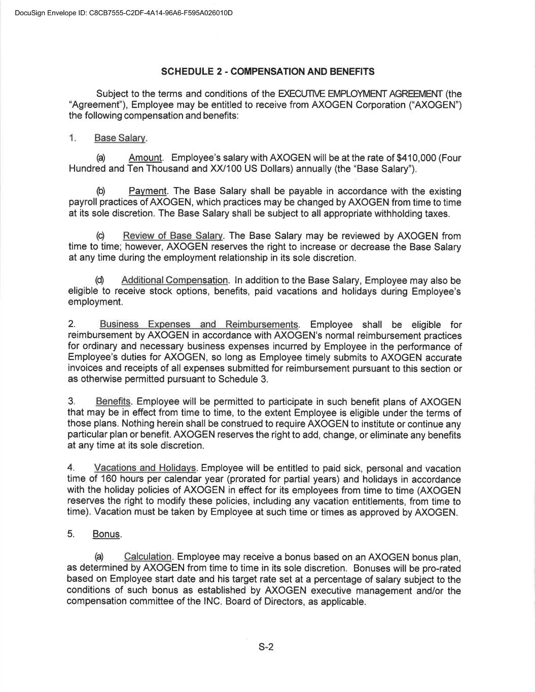
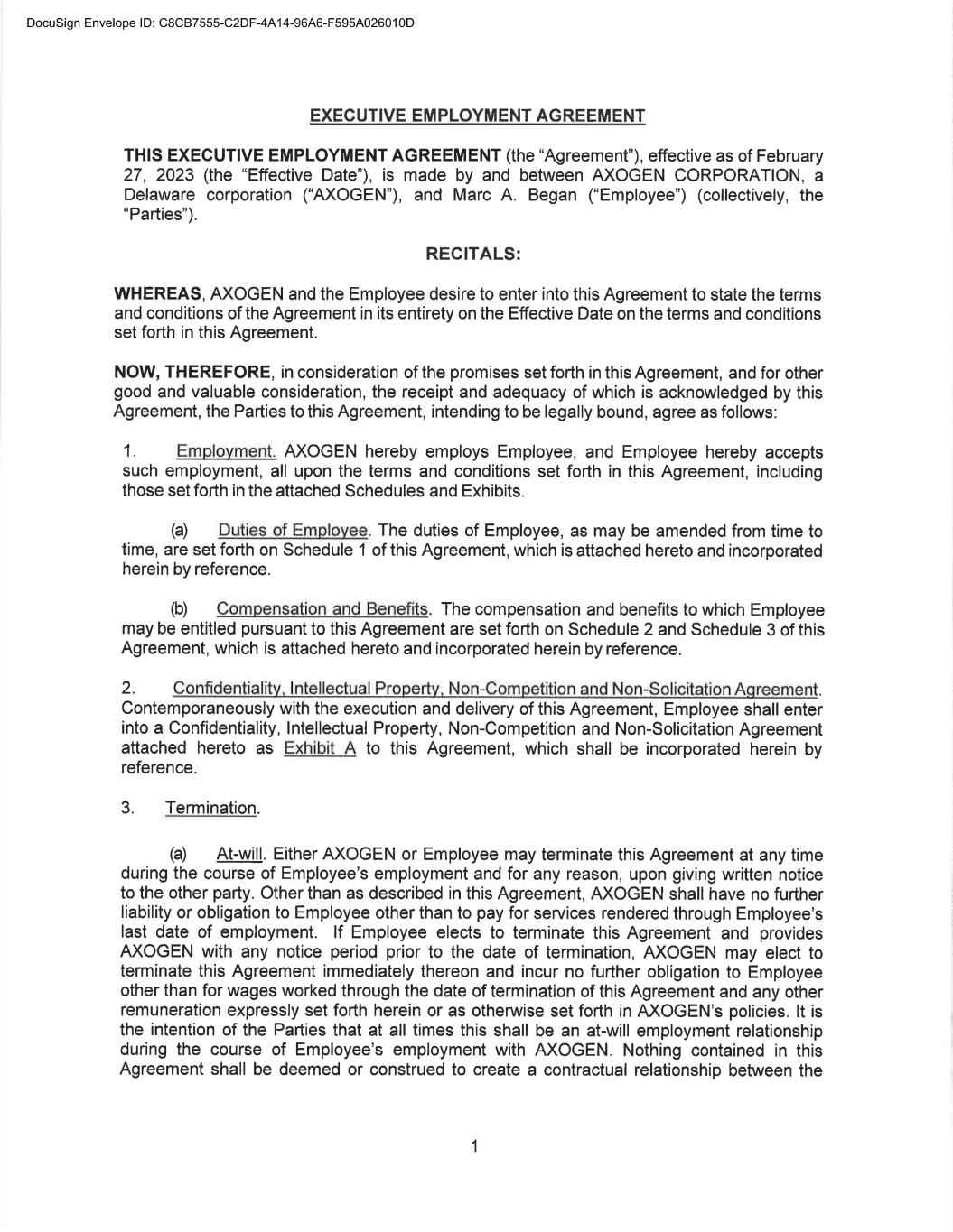
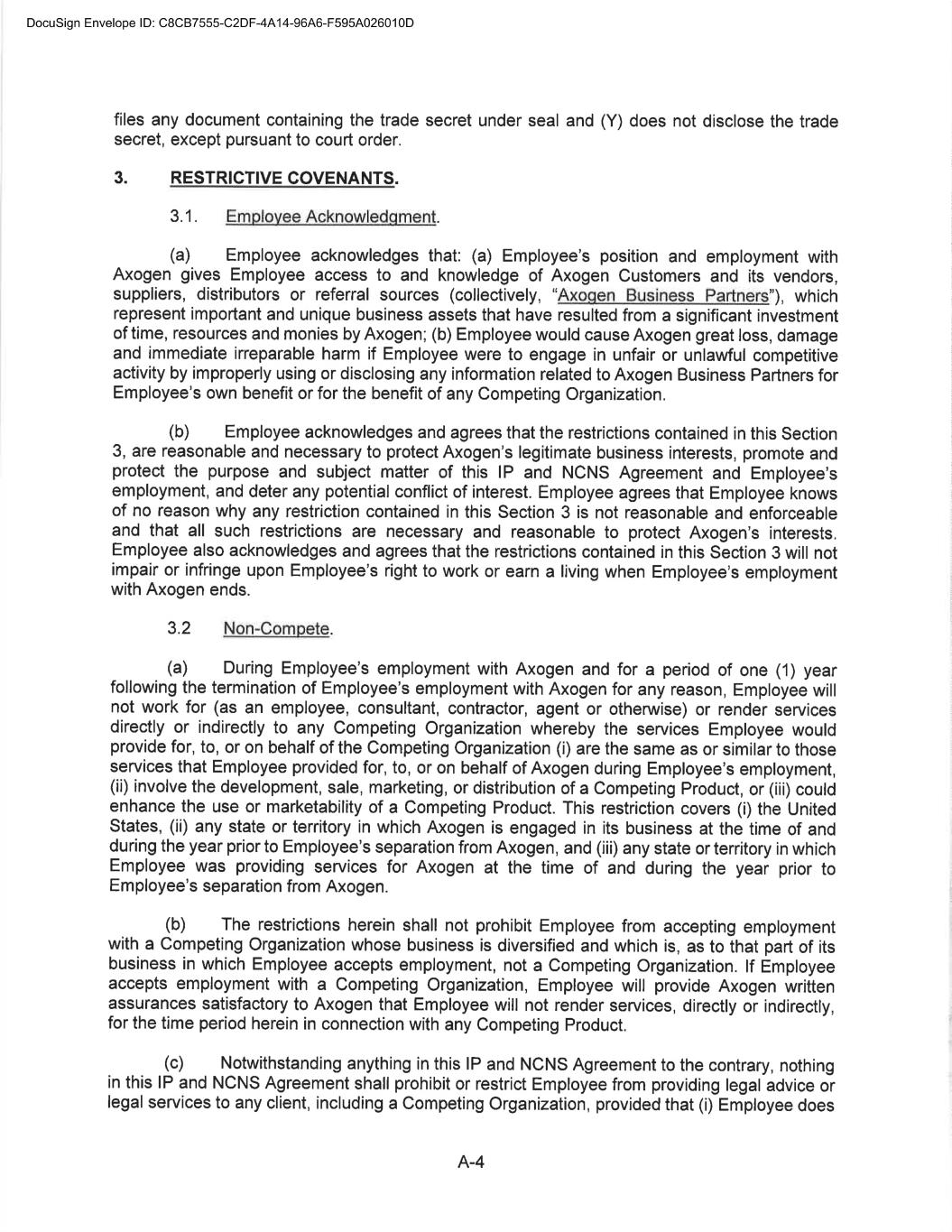
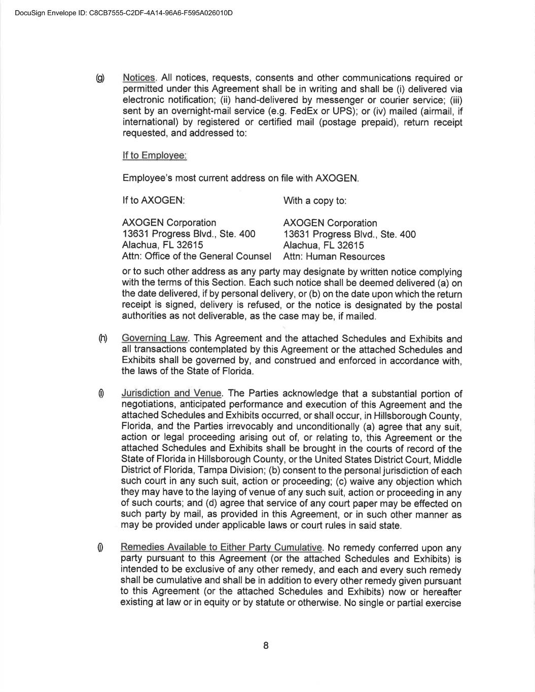
• Axogen, Inc. IR Overview
  • March 5, 2024 > Form 10-K > Axogen, Inc.

Form: 10-K

Annual report pursuant to Section 13 and 15(d)

March 5, 2024

Documents

  • 10-K »
  • EX-3.2 »
  • EX-10.9 7 »
  • EX-10.9 8 »
  • EX-10.10 5 »
  • EX-10.51 »
  • EX-10.52 »
  • EX-10.53 »
  • EX-10.54 »
  • EX-10.55 »
  • EX-10.56 »
  • EX-10.57 »
  • EX-10.58 »
  • EX-10.59 »
  • EX-10.60 »
  • EX-10.61 »
  • EX-10.62 »
  • EX-10.63 »
  • EX-10.64 »
  • EX-21.1 »
  • EX-23.1 »
  • EX-31.1 »
  • EX-31.2 »
  • EX-32.1 »
  • EX-97 »

EX-10.56

Published on March 5, 2024