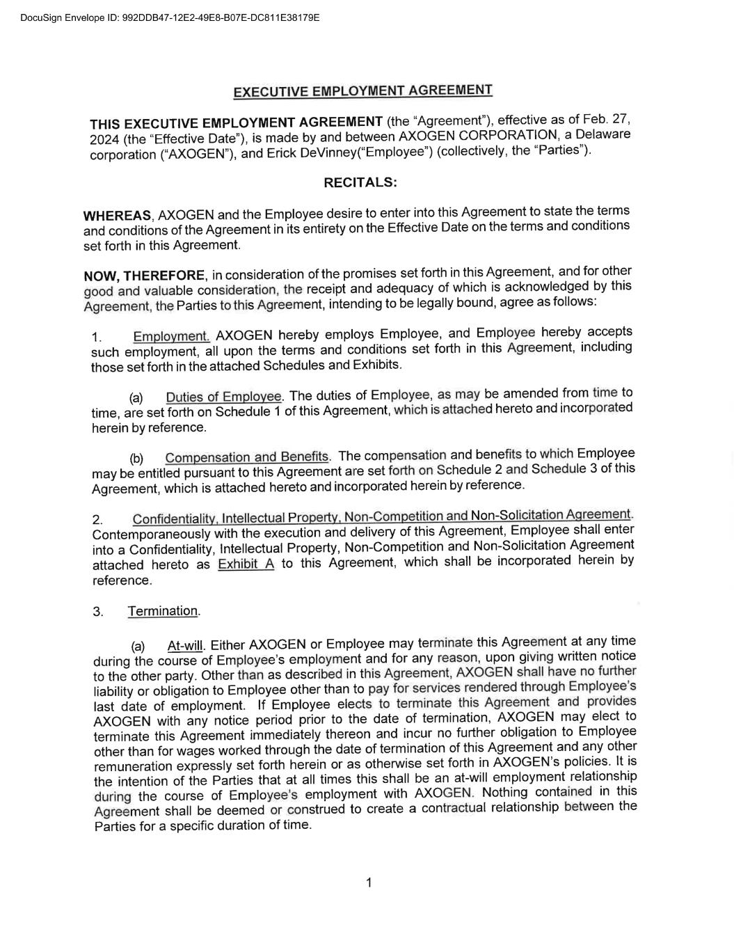
EX-10.62
Published on March 5, 2024